1.5.4 垂直差异市场的概率销售定价模型
垂直差异市场的概率销售定价模型

一、垂直差异市场概率销售

概率销售的定义如上已经做了非常详细的阐述,在这里不再赘述。而本章节着重研究垂直差异市场情境下的概率销售定价问题。首先,我们需要明确水平差异市场概率销售与垂直差异市场概率销售的区别,水平差异市场的情境下研究概率销售,表明产品之间不存在明确的好、坏的程度的差异,而只存在消费者之间偏好的差异,为消费者自身的一种价值判断;相反地,垂直差异市场的概率销售则表明产品之间存在不同质量水平的差异。Zhang,Joseph和Subramaniam(2014)是第一个在垂直差异市场下研究概率销售是否会出现及其最优策略,并考虑了质量决策内生化时概率销售能否依旧有利的状况。由于目前仅有Zhang,Joseph和Subramaniam(2014)研究了垂直差异市场的概率销售问题,那么下文就主要基于该研究详细阐述垂直差异市场的概率销售定价模型。

尽管在水平差异市场概率销售得到了较为普遍的应用,例如Fay和Xie(2008)中所提到的关于零售商销售不同颜色毛衣的例子,该零售商会提供红色和绿色两种不同颜色的毛衣,除此之外,还会提供一个存在一定概率的消费者或者买的红毛衣或者买到绿毛衣的概率产品选项。但实际上,概率销售在垂直差异市场也具有广泛的应用,尤其是在航空产业中。例如,旅行网站Skyscanner.net提供了两种质量水平的产品——商务舱和经济舱,很明显,商务舱的价格要远高于经济舱的价格,除此之外,还提供了具有质量差异的这个产品所构成的概率产品,即购买概率产品的消费者有一定概率可能得到服务升级。此外,服务行业的普遍发展、联系购买和消费间的技术能力的增长都会在一定程度上促进概率销售的实践与应用。此类概率销售在垂直市场得到普遍实践,其共通之处在于产品之间存在绝对的质量差异。

那么,我们先来熟悉一下本章节的主要框架:首先,通过对不同对企业不同质量水平企业产品策略的比较,探索概率销售在垂直差异市场的情境下是否能够出现,并将此过程置于在企业是否能够决定产品质量水平的不同情境之下进行研究;除此之外,为了进一步扩展概率销售在垂直差异市场中应用的外部效度,对需求不确定时的垂直差异市场的概率销售做了详细的阐述。总的来说,该研究主要解决了如下问题:

第一,在垂直差异市场下的概率销售是否还是最优的策略?相对于没有引入概率销售的情况下,它如何增加利润?实施概率销售的交易成本是什么?

第二,如果在垂直差异市场,企业能够选择质量,那么他们还会引入概率销售吗?如果引入,那么如何进行质量决策?特别地,在引入概率销售之后,在质量维度上上产品之间是更近还是更远?这些选择对消费者剩余有什么影响?

第三,概率销售能否作为管理需求不确定状态的工具?

二、基本模型(质量外生)

1.企业行为

此部分主要考虑在产品质量外生的情境下,概率销售在垂直差异市场下引入时的最优问题。假设该企业在市场中处于垄断地位,且提供两种不同质量水平的产品——高质量产品和低质量产品。根据市场的不同结构,企业有三种基准定价策略(即,benchmark1、benchmark2和benchmark3)。考虑了在不同策略下企业在给定市场细分和价值下,定价并提供产品,以最大化其利润,以及在不同条件下,企业对不同产品策略的选择问题。详细的假设条件以及符号表示如下所示:

首先,企业在市场中处于垄断地位,并可能提供三种产品:高质量产品、低质量产品和概率产品(获得高质量产品概率φ,获得低质量产品概率1-φ)。其中,产品边际成本分别为c H、c L(c H≥c L),不失一般性,我们假设低质量产品的边际成本c L=0。另外,概率产品实现销售的单位交易成本为c(包括说明成本和运营成本);高质量服务的生产能力为M,低质量服务的生产能力为N(M<N)。

其次,企业在开始确定产品线并定价,所有消费者在销售时间段中随机出现。

最后,我们还假设若消费者在相同消费者剩余的产品中进行选择,则会最终买受企业青睐的产品。

2.消费者行为

在垂直差异市场的情境下,不同于水平差异市场,产品的差异不再是颜色或是样式等属性上的差异,而是具有绝对的质量高低的差异。这里,我们假设市场上存在两种消费者——高端消费者、低端消费者,这两种消费者的市场规模分别是n H、n L(n H<M),消费者对两种质量的产品的感知价值分别为V HH、V HL、V LH、VLL。其中V HH表示高端消费者对高质量产品的感知价值,V HL表示高端消费者对低质量产品的感知价值,且V HH>V HL;VLH表示低端消费者对高质量产品的感知价值,V LL表示低端消费者对低质量产品的感知价值,且VLH>VLL。除此之外,定义Δ=[V HH-V HL]-[VLH-V LL]=[V HH+VLL]-[V HL+VLH]。也就是说,高端消费者对高低质量产品感知价值的差要大于低端消费者对低质量产品感知价值评价的差距,或者说相较于低端消费者,高端消费者愿意为高质量产品支付比低质量产品更高的价钱。这些假设符合Tirole(1988)对基本质量差异模型的假设。

在此基础上,我们还假设消费者只消费一个单位的产品(高质量或低质量产品),不论是高端消费者还是低端消费者的目标是选择那个可以给他们带来最大的消费者效用的产品。

3.最佳策略

首先,企业根据高低质量产品做出三种可能的产品策略,由于不同质量水平的产品需要不同质量水平的生产能力的支持,且相互之间不能交叉使用,简单地说,即高质量产品生产能力仅能提供高质量产品,低质量产品的生产能力仅能提供低质量产品。此时,企业所能够应用的三种可能的产品策略及其最优选择如下:

Benchmark1(高端市场策略):企业专门为高端的消费者提供高质量产品。此时,定价策略及其利润为:

p H=V HH

πB1=n H(V HH-c H)

Benchmark2(传统差异化产品线策略,即强差异化策略):企业提供高质量的产品给高端消费者,提供低质量的产品给低端消费者。此时,定价策略及其利润为:

p L=V LL

p H=V HH-V HL+V LL

πB2=n H(V HH+V LL-V HL-c H)+NVLL

Benchmark3(弱差异化策略):企业定高质量产品的价格为V LH,定低质量产品的价格为V LL,以此用尽所有的生产能力M+N。此时,高、低质量产品的价格间的差异就是低端消费者对这两种产品的价值的差异,而这里低端消费者认为高、低质量产品之间的差异不大。高端的消费者会购买高质量服务,因为他们会从购买高质量服务中获取更大的效用。假定消费者数量多于生产能力(供不应求),产品分配是随机的。由于企业利润与消费者的结构无关,则定价策略及其利润为:

p L=V LL

p H=V LH

πBa=M(V LH-c H)+NV LL

根据上述这三种产品策略,能够看出企业在不同的产品策略情境下对高质量产品的定价不同,且剩余生产能力也不同:(1)在高端市场策略中,由于企业不销售低质量产品,因而企业在对高质量产品进行定价时不受到限制,可以定其最高价,但还有剩余的生产能力去生产高质量产品和低质量产品。这个策略的特点是高价,低需求;(2)在传统差异化产品线策略中,由于企业受到激励相容的限制提供高、低质量的产品,因而高质量产品的定价设定为V HH-V HL+V LL,还有剩余的生产能力去生产高质量产品。这个策略的特点是中等价格,中等需求;(3)在弱差异化策略中,企业为了保证充足的销量,因而对高质量产品的定价更低,但是没有剩余的生产能力。这个策略的特点是低价,高需求。在这三个策略中,没有一个是具有明显的优势,因而需要进一步研究。

尽管这三个策略都没有明显的优势,那么企业在分别什么情况下会喜欢这三个benchmark策略呢?很明显的,当高质量产品的市场容量n H或者高端对高质量产品的感知价值V HH足够高时,企业会放弃低端消费者市场,目标市场仅定为高端消费者市场,此时企业就会选择Benchmark1策略;但是,若低端消费者市场比高端消费者市场更加有利,那么企业需要在benchmark2策略和benchmark3策略中做出选择,当高端消费者有较高的价值或者剩余生产力不是特别大时,企业可以忍受因为仅提供给高端消费者高质量的产品,而放弃的过剩生产能力M-n H时,benchmark2相对最优;而当条件相反时,企业会耗尽所有的生产能力,并不介意高质量产品以较低的价格卖出,此时benchmark3相对最优。

4.引入概率销售

一般来讲,相对于高端市场策略和传统差异化产品线策略,引入概率销售,能够充分利用企业剩余的生产能力;而相对于弱差异化策略,引入概率销售能够提高高质量产品的价格。此时,企业定位高质量产品于高端消费者市场,并能够通过定高价以获得较高的利润,同时持续定位概率产品和低质量产品于低端消费者市场。

这里主要探索了概率销售在垂直差异市场是否能够出现及其相对应的定价策略。这里,我们以φ表示在概率产品中获得高质量产品的概率,这既是企业引入概率销售的一个非常重要的决策变量,也能够一定程度上表示在产品线中应用概率销售策略。那么很明显地,高端消费者和低端消费者对概率产品的质量感知价值的评价就变成了了线性组合形式,即V =φV HH+(1-φ)V HL和V=φV LH+(1-φ)V LL。此处,前者表示高端消费者对概率产品的感知价值,而后者表示低端消费者对概率产品的感知价值。由此,如上述所讲,给定消费者的感知价值,便可进一步了解消费者剩余以及消费者是否会购买概率产品。

首先,需要明确可以证明无论什么时候企业引入概率销售,总是定位概率产品的目标顾客为低端消费者。因此概率销售仅有以下两种方式:

(a)有两个质量层次的概率销售[H,φ](即,包括高质量产品、概率产品):企业通过向高端消费者销售高质量产品以满足市场上所有高端的消费者n H,然后将生产高质量产品的剩余能力M-n H和没有消耗的低质量产品的剩余能力N都用来提供概率产品,并将其定位于低端消费者。

(b)有三个质量层次的概率销售[H,φ,L](即包括高质量产品、概率产品、低质量产品):企业向高端消费者提供高质量产品,而向低端消费者提供概率产品和低质量产品。其中,剩余的生产高质量产品的生产能力和部分低质量产品的生产能力用来组成概率产品,而剩余的低质量产品的生产能力用以生产低质量产品。

由上述表述的引入概率销售的两种方式可以看出,不论是有两个质量层次的概率销售策略还是有三个质量层次的概率销售策略,其概率产品均是面向低端消费者而非高端消费者。所以,pφ=V =φV LH+(1-φ)V LL,此处仅涉及低端消费者对概率产品的感知价值。同时,为了保证高端的消费者仅购买高质量产品,需要保证高端消费者购买高质量产品的消费者剩余要高于其购买概率产品及低质量产品的消费者剩余。因此,可以得出:

p H=V HH-φ(V HH-V LH)-(1-φ)(V HL-VLL)=V HH-V HL+V LL-φΔ

通过将上式,即引入概率销售后高质量产品的价格与三个策略情境下高质量产品的定价进行比较,揭示了引入概率销售降低了本来企业向高端消费者提供的高质量产品的定价水平,也就是说概率产品的引入蚕食了企业从向高端消费者销售高质量所获得的利润。而在概率产品中获得高质量产品的概率越高,则高质量产品降价的程度就越显著,则利润的蚕食越严重。

将该研究中垂直市场的概率销售与Fay和Xie(2008)的水平市场的概率销售进行比较。其中差别在于此研究假设V HL>V LL,而Fay和Xie(2008)假设V LL>V HL。注意到引入概率销售后对高质量产品的定价情况,会发现应用此研究的假设会比应用Fay和Xie(2008)的假设所产生的高质量产品降价的程度更高。这种高度的蚕食现象使得去考虑在垂直差异市场中是否会应用概率销售,因此激励了作者进行这个的研究。

当引入概率销售时,企业向高端消费者提供高质量产品,用高质量产品的剩余的生产能力和部分低质量产品的生产能力去提供概率产品,并以概率产品和剩余低质量产品的生产能力生产低质量产品销售给低端消费者。在消费者购买概率产品时,不能够保证其获得的是高质量产品或是低质量产品,但是消费者获得高质量服务的概率为φ=(M-n H)/(M-n H+X),获得低质量产品的概率为1-φ=X/ (M-n H+X)。此处XX指的是需要结合剩余的高质量产品的生产能力以提供概率产品的部分低质量产品的数量,因此,变量X在此研究的分析中就非常重要。因而概率产品的成本为φc H+c(情况a),其中包括产品成本和交易成本。因此企业需要确定以最大化自己的利润函数:

5.基本模型的结论

在垂直差异化市场情境下,通过对企业可能选择的三种不同的产品策略——高端市场策略、传统差异化市场策略和弱差异化策略,以及在这三个策略外引入概率销售时的不同情况进行讨论,能够得到以下结论:在垂直差异化市场中,当有剩余生产能力时,引入概率销售总是有利的。除此之外,产品线决策由交易成本的大小决定:当有较低的交易成本时,选择[H,φ]策略,而当有较高的交易成本时,选择[H,φ,L]策略。

结论揭示了垂直差异化市场概率销售的最优解和出现方式。当然,概率销售的出现是以交易成本的大小为条件的。当交易成本太大时,概率销售不会有最优,且强调在垂直差异化市场,当有剩余生产力时,概率销售是有利的。

这里,提供一些直觉上关于概率销售是如何优于三个策略的解释。首先,该研究比较了概率销售和高端市场策略。当引入概率销售时,相对于在benchmark1策略中的高质量产品价格下降了,但是给低端消费者的剩余的高质量产品生产能力和低质量产品生产能力所产生的销售增加了利润。其次,比较概率销售和传统差异化产品线策略。在任一种概率销售出现的形式中,其高质量产品的价格都低于benchmark2策略的高质量产品价格。尽管会出现蚕食,但是其充分利用了剩余的高质量产品的生产能力以获得更高利润。最后,比较概率销售和弱差异化策略。概率销售的优势在于企业能够定位高质量产品于高端消费者,有更高的高质量产品定价价格。

从这一点上讲,概率销售中获得高质量产品的概率一定程度上能够控制蚕食的程度。当φ大时,在概率产品中更可能获得高质量产品,那么概率产品与高质量产品之间会有较强的替代性,蚕食会变得比较严重;另一方面,当φ小时(可以通过定较高的X来获得),会使大量的产品是通过概率产品销售出去。

并且,如何使用概率销售,或者是否使用概率销售还要受到交易成本的影响,因为每一单位概率产品的销售都需要支付交易成本,会侵蚀利润。从讨论中,能明白为什么[H,φ]或[H,φ,L]的决策的选择会取决于交易成本的大小。当交易成本较小或者缺失时,由于交易成本而导致的利润侵蚀问题就不突出了。因此,最好通过耗尽所有的低质量产品的生产能力去销售概率产品,即[H,φ]以最小化蚕食效应。相对的,当交易成本增加时,源于交易成本的利润侵蚀就会显著。因此,企业不能通过增加低质量产品在概率产品中的比例来最小化蚕食效应。因此当[H,φ,L]策略时,企业不会耗尽所有的低质量产品的生产能力去销售概率产品而是保留一些低质量产品。

三、核心模型(质量内生)

在此部分中我们允许企业的质量决策,目的是研究当企业具有选择高质量与低质量产品的质量水平的自由度时,概率销售是否仍然可以帮助销售企业高质量产品的剩余生产能力,并提高企业利润。此时,需要说明的一点是,由于生产能力本质上通常是长期的概念,因而认定生产能力M、N是长期固定不变的。并且,同时进一步假设不可能在不同的质量水平上转移生产能力。即,尽管每种生产能力下产品的质量可以变动,但是每一种生产能力仅能提供一种质量水平的产品。例如,一个宾馆有一部分面积更大的优质高价房,也有一部分面积较小的经济房;一个航空公司在波音747的上层提供指定的头等舱,在下层提供指定的经济舱。在这两种情况中,服务提供商有相对的自由度去改变两种服务的感知质量水平,但是却无法在短时间改变各自的生产能力。在这种情境下,研究表明内生化质量决策不会消除概率销售。该研究也展示了引入概率销售如何会影响质量决策。最后,该文研究了在垂直市场引入概率销售对消费者剩余的影响。

1.企业行为、消费者行为

在该研究分析中,借鉴了Moorthy和Png(1992)的研究。假设企业销售高、低两种质量水平的产品,分别为q H、q L,且不论哪种质量水平的产品,其产品成本函数均符合aq2(a是尺度参数)。也就是说随着产品质量的提升,产品的成本以二次方的速度增加。除此之外,市场上仍有高端消费者和低端消费者两种消费者群体,假设低端消费者对每一单位产品质量的支付意愿为υL(或称其为对质量的偏好),而高端消费者对每一单位产品质量的支付意愿为νHH>νL)。那么自然地,存在VLL=νL q L,VLH=νL q H,V HL=νH q L,V HH=νH q H

2.最佳策略

此处研究思路与前面讲述的质量外生相似,当质量内生化后,首先探讨三种不同的基准产品定价策略及其最优利润,并考虑引入概率销售后,相较于这三种基准策略概率销售是否能够提高企业的利润。首先,在质量内生的背景下,对于每一个策略,企业的最优定价策略和利润如下:

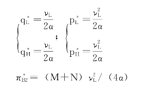
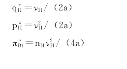
Benchmark1(高端市场策略):企业仅向高端消费者销售高质量产品。此时:

Benchmark2(强差异化策略):企业向高端消费者销售高质量产品,向低端消费者销售低质量产品。此时:

与Moorthy和Png(1992)的结果一致,高端消费者接受有效质量水平,而低端消费者接受的质量水平要低于此。介于最优低质量水平是非负的,因此只有当R≤1时,强差异化策略才会发生(R=n HH-νL)/(NνL),为蚕食指数)。

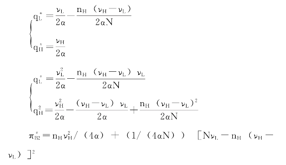
Benchmark3(弱差异化策略):企业提供高质量产品的价格和低质量产品的价格均以低端消费者的保留价值定价。此时企业的最优定价策略和利润如下:

3.引入概率销售

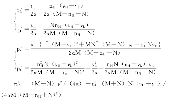
引入概率销售后,且同时考虑质量成本,则得出:

此时在上述表达中,为了数学上的推导方便,我们假设概率销售的单位成本c=0。此时,根据前面的讨论,我们知道在c=0的情况下,企业将通过[H,φ]策略用所有的低质量产品去构成概率产品,使得X=N。此时企业的最优定价策略和利润如下:

介于最优低质量水平是非负的,因此仅当R≤1+(M-n H)/N,概率销售才是有利的。将引入概率销售的结果与三个策略相比较,从中能够看到概率销售在以下条件下是最优的:

1)当R>1+(M-n H)/N时,强差异化策略和概率销售不会出现。除此之外,高端市场策略优于弱差异化策略,因此,此时高端市场策略是最优的。

2)当1<R≤1+(M-n H)/N时,强差异化策略不会出现,但是概率销售是可以出现的。这里,研究发现高端市场策略优于概率销售,因而高端市场策略在此情况下亦是最优策略。

3)当R≤1时,强差异化策略和概率销售都是可行的。由于强差异化策略下的利润要大于高端市场策略,即>0,因而强差异化策略优于高端市场策略。在无概率销售的情况下,企业有两种选择——强差异化策略和弱差异化策略。当νL/ ,强差异化策略优于弱差异化策略。当νL/ 时,弱差异化策略优于强差异化策略。

首先,考虑νL/ 的情况,这里强差异化策略是最优的策略。然后,对企业的强差异化策略的决策能得出以下结论:

(1)当νL低于一定水平时,只要低端消费者对质量的偏好超过一定阈值(νL>γ1νH),概率销售就是最优策略;而当n HνH/(n H+N)<νL≤γ1νH,强差异化策略是最优策略。[1]

(2)相对于强差异化策略,概率销售使企业降低高质量产品的质量和价格,但提高了低质量产品的质量和价格。

这两个结论从直观上的解释详细如下。首先,低端市场细分的消费者对质量的支付意愿需要超过一定的阈值,概率销售才会出现。如果支付意愿过低,会导致严重蚕食效应。此外,低的支付意愿也表明在概率销售中给低端消费者提供高质量产品不会产生太多利润。由于这些原因,概率销售的出现需要低端消费者有足够高的质量支付意愿。

其次,结论揭示了概率销售的引入使产品线的质量方面更加相近:定位高端消费者的产品的质量降低,而定位低端消费者的产品的质量提高。这是非常令人吃惊的。有人会猜想一个中间产品的引入应该会使两边的产品差距更大,但是企业的决策正好相反。为了明白的降低,注意到给高端消费者专门提供的高质量产品的高端市场策略中,高端消费者的最优质量达到有效水平,即q*H=νH/(2α)。这里,当引入概率销售时,高质量产品的生产能力M,一部分以确定产品的形式卖给高端消费者,一部分以概率产品的形式卖给低端消费者。由于低端消费者有更低的质量支付意愿,因此上述高质量产品质量的有效水平对于这些消费者来说就太高了。因此,在企业具有选择产品质量的自由度时,企业的最优选择是降低高质量产品的质量水平。然后,为了明白的提高,需要先注意低质量产品只定位给低端消费者,因此消费者群体没有发生变化。在这里,回想在企业策略中降低低质量产品的质量主要是为了降低产品线之间的蚕食。尤其,在强差异化策略中高质量产品的价格为p H=V HHV HL+VLL=νH q H-(νH-νL)q L,而这里的第二部分就是由于低质量产品引起的蚕食效应所造成的价格降低的程度。然而,当概率销售引入p H=V HH-V HL+V LL-φΔ=νH q H-(1-φ)(νH-νL)q L-φ(νH-νL)q H,这里的中间部分就是由于低质量产品引起的蚕食效应所造成的价格降低的程度。尽管有概率销售时蚕食效应更加严重,但是很明显能够发现由于低质量产品引起的蚕食效应仍然比强差异化策略中的低。除此之外,给定概率销售策略下低端消费者的数量(N+M-n H)多于强差异化策略中消费者的数量(N),也会驱动νL的提高。这些解释使得企业会提高低质量产品的质量以获得销售利润。

然后,考虑当νL/ 时,弱差异化策略是较好的策略。对企业的弱差异化策略决策能够得到如下结论:

(1)当高于一定水平时,概率销售总是最优策略。

(2)与弱差异化策略相比较,概率销售使企业提高高质量产品的质量和价格,但会降低低质量产品的质量。

由于概率销售策略的利润大于弱差异化策略的利润>0,因此该结论还是比较直观的。同时,在弱差异化策略中,高质量产品和低质量产品之间的质量差异为零。而概率销售的引入可以显著改善两种产品在质量方面极度缺乏差异化的问题:高质量产品的质量提高以提高单位产品的利润,低质量产品的质量下降以避免蚕食效应。

总之,总结如上结论得出:只要νL>γ1νH,概率销售策略就是最优策略。那么,概率销售对消费者剩余的影响能够得到以下结论:当质量内生且企业引入概率销售,在强差异化策略下概率销售会提高消费者剩余,而在弱差异化策略下概率销售会降低消费者剩余。可以做如下解释:消费者剩余提高只能来源于高端消费者对高质量产品的购买,因为高端消费者从不购买概率产品,并且低端消费者总是保持其价值。这里,相对于强差异化策略,概率销售的引入降低了高质量产品的质量并提高了低质量产品的质量。且当应用概率销售时,p H=V HH-V HL+VLL-φΔ。因此,高端消费者购买高质量产品的消费者剩余是V HL-V LL+φΔ=(νH-νL) q L+φ(νH-νL)(q H-q L)。而在强差异化策略中,高端消费者的消费者剩余为V HL-V LL=(νH-νL)q L。因此,概率销售总是能够提高消费者剩余。直观来讲,概率销售的引入致使高质量产品的价格蚕食增加,进而使高端消费者能够获得更大的剩余。

然后,弱差异化策略中高端消费者的消费者剩余为SB3=n HH-νL)q H=n HH-νLL/(2α),而概率销售中高端消费者的消费者剩余为Sφ=(n HH-νLL)/(2α)-(n3H N(νH-νL)2)/(2αM(M-n H+N)2),明显能够得出前者大于后者。因此,质量决策和概率销售相对于无差异产品策略的弱差异化策略而言,能够作为一种从消费者获取更多剩余的工具。

四、需求不确定

在此部分中,为了能够增加概率销售在垂直差异化市场中应用的外部效度,进一步放宽了条件限制,研究在企业面临需求不确定性的情况下,选择概率销售是否依然有效。在此,我们主要关注高质量产品市场n H的需求不确定性,因为这个变量在之前研究的模型情境中,其起着很重要的作用,且我们已经假设了n L是一个非常大的量。进一步,研究假设有θ概率的可能性会面对低需求n H ,而有1-θ概率的可能性面对高需求)。在此情况下,企业需求决定是否引入概率销售。有趣的是该研究发现当蚕食指数R′=足够低时,概率销售还是会出现,在此条件下,强差异化策略和弱差异化策略是相对应的策略选择。并且只要νL是足够高的(νL>γ2νH),那么概率销售是最优的。在这种情况下,企业会保留一些高质量产品的生产能力和部分低质量产品的生产能力去提供概率产品。得到结论如下:

当企业面对有θ概率的可能性是低需求,有1-θ概率可能性是高需求,且n H <M<,只要νL>γ2νH,概率销售就是最优的策略。[2]

直观来讲,就如之前结论总结的一样,低端消费者的质量感知需要超过一定的阈值,概率销售才会出现。同时,需要注意到当θ=1,该结论的结果符合之前结论所阐述的结果。

五、垂直差异概率销售的实践运用

通过以上的分析,可以看出概率销售不仅在水平市场中可以提高企业的利润,这种定价手段同样适用于垂直差异市场,且不论企业是否能够自由选择产品的质量以及消费者的需求是否不确定,引入概率销售在某种程度上都是有效的。具体来讲,只要存在生产能力的剩余,引入概率销售都是有利的,且能够在垂直差异市场作为一种处理剩余生产力的工具。与此同时,当在强质量差异化策略市场上,引入概率销售会促使高质量与低质量产品的质量水平靠近;而在弱质量差异化策略市场上,引入概率销售是为了区分产品线以利用差异化的优势。同在水平差异市场下引入概率销售一样,在垂直差异市场中引入概率销售的优势同样是其不需要支付额外的新产品研发费用,便能够近乎无限地丰富产品线。而且实际上,由于相关互联网技术的发展以及服务业的不断发展,概率销售在实践中的应用也将更为广泛。

概率销售在垂直差异市场中的引入在旅游业和航空业等服务行业的应用最为广泛。例如,国际旅游中介Hotwire,提供两种租车服务:租用小型汽车,定价每天12.95美元和概率产品(存在一定概率能租用到大型轿车,或者是小型汽车),定价每天13.47美元,且该定价位于租用小型汽车和大型轿车之间。除此之外还有,国内某旅行社提供韩国旅游服务,提供三种旅游行程,三种旅游行程的安排包括酒店星级、旅游地点等都有明显的差别,并提供概率产品,有可能得到服务的升级。这两个例子是典型的垂直差异市场情境下对概率销售的应用,可见概率销售在实践中应用还是相当广泛的。