经典营销定价模型
一、完全垄断市场定价模型
在完全垄断市场中只存在一家企业,而不存在其他竞争者。定价博弈的双方只是垄断企业和消费者。Tirole (1988)与Carlton和Perloff(1990)在他们的书中详细地阐述与分析了此时垄断企业的定价策略。首先,在建模的时候我们要明确此时的垄断企业提供给市场的是单一产品还是产品线,因为这两种情况下的定价策略会非常不同。因此,我们将在下面的讨论分为两种情况:单一产品定价和产品线定价。其次,我们还要决策如何描述消费者市场。具体来说就是在模型中,到底是使用离散市场还是连续市场来描述消费者的多样性。使用连续市场描述消费者多样性的好处是更贴近事实,且在优化过程中一般会得到数学上的内部解,但缺点是连续分布的市场会带来计算困难,甚至导致无法获得优化的解析解。反之,离散市场虽然过于简单且最优解经常存在边界上,但却可以简化逻辑推导过程,且结果更易解释。因此,我们将分别在离散市场和连续市场两个情况下,讨论垄断企业的定价策略,以供读者可以更清晰地了解和比较两类市场假设的异同。
1.离散市场的单一产品定价
此时的垄断企业只生产并向消费者提供单一产品而没有其他的替代品,且此产品的边际成本为。企业的目标是通过对产品价格p进行优化而最大化其利润。这种市场在现实生活中普遍存在于煤气、水电等公众生活必需品领域。但由于这些都是生活必需品,人离开了就很难生存,此时企业(有的情况下是政府)的目标便不再是利润最大化了。因此,营销定价模型在这些公众生活必需品领域并不适应。不过,我们还是可以在现实生活中找到近似于单一产品的垄断市场的情况。例如:在高速公路上的加油站,在其前后几十公里内我们可以近似地认为这个加油站是垄断的,且一般汽车只会使用某一个型号的汽油或柴油,因此其他油品一般不具有替代性。另外,我们也可以近似地认为住宅小区中的小副食店在小区内是垄断的,且一般来说小副食店的每一类产品的产品深度不会太高,可近似认为是其运营的是单一产品。另外,我们后面的讨论中还假设企业在提供产品的时候没有容量约束,也就是企业可以有足够的生产能力满足市场需求。当然,有些情况下我们在研究中也会引入容量约束,由于这本书的重点,作者将不对此情况进行展开。
在市场中,我们假设存在两类消费者:高端消费者和低端消费者。高端消费者对产品的支付意愿为V H,低端消费者的支付意愿V L,且高端消费者的支付意愿严格大于低端消费者的支付意愿(V H>VL)。高端消费者与低端消费者的市场规模分别为n H与n L。此时,企业的对产品的定价策略有两个:低价策略与高价策略。
A.低价策略:
在低价策略中,企业通过设定一个较低的价格,让所有高端与低端消费者都进行购买。由于低端消费者对产品的最高支付意愿为V L,而高端消费者的最高支付意愿为V H,为了让他们都选择购买,产品的最高价格为p=VL。此时的市场需求D为n H+n L,企业获得的利润为πA=(p-c)*D=(n H+n L)(VL-c)
B.高价策略:
在高价策略中,企业通过设定一个较高的价格,只覆盖高端消费者市场,而放弃低端消费者市场,以价格换取市场需求。此时产品的价格为p=V H。由于低端消费者的支付意愿低于产品的价格,VL<V H,因此只有高端消费者会购买产品。此时的市场需求D为n H,企业获得的利润为
πB=(p-c)*D=n H(V H-c)
通过比较低价策略和高价策略的利润,我们发现当产品边际成本c足够小的时候
,低价策略是企业的最优策略;反之,当产品边际成本较高的时候
,高价策略是企业的最优策略。
这个结论说明,当产品的边际成本足够小的时候,企业有足够的空间可以通过低价策略来扩大市场需求,进而实现利润最大化。而当产品的边际成本过高的时候,为了抵消过高的边际成本,企业的最优定价策略将不是低价策略,而应该通过提高产品的价格来实现其利润的最大化。
2.连续市场的单一产品定价
不同于上一节中的离散市场,在连续在市场中,我们假设具有不同支付意愿的消费者的密度服从0~1的区间的均匀分布。在这里,我们把市场中的所有消费者的不同支付意愿V标准化到从0到1的区间中,并且我们假设了处于这个区间中每一个点上存在的消费者的密度为1。在这里,相较于离散市场,我们不再假设高端或低端消费者类别,而是直接用一个均匀分布来描述市场中的消费者。不可否认,现实中消费者的分布并不一定是均匀分布,可以是正态、贝塔或其他分布,在技术上我们可以通过电脑模拟与分析任何复杂的分布,但在模型研究中学者是可以普遍接受均匀分布这个假设的。
对于消费者来说,他们可以从消费产品而获得的效用为U=V-p,且他们只有在U≥0或者说U≥p的时候才会选择购买产品。因此,对于任何不大于1的产品价格p,市场中只有那部分支付意愿不小于p的消费者才会购买,也就是说此时的市场需求D等于(1-p)。(如图1)
在上图中,横坐标为消费者的支付意愿V,纵坐标为具有不同支付意愿的消费者的密度f(V),由于我们假设0~1的均匀分布,因此f(V)=1。图中的阴影部分即为企业的市场需求,其面积等于(1-p)。
此时,企业的利润的目标函数为:
π=(p-c)*D=(p-c)(1-p)
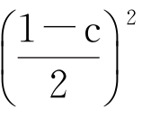
通过对以上利润函数的优化,我们得到在这个连续市场中企业的最优产品定价为p*=
,且企业的利润在这个价格下达到最大π*=
。
在这里,我们可以直观的发现,不同于离散模型的边界解,我们可以在连续市场模型中获得内部最优解p*=
。但是,我们在从这两个不同市场假设下得到的结论其实是非常一致的。不难发现,在连续市场中,企业的最优价格p*与产品的成本是正相关的,也就是随着产品边际成本的上升,产品的最优价格也会增加。这其实与我们在离散市场中得到的结论是一致的。在离散市场中,我们发现当产品边际成本足够小的时候低价策略是企业的最优策略;反之,当产品边际成本较高的时候,高价策略是企业的最优策略。因此,在定价模型研究中,不论是连续市场还是离散市场一般是不会得到截然相反的结果的,只是在结果的形式上会有差异,这两种市场假设并不存在根本上的矛盾。
3.离散市场的产品线定价
此时的垄断企业只生产并向消费者提供的不再是单一的产品,而是相互具有可替代性且可以形成高低搭配的产品系列,或产品线。由于产品线中各个产品间的销售会相互影响,垄断企业在进行产品定价的时候所要考虑的不再仅仅是某一个产品的利润最大化,而是整个产品线的利润最大化。因此在定价过程中,垄断企业要在不同产品间进行权衡,有时会为了整体的利润最大化而牺牲某一产品的利润。这种市场在现实生活中就比较普遍了,例如:微软公司在计算机操作系统领域基本处于垄断地位,而他的windows操作系统会有Home Edition和Professional两个版本,其中Professional属于高端版本,而Home Edition则属于低端版本。这两个版本形成高低搭配且相互具有可替代性,组成了产品线。还有,美国的Monsanto公司也是一个在农用种子领域拥有众多的产品的垄断企业,同一类作物的不同品种形成了产品线。另外,一般的超市和农贸市场在其所处的区域也可以近似认为是在地理距离上是垄断,并且由于这些企业所运营的每一类产品都有足够的多样性,所以她们的定价行为也可以归类于产品线定价的范畴。
在这部分讨论中,为了模型的简便与可操作性,我们假设一个由两个产品组成的产品线。此时的垄断企业运营着由高端与低端产品搭配的产品线。其中,高端产品的价格较高为p H,低端产品的价格较低为p L,(p H>p L)。另外,高端产品的成本也高于低端产品,不失一般性,在模型研究中我们会假设高端产品的成本为,而低端产品的成本为0。与单一产品情况类似,我们这里假设企业在提供产品的时候没有容量约束。企业的目标是通过对高低端产品价格p H与p L进行优化而最大化其利润。
同样,在市场中,我们假设存在两类消费者:高端消费者和低端消费者。高端消费者对高端产品的支付意愿为V HH,对低端产品的支付意愿为V HL;低端消费者对高端产品的支付意愿为V LH,对低端产品的支付意愿为VLL。这里的支付意愿的角标中第一个符号代表消费者的分类(高端消费者H或低端消费者L),而角标中的第二个符号代表产品的分类(高端产品或低端产品L)。
这里,出于逻辑的合理性,我们要给这四个支付意愿进行一些限制:1.任何消费者对高端产品的支付意愿都要高于其对低端产品的支付意愿,因此我们有V HH>V HL和V LH>VLL;2.高端消费者对任意产品的支付意愿都高于低端消费者,因此我们有V HH>V LH和V HL>V LL;3.低端消费者对高端产品的支付意愿高于其成本,否则企业就不会有动机出售高端产品给低端消费者,因此我们有VLH>c。
高端消费者与低端消费者的市场规模分别为n H与n L。此时,企业的对产品的定价策略有四个:A.只向所有消费者提供低端产品;B.只向所有消费者提供高端产品;C.只向高端消费者提供高端产品;D.向高端消费者提供高端产品,向低端消费者提供低端产品。
A.只向所有消费者提供低端产品
由于企业只出售低端产品,且低端和高端消费者都会购买,因此低端产品的最高定价为低端消费者对其的支付意愿p L=VLL。此时的市场需求D为n H+n L,企业的利润为
πA=p L*D=(n H+n L)V LL
B.只向所有消费者提供高端产品
由于企业只出售高端产品,且低端和高端消费者都会购买,因此高端产品的最高定价为低端消费者对其的支付意愿p H=VLH。此时的市场需求D同样为n H+n L,企业的利润为
πB=(p H-c)*D=(n H+n L)(VLH-c)
C.只向高端消费者提供高端产品
由于企业只出售高端产品给高端消费者,因此高端产品的最高定价为高端消费者对其的支付意愿p H=V HH。此时,由于低端消费者不进行购买,因此市场需求D为n H,企业的利润为
πc=(p H-c)*D=n H(V HH-c)
D.向高端消费者提供高端产品,向低端消费者提供低端产品
此时,由于企业希望高端消费者只购买高端产品,而低端消费者只购买低端产品,因此我们需要这两种产品的价格p H与p L满足一些条件。作为理性人,消费者在面对高低端两种产品的时候,只会选择购买可以给他们带来更大的非负效用的产品。对于高端消费者,他们从购买高端产品所获得的效用为U HH=V HH-p H,从购买低端产品所获得的效用为U HL=V HL-p L。因此高端消费者只有在U HH≥U HL的情况下才会购买高端产品。同理,低端消费者从购买高端产品所获得的效用为U LH=VLH-p H,从购买低端产品所获得的效用为ULL=V LL-p L。他们也只有在ULH<ULL的情况下才会购买低端产品。通过以上两个条件,我们得到向高端消费者提供高端产品,向低端消费者提供低端产品这个策略只有在V HH-V HL≥V LH-V LL的情况下才可以存在,否则企业只会如策略A~C那样向市场提供单一的产品。
由于低端消费者会购买低端产品,因此低端产品的价格为低端消费者的支付意愿p L=V LL。而高端产品的价格却并不能简单地等于高端消费者的支付意愿,这是因为高端消费者对低端产品的支付意愿V HL大于低端产品的出售价格V LL,他们可以从购买低端产品那里获得效用V HL-V LL。企业只有将这部分效用让渡给他们才有可能让他们愿意购买高端产品,因此高端产品的最高价格只能是p H=V HH-(V HL-V LL)。此时的高端产品的市场需求DH为n H,高端产品的市场需求DL为n L。企业的利润为
πD=(p H-c)*DH+p L*DL=n H[V HH-(V HLV LL)-c]+n L VLL
通过以上的讨论,我们发现以下几点命题:
命题1:产品线中的低端产品的引入会降低高端产品的价格p H=V HH-(V HL-VLL),引起价格自相蚕食效应。
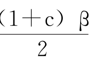
命题2:向高端消费者提供高端产品,向低端消费者提供低端产品的产品线策略(策略D)只有在高端产品的成本比较适中V HL-VLL-
≤c≤V HL-V LL,且低端消费者的数量足够大,n L≥
,的情况下才能成为企业的最优策略。
命题1的证明非常简单,在策略D中我们可以发现由于引入的低端产品,高端产品的价格V HH-(V HL-V LL)是小于其最大可能的价格V HH的。
命题2的证明与分析如下:
首先,通过比较πD与πA,我们得到策略D在c≤V HL-V LL的情况下优于策略A。不难发现,策略A的优势在于它覆盖了全部市场,服务所有高端与低端消费者,但是这个策略的劣势是它只提供了低端产品,而低端产品贡献的边际利润要低于高端产品。当高端产品的成本足够小的时候,高端产品的边际利润变得足够大,因此相较于只提供低端产品的策略A,产品线策略(策略D)的利润更高。
其次,通过比较πD与πB,我们得到策略D在c≥V HL-V LL-
的情况下优于策略B。这是因为当高端产品的成本过高的时候,为了保证其边际利润,我们需要其价格也应相应较高。而由于条件V HH-V HL≥V LH-V LL,策略D中高端产品的价格要高于策略B中的价格,因此相较于向所有消费者提供高端产品的策略B,产品线策略(策略D)可以为企业带来的利润更高。
最后,通过比较πD与πC,我们得到策略D在低端消费者的数量足够大n L≥
的情况下优于策略C。这是因为在策略C中,企业为了获得高端产品的高额回报只覆盖了高端消费者市场,而完全放弃了低端消费者,而当低端消费者的数量足够大的时候,这样做是不明智的。此时覆盖了全部高端与低端消费者市场的产品线策略(策略D)的利润更高。
4.连续市场的产品线定价
与单一产品的连续市场类似,我们假设市场中对于高端产品具有不同支付意愿的消费者的密度服从0~1的区间的均匀分布,处于这个区间中每一个点的消费者的密度为1。由于低端产品的存在,我们还要对消费者对于低端产品的支付意愿进行定义。这里,我们假设消费者对于低端产品的支付意愿是其对高端产品的支付意愿的按比例缩小,这个比例定义为β,0≤β<1。因此,对于低端产品具有不同支付意愿的消费者的密度服从0~β的区间的均匀分布,且处于这个区间中每一个点的消费者的密度为1/β。类似与在单一产品市场的分析,对于消费者来说,他们可以从消费产品而获得的效用为U=V-p,且他们只有在在获得非负效用U≥0或者说V≥p的时候才可能会选择购买产品。除此之外,由于此时消费者面对的不再是单一产品,而是由高端与低端产品组成的产品线,他们会选择可以带来更大效用的产品。
消费者可以从购买高端产品获得的效用为U H=V-p H,而从购买低端产品获得效用U L=βV-p L。根据以上分析,高端产品的购买者的需要同时满足的条件是U H≥0和U H≥U L。根据这两个条件我们得到只有那些对于高端产品的支付意愿足够高V≥Max
的消费者才会选择购买高端产品。同理,低端产品的购买者的也需要同时满足的条件是UL≥0和UL≥U H。我们得到只有那些对于高端产品的支付意愿处于区间
的消费者才会选择购买低端产品。这里,我们知道企业可以通过对高端产品和低端产品的价格(p H,p L)的调整来控制这两种产品的市场需求,进而优化其利润。
首先,我们可以证明当p H≥
的时候,市场上低端产品的需求变为零。这是因为从条件p H≥
我们可以得到p H≤
,进而我们还得到
。我们知道只有那些对于高端产品的支付意愿足够高V≥Max
的消费者才会选择购买高端产品。而由于
,当消费者的支付意愿不足以购买高端产品的时候,也就是V<Max
的时候,他们的支付意愿也一定小于
。我们已知只有那些对于高端产品的支付意愿处于区间
≤V<
的消费者才会选择购买低端产品,因此这些人不购买高端产品的人也一定不会购买低端产品。由于市场中没有低端产品的需求,产品线策略退化为只提供高端产品的单一产品策略。市场中,只有对于高端产品的支付意愿大于p H的消费者会购买高端产品,也就是说高端产品的市场需求DH等于(1-p H)。此时,企业的利润的目标函数为:
π=(p H-c)*DH=(p H-c)[1-p H]
通过对以上利润函数的优化,我们得到在这个连续市场中企业的最优产品定价为
=
,且企业的利润在这个价格下达到最大π*=
。由于我们还需要满足条件p H≤
,因此虽然低端产品没有购买者,但是其价格仍需要满足p L≥
。
其次,我们来讨论当p H<
的时候,企业的最优定价和最大利润又是什么。从条件p H<
我们可以得到p H>
,进而我们还得到
。由此,可以知道对高端产品的支付意愿大于
但小于1的消费者将会选择购买高端产品,而那些对高端产品的支付意愿小于
而大于
的消费者则会选择购买低端产品。这里我们发现有一部分对高端产品支付意愿大于高端产品价格p H的消费者仍然会选择购买低端产品,这主要是因为我们前边讨论过的价格自相蚕食效应。对于这些消费者,由于低端产品可以带来非负的效用,因此这部分效用的产生会蚕食掉一部分的高端产品市场,也就是一部分支付意愿高于p H的消费者。这种效应无论是在离散还是连续市场都是存在的。
基于以上分析,市场中高端产品的市场需求DH为
,而低端产品的市场需求DL为
。
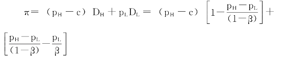
此时,企业的利润的目标函数为:
通过对以上利润函数的优化,我们得到在这个连续市场中企业的最优产品定价为
,且企业的利润在这个价格下达到最大π*=
。可以证明,在p H<
的情况下企业的利润π*=
要高于在p H≥
下的企业的利润π*=
。因此,企业的最优策略只能在p H<
的策略空间中。
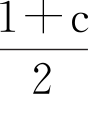
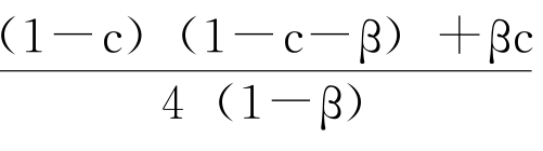
由于
=
,因此前提条件在此时已被满足。另外,逻辑上来说,作为高端产品,其边际利润p H-c应该高于低端产品的边际利润p L,否则企业就没有必要运营一个产品线,而只运营低端产品就好。当企业只运营低端市场的时候,根据与上面相同的分析,其最优的产品定价为
=
,企业的最优利润π*=
。所以,在连续市场中,产品线策略可以成为企业的最优策略的充分必要条件是: 1.
-c≥
;2.π*=
≥
。通过解这两个不等式,我们得到产品线策略可以成为企业的最优策略的充分必要条件是高端产品的成本足够小,c≤1-β。
现在,我们将横向比较基于离散市场假设和连续市场假设的结论,并分析这些结论是否具有一致性。在离散市场的产品线定价研究中,我们发现产品线策略只有在高端产品的成本比较适中,且低端消费者的数量足够大,的情况下才能成为企业的最优策略。而在连续市场中,这个条件变为高端产品的成本需要足够小,c≤1-β。但是,这并不能说明两个市场假设的结论不一致。首先,在离散市场中,我们发现高端产品的成本要大于一个下限的情况下,c≥V HL-V LL-
时,产品线策略才会优于只出售高端产品给全部高低端消费者的策略,而这个条件在连续市场中并不存在。这主要因为在连续市场中消费者的分布是连续的,高端产品或低端产品的消费者群体是相对于产品定价而存在的,企业可以通过调节高低端产品的价格来控制两类产品的市场需求,并不像在离散市场那样两类消费者群体是绝对的。或者说,在连续市场中并不存在绝对的高端消费者和低端消费者。因此,在这种情况下,原本离散市场中只出售高端产品给全部高低端消费者的策略和只出售高端产品给高端消费者的策略是没有本质区别的。在连续市场中,它们都退化为只提供高端产品给市场的策略。所以,原本的高端产品的成本要大于一个下限的条件在连续市场中并不存在。其次,在离散市场中,我们发现只有在低端消费者的相较于高端消费者的数量足够大的情况下,n L≥
时,产品线策略才会优于只出售高端产品给高端消费者的策略,而这个条件在连续市场中也不存在。这是因为在离散市场中高端消费者的数量n H是确定的,而在连续市场中,高低端消费者的群体是相对于产品的定价而存在的。此时,尽管引入低端产品会蚕食一部分高端产品的市场,但是通过提高高端产品的价格,企业可以弥补这部分的损失,而在离散市场中企业是无法做到这一点的,因为任何高于V HH的价格都会使高端产品的市场需求变为0。因此,在连续市场中我们发现产品线策略永远好于只出售高端产品的单一产品策略。
通过以上分析,我们得到在研究产品线定价的时候,使用离散市场假设还是连续市场假设从根本上并不存在矛盾,这与我们在单一产品市场的研究结果是一致的。这一节中,我分析和介绍了完全垄断市场的产品定价模型,在下一节中我将详细介绍寡头竞争市场的定价模型。
二、寡头竞争市场定价模型
在这节中,我们将主要分析双寡头在产品具有水平差异化和垂直差异化下竞争的定价模型。首先,我们定义一下产品水平差异化和垂直差异化。产品的水平差异化指的是寡头企业所运营的产品之间并没有质量上的差异,只有属性上的差异。对于消费者来说,这两个产品之间没有绝对的优劣,他们只是对差异属性的具有不同的偏好。这种属性上的差异一般会包括颜色、设计和地理位置等方面的差异。例如,两件质量相同但颜色不同的衬衫,一件是白色,另一件是深蓝色。由于两件衬衫的质量完全相同,因此消费者对颜色的偏好会导致他们对衬衫的偏好。那些喜欢白颜色的消费者对白衬衫更加偏好且具有比深蓝色衬衫更高的支付意愿。同理,那些喜欢深蓝颜色的消费者更愿意购买深蓝衬衫。另外,产品设计的差异也属于水平差异化,例如两个质量与功能相同但外观或设计不同的手机。还有一个经典的水平差异化例子就是经营相同或类似产品但是处于不同地点的商场,对于消费者来说这两个商场所提供的产品没有质量上的差异,但唯一的差异是它们的地点。由于交通通勤成本的存在,消费者会更偏好去距离他们更近的商场去购物,且他们对其经营的产品的支付意愿也更高。另一方面,产品的垂直差异化指的是寡头企业所运营的产品之间存在绝对的质量差别,而不仅仅是属性的差别。这种差异化的例子更加普遍,市场中定位于不同购买力消费者的企业都属于垂直产品差异化。例如,宝马公司定位于高端奢侈品汽车市场,而福特定位于中端消费者市场。宝马公司的汽车产品的质量和价格一般都高于福特公司的汽车产品。因此,相较于福特汽车,消费者都更喜欢和偏好宝马汽车,且在普遍情况下他们对宝马汽车的感知价值和支付意愿都高于福特汽车。另外,星级酒店也是一个很好的例子,消费者对五星级酒店的感知价值和支付意愿都高于四星级或三星级的酒店。由此,我们可以发现水平与垂直差异化的最大区别就是在水平差异化中不同的产品都会有偏好它的消费者,且当消费者更喜欢其中某一个产品的时候,就必然会疏远另一个产品;而在垂直差异化中所有的消费者对高质量或高端产品的喜好程度都高于低质量或低端产品,也就是说所有消费者一般都会严格偏好高端产品。下面我们就这两种不同的产品差异化的情形对寡头竞争市场的定价进行分析。
1.产品水平差异化双寡头竞争模型
在产品水平差异化竞争的研究中,一个非常著名的经典模型是Hotelling模型。这个模型是由美国著名统计及经济学家Harold Hotelling提出,并于1929年发表在顶级经济学期刊Economic Journal上。Hotelling模型在营销、运营管理和经济学中都有非常多的应用,每年有大量的研究和文章都是基于这个模型的思想。其中,我们在第四章中的水平差异市场的概率销售定价模型中就会用到Hotelling模型。下面,我们首先来介绍一下Hotelling基础模型的假设。
假设1:市场中存在两个竞争企业A与B,每个企业各生产一种产品给消费者。两个企业生产产品的边际成本均相等且固定为常数。
假设2:两个产品具有相同的质量,只是在产品属性上有差别,例如白衬衫和深蓝衬衫。
假设3:消费者对产品属性的偏好服从0~1的均匀分布,且两个产品分别位于均匀分布的两端。如图2所示,横坐标为产品的属性,且分散在从0到1区间上,企业A与企业B分别位于0与1的位置。消费者对不同属性的偏好服从0~1的均匀分布,换句话说偏好任何属于0到1之间的属性的消费者的密度f(x)如纵坐标所示恒等于1。以白蓝衬衫为例,企业A生产的是白衬衫,企业B生产的是深蓝衬衫,那么0与1的位置就代表白色和深蓝色,而任何介于0和1区间中的位置x代表消费者对颜色的偏好介于白色与深蓝色之间,也就是说此消费者最喜欢的颜色是一个介于白色与深蓝色之间的浅蓝色。当消费者的位置距离0比较近的时候,这个消费者对白颜色更加偏好,反之亦然。
假设4:市场中的每个消费者只会购买一个产品。
假设5:由于产品与消费者偏好之间会存在距离,消费者在购买产品的时候要支付与这个距离成正比例的“移动”成本。这里的“移动”并不总是代表实际的通勤成本,而是指当产品不能完全满足处于位置x的消费者的理想产品的时候,消费者对其支付意愿会下降。这个“移动”成本就是对这个支付意愿下降的数学描述。这里我们假设“移动”成本为t*(距离)2。例如,处于位置x的消费者如果选择购买企业A的产品,那么他就要付出tx2的“移动”成本,而如他选择购买企业B的产品,就要付出t(1-x)2的“移动”成本。
假设6:每个消费者对其理想产品的支付意愿相同,都为V,且V足够大。这里,支付意愿足够大的意思是市场中的所有消费者都会购买一个单位的产品。
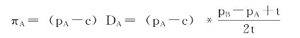
基于以上假设,我们来讨论两个企业的竞争及定价策略。两个企业通过对各自产品的定价p A与p B来竞争处于0到1区间中的消费者,而同时消费者也会根据两个企业的定价和相应的“移动”成本来决策到底购买哪个企业的产品。对于处于位置x的消费者,如果他选择购买企业A的产品,那么他可以获得的效用为U A=V-p A-tx2;同理,如果这个消费者选择购买企业B的产品,他将获得UB=V-p B-t (1-x)2的效用。消费者通过比较U A与UB来选择那个可以给他带来更大效用的企业的产品。
首先,我们先分析和计算在价格水平p A与p B的情况下,两个企业的市场需求,此时的p A与p B均为企业的决策变量。此时,那些通过选择企业A的产品可以获得更高效用的消费者将成为企业A的市场需求,这些人的位置应满足条件U A≥UB。解不等式U A≥UB我们得到所有处于位置x=
左边的消费者会购买企业A的产品,而那些处于位置x=
右边的消费者会购买企业B的产品。由于处于x=
这个位置上的消费者购买企业A和企业B的产品而获得的效用是相同的,我们称其为无差别点。因此,企业A的市场需求DA为
,而企业B的市场需求DB为1-
。
这样,企业A的利润函数为
企业B的利润函数为
企业A与企业B分别通过合理设定自己产品的价格p A与p B以实现各自利润的最大化。通过计算企业A的利润函数关于其价格p A的一阶条件
,我们得到条件p A=
这个条件代表对于企业B的任何定价p B,以利润最大化为目标的企业A的最优定价策略。同理,我们通过对企业B的利润函数求关于其价格p B的一阶条件
,我们得到条件p B=
。这个条件代表对于企业A的任何定价p A,以利润最大化为目标的企业B的最优定价策略。解关于p A与p B的方程组
,得到企业A与企业B的最优定价策略为
=
=t+c。
在这个最优定价策略下,企业A与企业B的市场需求均为
,也就是说两个企业均分了从0到1分布的消费者市场。其中位置处于区间
的消费者会选择购买企业A的产品,而处于区间
的消费者会选择购买企业B的产品。此时,两个企业的利润也分别得到了最大化,
=
=
。
一个有趣的推论是,当消费者的单位“移动”成本减小的时候,两个企业的最优价格会趋近于其边际成本c。特别的,当单位“移动”成本t等于0的时候,企业的最优价格等于c,且两个企业的利润均降为0。这是因为,“移动”成本的减少降低了消费者选择非理想产品的成本,也就是说两个产品的差异性降低了。由于差异性降低,两个产品变得越来越相似,且当t等于0的时候,两个产品变成完全相同。此时,产品间没有差异,两个企业间的竞争变成了Bertrand价格竞争,产品的价格退化为其成本,且两个企业都获得0利润。这说明Hotelling模型是具有很强的逻辑合理性的。
在上一段中,我们简单地介绍了基础Hotelling模型,在基础模型中两个企业A与B分别固定在产品属性水平的两端,此时他们的产品之间的差异性达到最大。一个更普遍的问题是,如果两个企业都可以主动地选择自己所处的位置,那么他们之间的竞争又会变成什么样子?此时,两个企业会分为两个步骤进行决策,他们首先会决策各自在产品属性坐标中所处的位置,然后再基于其各自的位置来决策其最优的产品价格策略。由于这个企业位置内生化Hotelling模型的逻辑与数学推导与基础模型类似,只是在无差别消费者的计算上要考虑两个企业的位置选择,我们这里就不再细述模型的推导过程了。企业位置内生化Hotelling模型的一些主要结论是:
1)当消费者的“移动”成本是其理想产品与实际产品在属性上的距离的二次函数的时候,t*(距离)2,两个企业会选择最大的差异化策略。也就是说企业A会选择定位于位置0的地方,而企业B会选择定位于位置1的地方。此时,两个产品之间的水平差异最大,且产品的定价策略与我们在基础模型的结论完全一样,也就是说企业A与企业B的最优定价策略均为
=
=t+c。这个结论从某种意义上也从理论上证明产品差异化战略的正确性。
2)当消费者的“移动”成本是其理想产品与实际产品在属性上的距离的线性函数(一次函数)的时候,t*(距离),两个企业会选择最小的差异化策略。也就是说企业A与企业B都会选择定位于0到1的产品属性区间的中间位置。此时,两个产品之间的水平差异最小,且企业A与企业B的最优定价策略均为
=
=c。两个企业间的竞争退化为Bertrand竞争,两个企业都获得0利润。
从以上的两个结论我们发现Hotelling模型有其正确合理的地方。但是另一方面,我们也发现,在不同的消费者“移动”成本的形式下,Hotelling模型的结论会完全相反,这说明模型的稳定性并不高,但Hotelling模型作为研究水平差异化市场竞争的经典模型还是非常成功的。
在这一节中,我们介绍了研究水平差异化市场竞争的Hotelling模型的基础模型和企业位置内生化模型。其实, Hotelling模型还有另外一个应用,就是它也可以用来分析垄断企业的水平差异产品的定价问题。简单说就是,当一个垄断企业同时运营两个具有水平差异的产品时,企业应该如何给每一个产品进行定价的问题。由于我们在第四章的水平差异市场的概率销售定价模型中还会对垄断企业的水平差异产品的定价问题进行详细分析,因此我们在这里就不再累述了。
2.产品垂直差异化双寡头竞争模型
与水平差异化不同,在垂直差异化的产品市场中,产品之间具有绝对的质量区别,且所有的消费者对高质量产品的偏好程度都严格地高于低质量产品。多伦多大学商学院的Moorthy教授在1988年的文章中详细地论述与分析了垂直差异化下两个运营不同质量产品的企业的竞争与定价模型。根据Moorthy的研究,我们在模型中进行如下假设:
假设1:市场中存在两个竞争企业A与B,每个企业各生产一种产品给消费者。
假设2:企业A的市场定位为高端市场,生产的是质量为q A的高端产品,企业B的市场定位为低端市场,生产的是质量为qB的低端产品,q A≥qB。且高端产品的价格p A大于低端产品的价格p B,p A≥p B。企业A生产产品的边际成本为c(c≥0),企业B生产产品的边际成本为0。
假设3:消费者对产品的质量偏好服从0~1的均匀分布。如图2所示,横坐标为消费者对产品质量的偏好,纵坐标为分布于不同质量偏好上的消费者的密度,f(s)=1。在横坐标上,s数值越高的消费者对产品质量的偏好越高,或者说这个消费者越喜欢高端产品。消费者对产品的支付意愿等于他的质量偏好与产品质量的乘积,sq。例如,消费者对于企业A生产的高端产品的支付意愿为VA=sq A,对于企业B生产的低端产品的支付意愿为VB=sqB。
假设4:消费者只会购买不多于一个产品,且会从两个产品中选择可以带来最大非负效用的产品。
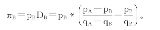
基于以上假设,我们来讨论两个企业的竞争及定价策略。两个企业通过对各自产品的定价p A与p B来竞争质量偏好处于0到1区间中的消费者,而同时消费者也会根据两个企业的定价来决策到底购买哪个企业的产品。对于质量偏好为s消费者,如果他选择购买企业A的产品,那么他可以获得的效用为U A=sq A-p A;同理,如果这个消费者选择购买企业B的产品,他将获得UB=sqB-p B的效用。消费者通过比较UA与UB来选择那个可以给他带来更大效用的企业的产品。
首先,我们先分析和计算在价格水平p A与p B的情况下,两个企业的市场需求,此时的p A与p B均为企业的决策变量。此时,那些通过选择企业B的产品可以获得更高且非负效用的消费者将成为企业B的市场需求,这些人的质量偏好s应满足条件UB≥U A和UB≥0。解不等式我们得到质量偏好处于区间
的消费者会购买企业B的产品。同样的,质量偏好s应满足条件U A≥UB和U A≥0的消费者会选择购买企业A的产品,解不等式我们得到质量偏好处于区间s≥Max
的消费者会购买企业A的产品。可以证明,在
的情况下企业B的市场需求为0,而企业B可以通过降价来改变条件
并获得市场份额。因此,通过解不等式
,我们得到企业A与企业B的产品定价要满足条件
。此时,企业A的市场需求DA为1-
,企业B的市场需求DB为
。
这样,企业A的利润函数为
企业B的利润函数为
企业A与企业B分别通过合理设定自己产品的价格p A与p B以实现各自利润的最大化。通过计算企业A的利润函数关于其价格p A的一阶条件
,我们得到条件p A=
。这个条件代表对于企业B的任何定价p B,以利润最大化为目标的企业A的最优定价策略。同理,我们通过对企业B的利润函数求关于其价格p B的一阶条件
,我们得到条件p B=
。这个条件代表对于企业A的任何定价p A,以利润最大化为目标的企业B的最优定价策略。解关于p A与p B的方程组
,得到企业A与企业B的最优定价策略为
=
且两个企业的最优利润为
和
同时,在此定价策略下,条件
与p A≥p B也被满足。
以上我们分析和讨论了在垂直差异化的产品市场中的双寡头竞争模型,并推导出两个企业的最优定价策略。这一章中我们介绍了完全垄断市场和寡头竞争市场的经典定价模型,在下一章中,我们将介绍并深入讨论营销定价领域的最新发展之一“概率销售定价策略”。
参考文献:
【1】Carlton,D.W.,&Perloff,J.M.(1990).Modern industrial organization(p.405).Scott,Foresman/Little,Brown Higher Education.
【2】Hotelling,H.(1990).Stability in competition(pp.50-63).Springer New York.
【3】Moorthy,K.S.(1988).Product and price competition in a duopoly.Marketing Science,7(2),141-168.
【4】Mussa,M.,&Rosen,S.(1978).Monopoly and product quality.Journal of Economic theory,18(2),301-317.
【5】Tirole,J.(1988).The theory of industrial organization.MIT press.