课程章节
1
物理化学
友情提示:同学您好,此页面仅供预览,在此页面学习不会被统计哦! 请进入学习空间后选择课程学习。
1.6.4.1 一、理想气体的热力学能和焓(Thermodynamic Energy and Enthalpy of...
一、理想气体的热力学能和焓(Thermodynamic Energy and Enthalpy of an Ideal Gas)

1.理想气体的热力学能—J—oule定律

Joule定律指出:“物质的量固定的气体,它的热力学能只是温度的函数,而与压力和体积

无关。”数学表达式为

图2—4 Joule实验装置图

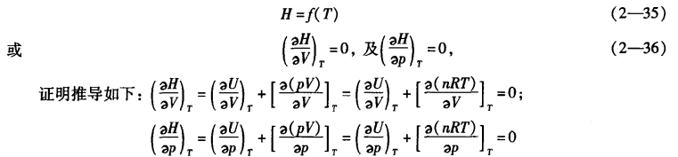
2.理想气体的焓

根据焓的定义式H=U+pV以及理想气体的状态方程,可以证明理想气体的焓也只是温度的函数,而与体积和压力无关。即: