课程章节
1
物理化学
友情提示:同学您好,此页面仅供预览,在此页面学习不会被统计哦! 请进入学习空间后选择课程学习。
1.6.10.3 三、麦克斯韦关系式(The Maxwell Relations)
三、麦克斯韦关系式(The Maxwell Relations)

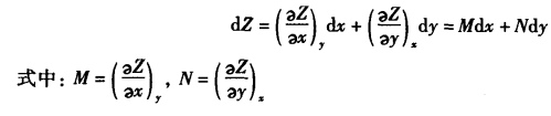
设有一状态函数Z,它是变量x、 y的单值函数,即Z =f(x,y), Z的全微分为:

由于M和N也是x,y的函数,于是对以上两等式再求二阶偏导数,得:

上式称为欧拉(Euler)定理,也称为全微分互易关系(The Reciprocity Relation)。将Euler定理应用于四个热力学基本方程式,得到: