课程章节
1
物理化学
友情提示:同学您好,此页面仅供预览,在此页面学习不会被统计哦! 请进入学习空间后选择课程学习。
1.8.2.2 二、偏摩尔量的公式(Equation of Partial Molar Quantity)
二、偏摩尔量的公式(Equation of Partial Molar Quantity)

1.偏摩尔量的集合公式

偏摩尔量是强度性质,与混合物的组成有关,而与混合物的总量无关。

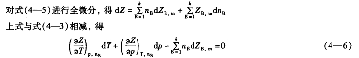
在等温等压条件下,式(4—3)写成

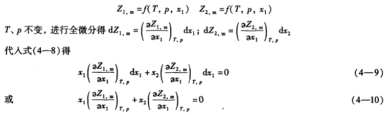
2.吉布斯—杜亥姆公式

偏摩尔量集合公式描述的是混合物的热力学状态,是平衡态的容量性质与其偏摩尔量之间的关系式。

在等温等压条件下,式(4—6)写成

两边除以系统的总的物质的量,则得

式(4—6)、 (4—7)、 (4—8)均称为吉布斯—杜亥姆公式,这些式子表明强度性质变化所要遵循的关系式,在讨论溶液问题时,它是一个很重要的公式。吉布斯—杜亥姆公式还有其他的形式,例如对二元系统: