1.5.3 水平差异市场的概率销售定价模型
水平差异市场的概率销售定价模型

一、概率产品和水平差异市场概率销售

概率销售是一种销售产品或者服务的新策略,概率销售策略相比传统的销售策略而言,在所提供的产品或者服务里增加了概率产品。概率产品是一种特殊的产品或者服务的提供形式,它不是一种具体的产品或者服务,而是说消费者在购买商品或服务时最终会以一定的概率获得一组有差异的产品中的任意一个。比如,国外一些旅游网站所采用的销售酒店的方式,消费者在网站上选择目的地、停留的时间、所需酒店的档次,然后系统会按照这些需求提供一组酒店,并且给出相应的价格,消费者会以一定概率获得这组酒店中的任意一个酒店的居住服务,但是消费者只有在付款后才知道所订购酒店的具体信息。

根据产品差异的维度可以将概率销售分为水平差异市场的概率销售和垂直差异市场的概率销售。水平差异的概率销售所涉及的是一组在质量上没有差异但是消费者对该组产品偏好存在差异的产品。比如,同一生产商出品的款式相同的红色毛衣和黑色毛衣,它们在质量上没有区别,但是市场上有一部分消费者会更喜欢红色毛衣,而一部分消费者会更喜欢黑色毛衣。如果所有消费者购买后,一定获得与订单相同确定颜色的毛衣,这就是传统销售;如果有一部分消费者以一定概率获得某种颜色的毛衣,这就概率销售,而且是水平差异的概率销售。

二、基本模型

为了避免引入复杂的数学计算,先用一个简单的模型来刻画水平差异市场概率销售所涉及基本经济主体的行为。然后再进一步讨论基本模型的结论的稳定性和放宽基本模型的一些前提后的延展模型。下面介绍在水平差异市场概率销售中所涉及的市场主体的行为。

1.企业行为

假设企业提供两种质量无差异的商品,j=1,2;并且这两种商品的成本相等,c1=c2=c。为了确保在价格高于边际成本的情况下产品能有市场,假设这两种产品的成本在[0,1]区间内。在基本模型里,假设企业能很好地预测市场需求(即需求是确定的),并且企业的生产能力是无限的。在这种情况下,企业有两种销售策略:传统销售(TS)和概率销售(PS)。在传统销售的情况下,企业以价格销售产品j。如果采用概率销售,企业将会以价格销售产品j,也就是确定的产品j,同时还会以价格销售概率产品。假设概率产品是产品1的概率是φ,φ的范围在[0,1]区间内,企业的目标是通过合理选择φφ的大小来最大化其利润。

2.消费者行为

在基本模型里,假设消费者对两种产品的感知价值服从Hotelling模型。Hotelling模型是最早由Hotelling在1929年提出,这个模型后来被学者们广泛运用来刻画消费者偏好的异质性。在Hotelling模型中,最基本的假设是市场上所有的消费者都均匀分布在一条长度为L(标准化后可以为1)的线上,这条线就叫做Hotelling线。任意消费者对分布在Hotelling线两端的产品的偏好程度由他们与产品的相对距离来表示,并且消费者和产品的距离越大,这个消费者对这个产品的偏好就越低,或者说此消费者购买该产品的成本越高。在这种情景设定下,企业所要做的决策是在考虑消费者理性决策行为的前提下制定最佳的产品价格,以此可以获得最优的利润。

具体说来,在水平市场概率销售模型中,消费者会根据其对产品的感知价值来确定愿意支付的价格,假设任意消费者i对于产品j的感知价值为Vjt。对于任意一个消费者而言,对最理想的产品的价值感知为1,对于偏离理想产品的感知价值小于1,并且产品的感知价值会随着与理想产品差距增大而减小。因此从建模的角度,可以用1减去与理想产品的差距来衡量消费者对目标产品的感知价值。假设,消费者i在Hotelling线上的位置为xi,t代表产品的水平差异程度,则消费者对处于Hotelling线两端的两个目标产品的感知价值为:

假设任意一个消费者只购买1单位的产品,即消费第二单位产品的价值为零。消费者根据产品所带来的消费者剩余选择要购买的产品,消费者会选择剩余价值最大的产品。比如,当企业采用概率销售策略时,消费者有四种选择;(1)购买产品1,(2)购买产品2,(3)购买概率产品,(4)不购买。因此,在这种策略下,消费者会采用带来剩余价值最大的选择。

那么消费者的剩余价值又是如何决定的呢?消费者的剩余价值等于消费者感知的产品价值减去产品的价格。对于概率产品而言,消费者的剩余价值等于消费者对概率产品的感知价值与概率产品的价格之间的差额。具体来说,消费者对于概率产品的感知价值取决于消费者对产品1和产品2的感知价值,同时还取决于消费者关于概率产品可能是产品1的概率的预期。假设消费者是理性的和有远见的。因此,消费者对概率产品的感知价值为φV 1i+(1-φ)V 2i

3.最佳策略

企业的最佳策略是在考虑消费者行为的情况下制定的,由于模型假设了消费者是理性的和有远见的,企业选择的最佳策略一定是可供选择的方案中能够带来最高利润的策略。因此,企业的目标函数为不同策略下的利润函数。

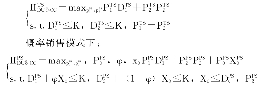
(,)为传统销售模式下产品j的市场需求,(,,φ)和(,,φ)分别为概率销售模式下产品j和概率产品的市场需求。在不同的销售模式下,分别用对应的价格减去成本再乘以市场需求就可以得到对应销售模式下的利润。因此,可以建立以下利润方程:

4.基本模型的结论

在传统销售模式下,企业通过选择产品j的价格来最大化利润;在概率销售模式下,企业通过选择产品j以及概率产品的价格(,)和产品1的分配概率φ来最大化利润。通过对不同销售策略下的利润进行优化,发现以下结论:

(1)只要产品的边际成本足够低,在企业的产品线里增加概率产品能够有效提高企业的整体利润。

(2)当产品的成本足够低时,引入概率产品带来利润的增加主要是因为提高了企业产品线内的价格歧视。当产品的成本在中等水平时,引入概率产品带来利润的增加主要因为提高企业产品线内的价格歧视和扩大了市场份额。

(3)引入概率产品带来利润优势并不以平均地分配产品(即φ=1/2)为前提,但是当φ=1/2时,引入概率产品带来的利润的增加是最大的。

(4)当产品的水平差异处于中等水平时,引入概率产品增加的利润最多。

以下具体讨论这四个结论背后的逻辑:

第一,基本模型的结论(1)说明在水平市场中,概率产品所带来的利润优势并不需要产品具有旅游类产品的特性,比如说需求的不确定、生产能力的有限性和中介商分销渠道等。正如结论(1)所述,在消费者对产品的偏好强度存在差异的情况下,只要产品的边际成本足够低,引入概率产品就能提高整体利润。这一点表明概率销售没有具体行业的限制,可以成为一种广泛适用的提高利润的销售策略。

第二,基本模型的结论(2)说明,尽管在传统销售模式下目前的市场需求已经全部被满足,企业仍然可以通过采用概率销售来增加利润。在这种情况下,需要产品的边际成本足够小,概率销售仅通过给予企业提高传统产品的价格的自由度来提高利润。引入概率产品能够让卖家将对特定产品偏好更强的消费者与偏好强度更低的消费者区分开来,偏好强的消费者会购买其所偏好的确定产品,偏好弱的消费者则会购买概率产品,因此企业通过引入概率产品,可以提高两种确定产品的价格,实现价格歧视的作用。比如非常喜欢红色毛衣的消费者,会购买红色的毛衣,非常喜欢黑色毛衣的消费者,会购买黑色毛衣,而对两种颜色的毛衣没有特别偏好的消费者会购买概率产品,因为概率产品相比更便宜。对于市场需求尚未被满足的情况,卖家引入概率产品,除了实现价格歧视的效果,还能通过吸引传统销售模式下产品感知价值低于传统售价的消费者,这部分消费者在传统销售模式下不会购买该产品,但是卖家采用概率销售后,这部分消费者会购买概率产品,从而增加卖家的市场份额。

第三,基本模型的结论(3)说明,对于概率产品的任意的分配率(即任意的Φ,0<Φ<1),都能获得概率销售的利润优势。尽管,概率产品中产品的平均分配并非概率销售能够提高利润的充分条件,但是当采用平均的方式分配概率产品时(即Φ=1/2),企业所获得利润的提高最大。这是因为当Φ偏离1/2时会从两个方面降低概率销售利润优势。假设Φ>1/2,增加的Φ会是的概率产品对于强烈偏好产品1的消费者更有吸引力,同时会降低概率产品对于强烈偏好产品2的消费者的吸引力。前者会产生蚕食效应,即一些原本在Φ=1/2时将要以高价购买产品1的消费者会在Φ>1/2时转而购买概率产品;后者则会产生需求降低的效应,即那些在Φ=1/2时选择购买概率产品的消费者,将会在Φ>1/2时选择不购买。在这种情况下,企业是否可以通过调整概率产品的价格来降低这两种效应对利润的负面影响?答案是否定的,原因在于增加概率产品的价格,将会降低概率产品对所有消费者的吸引力,虽然能减少蚕食效应,但是会加强需求降低效应。因此,对于企业而言,最合适的概率产品分配方式为平均分配,即概率产品可能是产品1和可能是产品2的概率相等,都为1/2。

当Φ=1/2时,消费者对概率产品的感知价值是相同的。然而,当Φ≠1/2时,消费者对概率产品的感知价值随着Φ的大小而变化。尽管对概率产品一致的感知价值并不是获得概率销售利润优势的充分条件,但是企业可以通过选择Φ=1/2让消费者对概率产品有相同的感知价值来最大化概率销售的利润优势。更有趣的是,尽管在消费者对产品需求偏好强度不对称时,这种平均分配的策略仍然是最优的。比如市场上偏好红毛衣的消费者比偏好黑毛衣的消费者要多,企业采用概率产品有1/2的概率会是红毛衣的策略仍然是最优的。关于这一点,后续会有具体的论述。

第四,基本模型的结论(4)说明中等的产品的水平差异程度能够最大化概率销售的整体利润优势。通过对利润函数的分析,发现价格歧视效应会随着产品的水平差异化程度增加而增加,但是由于产品之间的水平差异越大,消费者感知到通过购买概率产品得到非偏好产品带来的损失越大,因此概率产品的利润则会随着产品之间的水平差异化程度的增加而减少。假如对于所有的消费者而言,产品1和产品2都接近他们的理想产品,此时产品之间的水平差异程度趋近于零(t→0),概率销售的利润优势则很小,因为价格歧视的效果很小,趋近于零。企业无法通过引入概率产品来提高整体利润,因为所有的消费者都不会认为概率产品会比理想的确定性产品(产品1或者产品2)要差,此时概率产品会极大地蚕食确定性产品的需求,难以实现通过价格歧视来提高利润的效果。另一方面,如果产品1和产品2的水平差异特别小,此时消费者对概率产品的感知会很小,概率产品只有在价格很低的情况下才吸引消费者购买。综合来看,只有在中等的产品水平差异程度时,采用概率销售所增加的利润最大。

三、基本模型稳定性检验

通过对基本模型的讨论,发现了概率销售能够带来利润的增加,并且分析了背后的内在机制。这部分主要从概率销售适应环境的广泛性和概率销售的其他启示两方面做出进一步阐述。具体说来,第一个小部分将基本模型中消费者偏好的均匀分布的前提条件放宽,第二个小部分,将基本模型中涉及的产品数量由两个增加到N个,其他的前提与基本模型相关。

1.消费者偏好分布的一般化

基本模型中假设消费者均匀分布在Hotelling线上,在这里将这一条件放宽,消费者偏好服从更一般的分布。设消费者偏好的分布函数为f(x),(0≤x≤1)。在这种情况下,通过对利润函数优化,得出以下结论:

(1)当市场需求尚未被完全满足而且产品的边际成本足够低的情况下,企业在原有产品线上增加概率产品会有效提高整体利润。当市场需求已经被完全满足而且消费者对具有水平差异的产品的需求强度不相同的情况下,企业在原有产品线上增加概率产品也会有效提高整体利润。

(2)在概率销售能够提高整体利润的情况下,企业平均地将产品分配为概率产品能够最大化概率销售的利润优势。

(3)尽管市场上所有的消费者都偏好与同一种产品时,企业在原有产品线上增加概率产品会有效提高整体利润,并且企业平均地将产品分配为概率产品是最佳分配方式。

将消费者偏好的分布函数一般化后,分析概率销售和传统销售的目标利润函数,发现概率销售并不需要以标准的Hotelling模型的一些特征作为前提条件。具体来说,概率销售并不要求消费者偏好在Hotelling线上是均匀分布的。在以下具体讨论这三个结论背后的逻辑:

第一,从结论(1)可以看出,并不需要有消费者位于Hotelling线的中点。在传统销售模式下,没有做出购买选择的消费者对于产品的偏好要弱于购买了产品线里任意产品的消费者。因此,传统销售模式能够起作用的偏好强度的差异,在产品边际成本足够低的情况下都能在概率销售的模式下起作用,对于市场需求尚未完全满足的市场而言,对于传统模式下没有购买的消费者而言,概率产品价格更低,会显得更有吸引力。对于市场需求已经被完全满足的市场而言,只要企业在传统销售模式下选择服务偏好较弱的消费者,引入概率产品仍旧可以提高整体的利润。

第二,结论(2)说明对于一般化的消费者偏好分布函数而言,企业平均地将产品分配为概率产品依然是最佳分配方式。结论(3)进一步说明了尽管市场上所有的消费者都偏好与同一种产品时,平均分配也仍然是最佳分配方式。这一点可能并不直观,如果所有的消费者都偏好产品1,那么是否企业以更大概率将产品1分配为概率产品会提高利润?因为概率产品的目标顾客是偏好强度较弱的消费者,而确定性产品的目标消费者是偏好较强的消费者。分配的比例偏离1/2会降低企业这种市场细分的效能。假设,企业以>1/2的概率将产品1分配为概率产品,这将会提高所有消费者对概率产品的感知价值,然而,对产品1偏好最强的消费者对概率产品感知价值提升最多。因此当分配概率>1/2时,将会更难以高价出售确定性产品1。另外,当企业以<1/2的概率将产品1分配为概率产品时,概率产品的价格又会因为其变得更加不受欢迎而降低,这样也会影响企业的总利润。因此,最优的分配比例仍然是1/2。

2.N个产品的概率销售

之前讨论的是在企业包含两种具有水平差异的产品线里引入概率产品,在这个部分将基本模型中产品的数量放宽到N(N>2)。假设一个标准的空间市场(这个模型最早由Salop在1979年引入),任何一个消费者的理想产品用位置xi来表示,并且理想产品的感知价值为1,所有消费者的理想产品xi均匀分布在一个单位圆上。对于每一位消费者而言,所消费的产品偏离理想产品一个单位将会产生的成本为t。企业向市场提供N种产品,而且这些产品均匀分布在单位圆上,具体来说,产品j(j=1,2,3,…,N)。

在传统销售模式下,企业将选择以的价格来最大化包含N个产品的产品组合的整体利润。在概率销售模式下,企业通过选择确定性产品的价格、确定概率产品的数量以及每个概率产品的定价来最大化整体利润。在这种情况下,可以选择两种或者多种产品作为概率产品的组成元素,因此概率产品的种类有很多。具体来说,产品线中的所有产品被分配为概率产品的概率可以用向量来表示{,,…,},其中,=1,≥0,<1,在这种模式条件设定下,通过对企业整体利润的优化,获得以下结论:

(1)当产品的边际成本足够低时,向包含N个产品的产品线引入概率产品能够有效提高整体利润。

(2)随着产品数量的增加,获得概率销售利润优势的成本约束将减弱。

(3)最优的概率销售策略是提供N个概率产品,每个概率产品中包含2个组成元素,而且对于每一个概率产品而言,组成元素被平均地分配为概率产品。

由此可见,在企业产品线包含N种具有水平差异的产品时,通过对传统销售模式以及概率销售的利润进行优化,发现即使企业的产品线已经包含大于等于2种产品时,引入概率产品仍然能增加整体利润。与涉及两个产品的基本模型一样,一些消费者会产品线中的某一产品有很强的偏好,而一些消费者对该产品的偏好较弱。随机选择离偏好强度较弱消费者理想产品最近的两个产品作为概率产品,并将其引入企业的产品线,就可以在产品偏好强度有差异的基础上实现价格歧视。随着产品线中所包含的产品数量的增加,离消费者理想产品的最大距离就会缩短,因此,企业可以对概率产品设定更高的价格,进而可以在更大的成本范围内开展概率销售。最后,只要消费者的理想产品在某一空间内均匀分布,概率销售将可以延伸运用到其他的空间模型。在三维空间模型里,只要产品的成本足够低,概率产品的数量将随着产品线内包含产品的数量的增长而呈指数增长。

以上从消费者偏好分布的一般化和产品线包含产品数量两个方面来延展了基本模型,并且发现在基本模型中得到的结论可以适用于更广泛的情境。在后续部分,将介绍一些影响概率销售利润优势的几个因素,并且探讨概率销售模式所能带来的其他好处。

四、市场需求不确定和生产能力限制

在这部分将讨论市场需求不确定和生产能力限制这两个重要因素对概率销售利润优势的影响。为什么这两个因素很重要呢?因为一些市场环境下市场需求不确定和生产能力限制在企业获取利润的过程中扮演着关键角色,比如旅游服务、教育课程、节日礼物等这些市场。过度需求或者闲置的生产力会给企业的盈利能力造成负面影响。比如,拥有几家连锁机构的一家职业发展中心,专门为客户提供某种计算机培训课程,在课程开始之前,该中心可能无法确定在每个分支机构参与课程培训的人数,有可能其中的某个分支机构会比其他分支结构更受欢迎。由于无法知道哪个分支机构会更受欢迎,因此也无法通过设定不同的价格来确保课程资源利用的效率。在这部分将讨论概率销售会放大还是减弱市场需求不确定和生产能力限制对利润带来的负面影响。

1.非对称的产品需求

为了研究市场需求不确定和生产能力限制对概率销售利润优势的影响,首先考虑产品需求的非对称性对概率销售利润优势的影响。除了假定消费者偏好的分布是不对称之外,其他的前提都和基本模型中一致。为了将注意力集中在非对称的产品需求上,让模型更加简洁,假定产品线中产品的差异程度为1(即t=1),所有产品的成本为零(即c=0)。因此,公式1可以简化成公式3:

为了系统性考虑地考虑产品线内的所有产品需求的非对称性,假定偏好产品1的消费者比例为α(1/2≤α≤1),偏好产品2的消费者的比例为1-α,因此消费者对产品的感知价值可以表示为:

可以看出基本模型是非对称模型的一个特例,刻画的是当α=1-α=1/2的情形。当时α=1,则是标准垂直差异模型,即市场上所有的消费者都更偏好于产品1。在这种情况下,通过对企业利润的整体优化,获得以下结论:

(1)当市场需求非对称时,概率销售的利润优势会随着产品差异化程度的增加而小幅减小。

(2)当市场需求非对称时,引入概率销售会降低确定性产品的价格差。

通过以上分析,发现相对于对称性消费者需求而言,非对称需求的情况下企业引入概率销售所增加的整体利润更少。这是因为需求的非对称性允许企业在传统销售模式下获得价格歧视效应,因此,降低引入概率产品所来的利润的增量。然而,正如前文所述,即使在市场上所有消费者都偏好同一产品时,采用概率销售仍然能够增加整体利润。

本部分结论(2)说明,在需求非对称情况下,概率销售模式下的确定产品之间的价格差小于传统销售模式下产品之间的价格差。原因在于传统销售模式下,企业只能通过差异化定价来细分市场,而在概率销售模式下,企业可以通过销售价格较低的概率产品来细分市场。具体说来,在传统销售模式下,企业通过低价将受欢迎程度低的产品卖给需求强度较弱的消费者,然而在概率销售模式下,企业则通过低价将概率产品卖给需求强度较弱的消费者。这一发现表明,相对概率销售模式而言,准确判断市场消费者的偏好对传统销售模式来说尤为重要。这一区别将会在讨论需求不确定的影响时显得尤为明显。

2.需求不确定

在不对称性消费需求的分析中,假定产品1比产品2要更受欢迎。这部分所讨论企业对于消费者需求不确定主要指的是:在企业制定价格策略时,产品1和产品2都有可能是相对而言更受欢迎的产品,但是企业无法判断具体哪种产品会更受欢迎。具体说来,企业并不知道α>1/2更适合产品1还是产品2。

在这种情况下,假定L(L=DU,NDU)代表市场的类别,其中DU代表需求不确定的市场,NDU需求确定的市场。设代表在销售策略s(s=TS,PS)下的市场L中企业的利润。则代表在市场策略s(s=TS, PS)下由于市场需求的不确定带来的利润的变化。代表概率销售的利润优势。通过对不同策略下企业整体利润的优化,获得以下结论:

(1)面临需求不确定性市场的企业,将会从引入概率产品中获得更大的利润增量)。

(2)需求不确定性能增加概率销售利润优势是因为引入概率产品会降低价格决策对确定更受欢迎产品的依赖,因此会降低需求不确定性带来的利润损失。

一般而言,需求不确定都会减少销售利润,而需求不确定能够增加概率销售利润优势这一发现则和我们的直觉是相反的。需求不确定性对概率销售利润优势的积极影响的原因在于概率销售能够对需求不确定性对利润的负面影响起到缓冲的作用,从这个角度来看,引入概率销售还有另外一个优势即应对市场需求不确定性。在市场需求确定的情况下,卖家最优的定价策略是对受欢迎程度高的产品制定较高的价格。然而,当市场需求存在不确定性时,企业无法判断相对而言更受欢迎的产品,也就无法根据市场需求制定相应的价格策略,因此这种不充分的市场信息会降低企业的整体利润。但是,可以通过引入概率产品来降低这种信息劣势给利润带来的负面影响。第一,是否能准确判断出更受欢迎的产品并不影响概率产品价格的制定,因为概率产品的价格由消费者对产品组合中所有产品的感知价值决定,不管产品组合中更受欢迎是产品1还是产品2,由两者组成的概率产品的价格是一样的。第二,引入概率产品同样也会让确定产品的价格更少地依赖于对更受欢迎产品判断的准确性。从这部分的结论(2)可以看出,引入概率产品会降低企业对确定产品采用差异化定价的需要。因为,企业可以通过概率产品来细分市场。第三,概率产品可以降低企业因误判市场需求所带来的损失。比如,在传统销售模式下,如果企业对更受欢迎产品进行了错误判断,则会对原本非热销产品制定一个较高的价格,从而相对正确判断的情况而言,会损失掉该产品所有的消费者。但是,在概率销售的模式下,如果企业误判市场需求,则只会损失一部分消费者,有一部分消费者会购买概率产品。

3.生产能力限制和需求不确定

这部分将讨论在企业同时处于生产能力受限以及市场需求的不确定的环境下,引入概率产品对企业整体利润的影响。在这种情况下,可以设K为企业所能生产产品的最大数量。如前一部分所述,企业无法判断市场上哪种产品会更受欢迎,市场上对产品的需求存在较大的非对称性(即α较大),因此企业面临较大的需求不确定。

代表在销售策略s(s=TS,PS)下,企业同时处于生产能力限制和市场需求不确定情况时的整体利润。因此企业将面临对两种销售策略下,整体利润的优化问题。

传统销售模式下:

上式中的X0代表概率产品销售的数量,且等式中的前两个限制条件保证了每种产品的销售数量(包括该种产品中被分配成为概率产品的部分)都不会超过企业的生产能力。第三个限制条件保证,企业所确定的概率产品的数量不会超过市场对概率产品的需求。最后一个限制条件说明,因为企业无法准确判断市场上更受欢迎的产品,因此无法对确定产品制定差异化价格。

前文已经设定代表在销售策略s(s=TS,PS)下,企业生产能力充足但面临需求不确定情境下的整体利润。很明显增加一个额外限制条件无法提高任何一种销售策略的整体利润,即≤0,s=TS,PS。但是在面临相同的市场处境时,引入概率产品是否能够增加企业的整体利润?在企业生产能力充足但面临需求不确定情境下,引入概率产品对整理利润的影响可以这样表示。在企业同时面临生产能力限制以及市场需求不确定时,引入概率产品对整体利润的影响可以这样表示。对比这两个利润差额的大小,就可以发现在哪种市场情况下,概率销售的利润优势更大。具体说来,通过分析在需求不确定情况下,生产能力限制对概率销售利润优势影响的分析,获得以下结论:

(1)当生产能力处于中等水平并且市场需求不确定性足够大时,面临生产能力限制的企业比无生产能力限制的企业引入概率产品能够增加的利润更多。

(2)当生产能力很小时,面临生产能力限制的企业比无生产能力限制的企业引入概率产品能够增加的利润更小。

(3)生产能力处于足够大时,面临生产能力限制的企业比无生产能力限制的企业引入概率产品所增加的利润无差别。

以上的三个结论表明当市场需求存在不确定性时,某些情况下生产能力限制可能会成为概率销售利润优势的积极影响因素。需求不确定和生产能力受限共同存在会给企业带来两个难题:产需不匹配和效率低下。而引入概率产品将会帮助企业解决以上两个难题。

第一,正如上文所说,需求不确定和生产能力受限容易导致产需脱节,比如某一产品供不应求,而另一产品则滞销。在传统销售模式下,这种供需不匹配的问题很难解决,因为由于市场需求的不确定,企业很难准确判断哪种产品更受市场欢迎,进而无法通过制定价格策略来调整市场需求。然而,如果企业引入概率产品的话,尽管市场上会存在绝大多数的消费者对其中一款产品有着强烈的偏好,但是企业可以通过概率产品细分出所有对该类产品偏好较弱的消费者。在这种情况下,即使卖家无法准确出将会滞销的产品,但是仍然能够通过概率产品以相同的概率销售产品组合中的产品,从而提高已有产能的效用。

第二,在传统销售模式下,一些偏好强度较弱的消费者会占有强偏好程度消费者的生产能力,从而需求不确定和生产能力受限容易导致效能低下。比如,对黑色和红色两种颜色没有特定偏好的消费者可能会购买红色毛衣,而红色毛衣则是当季的畅销款,常常容易出现库存不足,但黑色毛衣则出现滞销现象。在传统销售模式难以解决该类效率低下的问题,因为企业无法实现对需求强度不同的消费者进行对应产品的供给。但是在概率销售模式下,企业可以通过概率产品吸引一部分偏好强度较弱的消费者购买相对不太畅销的产品,从而为对畅销产品有强烈偏好的消费者保留一部分产品。

五、水平差异概率销售的实践运用

从以上的分析可以发现,作为一种新的销售产品和服务的方式,概率销售能够在很多的市场情景下增加企业的整体利润。概率销售之所以能够适用于多种市场情境,是因为概率销售基于的是消费者偏好强度差异这一几乎存在于所有市场的普遍现象。总体说来,概率销售有着重要的实践运用价值,因为概率产品并不是具体的某种产品而是一种虚拟的产品。从这个层面来看,引入概率产品将是一种无需增加额外研发费用的延伸产品线的新模式,对于那些面临较高的新产品开发的成本和风险的企业而言,引入概率销售将能够有效降低研发成本。概率产品的虚拟性这一特征也为企业在确定产品线长度上提供更多的灵活性,比如旅游公司可以只在旅游旺季的时候提供概率产品来调整市场需求,而在旅游淡季的时候则采用传统模式销售旅游路线。

除此之外,以上的分析发现在一些特定的情况下引入概率销售能够最大化地获得额外利润。具体来说,当产品的边际成本足够低、消费者存在偏好强度差异、产品之间中等的差异、需求不确定和生产能力限制这些因素都有可能是利用概率销售增加产品线整体利润的情境。当拥有多个存在水平差异产品的企业面临以上情境时,可以通过引入概率产品来增加利润。具体的方法,可以是增加确定性产品的价格并且提供打折的概率产品。由于服务的不可存储行和产销同步性,服务业所面临的生产能力使用率的变化幅度比较大,因此引入概率对于效能的提高作用比较大,特别是在面临市场需求不确定的情况。

在这里需要特别说明的是概率销售与预售、数量折扣或者团购一样,都有可能遭遇市场套利行为。因此通过概率销售出售的产品,必须控制是无法退换的,从这个角度来看,购买概率产品的消费者是面临一定风险的。如果概率产品能够退货或者换货的话,概率产品将会对确定产品的市场形成蚕食。但是,由于科技的进步要防止消费者通过概率销售进行套利还是很简单的,通过智能卡、RFID技术和电子账单能够了解到消费者所采购的商品,只要在退换货条例中明确概率产品无法退换货这一约定,就能有效避免套利行为。而对于服务业而言,服务具有生产和消费的同步性,要避免概率产品的套利行为就更简单了。