课程章节
1
物理化学
友情提示:同学您好,此页面仅供预览,在此页面学习不会被统计哦! 请进入学习空间后选择课程学习。
1.5.3.1 一、道尔顿分压定律(Dalton Partial Pressure Law)
一、道尔顿分压定律(Dalton Partial Pressure Law)

总结大量在较低压力下的气体实验结果,1801年道尔顿提出了分压定律。

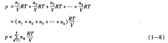
各组分气体均服从理想气体状态方程:

于是就有将此式代入式(1—6),则:

式(1—6)和式(1—8)是道尔顿分压定律的数学表达式。