课程章节
1
物理化学
友情提示:同学您好,此页面仅供预览,在此页面学习不会被统计哦! 请进入学习空间后选择课程学习。
1.6.10.4 四、热力学状态方程(Thermodynamic Equations of State)
四、热力学状态方程(Thermodynamic Equations of State)

应用Maxwell关系式,很容易得到或证明热力学的状态方程。

1.热力学状态方程之一:

用Maxwell关系证明如下:由热力学基本方程dU=TdS-pdV

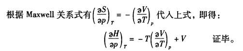
2.热力学状态方程之二:

仍用Maxwell关系证明:由热力学基本方程:dH = TdS + Vdp