课程章节
1
物理化学
友情提示:同学您好,此页面仅供预览,在此页面学习不会被统计哦! 请进入学习空间后选择课程学习。
1.6.5.1 一、相变过程的相变焓与相变功(Enthalpy Change and Work for Phase ...
一、相变过程的相变焓与相变功(Enthalpy Change and Work for Phase Transitions)

1.相变过程

物质聚集状态发生变化的过程,称为相变过程,如物质的熔化、凝固、蒸发、冷凝、升华、凝华以及不同晶型间的相转变等都是相变过程。

2.相变焓

通常,纯物质摩尔相变焓的相关数据可从有关的物理化学手册中查到。

3.相变过程的体积功——相变功

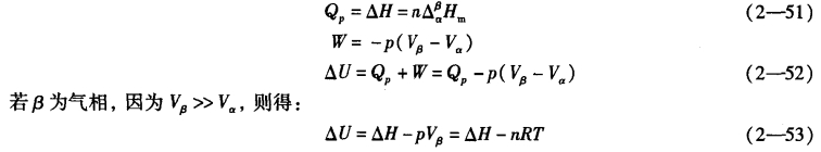
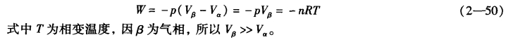
但对于有气相参加的相变过程,如l=g、 s=g等,相变前后体积变化较大,相应的相变功就不能忽略。一般而言,若体系在恒温恒压下由凝聚相α转变为气相β(g),则过程的相变功可表示为:

4.相变过程的焓变与热力学能变

由于相变过程为恒压过程,所以应当有: