9.5 桩基础设计
桩基的设计与施工应综合考虑地质条件、上部结构类型、荷载特征、施工技术条件与环境、检测条件等因素,精心设计、精心施工。桩基础设计包括以下内容:
(1)选择桩的类型和几何尺寸;
(2)确定桩的承载力特征值;
(3)确定桩的数量、间距和平面布置;
(4)验算桩基承载力和沉降;
(5)桩身结构设计;
(6)承台设计;
(7)绘制桩基础施工图,提出施工说明。
在设计桩基础之前,必须掌握各种设计资料,如上部结构的类型、平面布置、荷载大小及性质、构造和使用上的要求,岩土工程勘察报告,施工单位的设备和技术条件,材料供应情况,施工现场及周围的环境条件及当地的用桩经验等。
9.5.1 桩的类型和几何尺寸的选择
1.桩的类型
桩型与工艺选择应根据建筑结构类型、荷载性质、桩的使用功能、穿越土层、桩端持力层土类、地下水位、施工设备、施工环境、施工经验、制桩材料供应条件等,选择经济合理、安全适用的桩型和成桩工艺。
(1)环境条件
在居民生活、工作区周围应当尽量避免使用锤击、振动法沉桩的桩型。当周围环境存在市政管线或危旧房屋,对挤土效应较敏感时,尽可能不使用挤土桩,如必须选用预制桩,可采用压桩法沉桩,并采取减小挤土效应的措施。
(2)结构荷载条件
荷载的大小是选择桩型时重要考虑的条件。受建筑物基础下布桩数量的限制,一般建筑层数越多,所需要的单桩承载力越高,对于预制小方桩、沉管灌注桩,受桩身穿越硬土层能力和机具施工能力的限制,不能提供很大的单桩承载力,因此仅适用于多层、小高层建筑;而对于大直径钻孔(扩底)灌注桩、钢管桩、嵌岩桩等几种桩型,可以提供很大的竖向、侧向单桩承载力,可满足超高层建筑和桥梁、码头的要求。
(3)地质、施工条件
桩型的选择要求所选定桩型在该地质条件下是可以施工的,施工质量是有保证的,能够最大限度地发挥地基和桩身的潜在能力。
不同的打入桩,穿越硬土层的能力是不一样的,工程实践表明,普通钢筋混凝土桩一般只能贯入N63.5≤50击的土层或强风化岩上部浅层;钢管桩可贯入N63.5≤100击的土层或强风化岩;而H型钢组合桩则可嵌入N63.5≤160击的风化岩。钻孔灌注桩如要进入卵石层或微风化基岩较大的深度也都可能给施工队伍现实的技术条件造成较大的障碍。
对于基岩或密实卵砾石层埋藏不深的情况,通常首先考虑桩的端承作用:采用夯扩桩,如地下水位较深或覆盖层渗透系数很低,可采用大直径挖孔扩底桩,如需采用钻孔灌注桩,可进而采用后压浆工艺。
当基岩埋藏很深时,则只能考虑摩擦桩或摩擦端承桩;但如果建筑物上部结构要求不能产生过大的沉降,应使桩端支承于具有足够厚度的性能良好的持力层(中密以上的厚砂层或残积土层),这可在静力触探曲线上做出正确判断。
不同的桩型有不同的工艺特点,成桩质量的稳定性也差异较大,一般预制桩的质量稳定性要好于灌注桩。
在自重湿陷性黄土地基中,宜采用干作业法的钻、挖孔灌注桩。桥梁、码头的水上桩基础宜采用预制桩和钻孔灌注桩。
(4)经济条件
桩型的最后选定还要看技术经济指标,技术经济指标除考虑工程桩在内的总造价外,还应包括承台(基础底板)的造价和整个桩基工程的施工工期,因为桩型也会影响筏板的厚度和工程桩的施工工期。如果某高层采用较低承载力的桩型,需要较多的桩数,满堂布桩,就要有比较厚的基础底板,将上部荷载传递给桩顶;如果采用高承载力的桩型,只需要较少的桩数,布置在墙下或柱下,Ζ 需要较薄的基础底板,承受基底的水浮力和土压力。此外,一般项目投资,都需要银行贷款,工期越长,投资回报越慢,因此缩短工期,也可以带来可观的经济效益,在各种桩型当中,预制桩的施工速度要快于钻孔灌注桩。
2.几何尺寸的选择
确定基桩几何尺寸也应综合考虑各种有关的因素。基桩几何尺寸受桩型的局限,选择桩型的一些影响因素,也影响基桩几何尺寸的确定。除此之外,还应考虑如下几个方面:
(1)同一结构单元宜避免采用不同桩长的桩
一般情况下,同一基础相邻桩的桩底标高差,对于非嵌岩端承型桩,不宜超过相邻桩的中心距。对于摩擦型桩,在相同土层中不宜超过桩长的1/10。
(2)选择较硬土层作为桩端持力层
根据土层的竖向分布特征,尽可能选定硬土层作为桩端持力层和下卧层,从而可初步确定桩长,这是桩基础要具备较好的承载变形特性所要求的。强度较高、压缩性较低的黏性土、粉土、中密或密实砂土、砾石土以及中风化或微风化的岩层,是常用的桩端持力层,如果饱和软黏土地基深厚,硬土层埋深过深,也可采用超长摩擦桩方案。
(3)桩端全断面进入持力层的深度
桩端全断面进入持力层的深度,对于黏性土、粉土不宜小于2d,砂土不宜小于1.5d,碎石类土不宜小于1d。当存在软弱下卧层时,桩基以下硬持力层厚度不宜小于4d。当硬持力层较厚且施工条件许可时,桩端全断面进入持力层的深度宜达到桩端阻力的临界深度;如果持力层较薄,下卧层土又较软,要谨慎对待下卧软土层的不利影响,这是桩端承载性能的深度效应决定的。嵌岩桩灌注桩周边嵌入完整和较完整的未风化、微风化、中风化硬质岩体的最小深度不宜小于0.5m。
(4)同一建筑物应该尽量采用相同桩径的桩基
一般情况下,同一建筑物应该尽量采用相同桩径的桩基,但当建筑物基础平面范围内的荷载分布很不均匀时,可根据荷载和地基的地质条件采用不同直径的基桩。各类桩型由于工程实践惯用以及施工设备条件限制等原因,均有其常用的直径,设计时要适当顾及。扩底灌注桩的扩底直径,不应大于桩身直径的3倍。
(5)考虑经济条件
当所选定桩型为端承桩而坚硬持力层又埋藏不太深时,尽可能考虑采用大直径(扩底)单桩;对于摩擦桩,则宜采用细长桩,以取得桩侧较大的比表面积,但要满足抗压能力的要求。
9.5.2 确定桩的承载力特征值
一般建筑桩基都承受竖向抗压荷载,需确定桩的竖向抗压承载力特征值,具体确定方法见本章第四节。
对高层建筑、港口码头,通常受风力、波浪力等作用,或考虑震动力作用,需确定桩的水平承载力特征值。
当地下结构的重量小于所受的浮力(如:地下车库、水池放空时),或高耸结构(如:输电塔等)受到较大的倾覆弯矩时,需要设置抗拔桩基础,对其进行设计,需确定桩的竖向抗拔承载力特征值。
桩的水平承载力特征值、竖向抗拔承载力特征值的确定方法可参见《建筑基桩检测技术规范》(JGJ106—2014)。
9.5.3 确定桩的数量、间距和平面布置
1.桩数估算
竖向轴心荷载和竖向偏心荷载作用下的桩数可按下式估算:
式中 Fk——相应于荷载效应标准组合时,作用于桩基承台顶面的竖向力,k N;
Ra——单桩竖向承载力特征值,k N;
ψG——考虑承台及其上土自重的增大系数,可取1.05~1.10;
ψn——考虑偏心荷载的增大系数,可取1.0~1.2,若仅为竖向轴心荷载作用,取1.0。
按估算的桩数进行布桩,然后进行桩基承载力验算,若不满足要求,则应重新估算,直至满足要求。
2.桩的中心距
摩擦型桩的中心距不宜小于桩身直径的3倍;扩底灌注桩的中心距不宜小于扩底直径的1.5倍,当扩底直径大于2m时,桩端净距不宜小于1m。在确定桩距时尚应考虑施工工艺中挤土等效应对邻近桩的影响。
3.桩的平面布置
在确定桩数、间距后可进行布桩,桩在平面上可分为行列式或梅花式布置,也可采用不等距布置,如图9-10所示。经验表明,桩的合理布置对发挥桩的承载力、减少建筑物的沉降量(特别是不均匀沉降量)至关重要。桩的布置原则是:
(1)宜使桩群形心与长期荷载重心重合,并使桩基受水平力和力矩较大方向有较大的抵抗矩;
(2)在有门洞的墙下布桩时,应将桩布置在门洞的两侧;对于桩箱基础,宜将桩布置于墙下;对于带梁(肋)桩筏基础,宜将桩布置于梁(肋)下;对于大直径桩宜采用一柱一桩。
图9-10 桩的平面布置示例
9.5.4 桩基承载力和沉降验算
1.承载力验算
轴心竖向力作用下
式中 Qk——相应于荷载效应标准组合轴心竖向力作用下任一单桩的竖向力,k N;
Gk——桩基承台自重及承台上土自重标准值,k N。
偏心竖向力作用下,除满足式(9-6)外,尚应满足下式
式中 Qkmax——相应于荷载效应标准组合偏心竖向力作用下单桩所受的最大竖向力,k N;
Mxk,Myk——相应于荷载效应标准组合作用于承台底面通过桩群形心的x,y轴的弯矩,k N·m;
xi,yi——桩i至桩群形心y,x轴线的距离,m;
xmax,ymax——受竖向力最大的桩至桩群形心y,x轴线的距离,m。
2.沉降验算
对以下建筑物的桩基应进行沉降验算:
(1)地基基础设计等级为甲级的建筑物桩基;
(2)体型复杂、荷载不均匀或桩端以下存在软弱土层的设计等级为乙级的建筑物桩基;
(3)摩擦型桩基。
桩基础的沉降不得超过建筑物的沉降允许值,并应符合第八章表8-4的规定。
计算桩基础沉降时,最终沉降量宜按单向压缩分层总和法计算:
式中 s——桩基最终计算沉降量,mm;
m——桩端平面以下压缩层范围内土层总数;
Esj,i——桩端平面下第j层土第i个分层在自重应力至自重应力加附加应力作用段的压缩模量,MPa;
nj——桩端平面下第j层土的计算分层数;
Δhj,i——桩端平面下第j层土的第i个分层厚度,m;
σj,i——桩端平面下第j层土第i个分层的竖向附加应力,k Pa,可分别按实体深基础布辛奈斯克(Bousinnesq)公式、明德林(Mindlin)公式计算;
ψp——桩基沉降计算经验系数,各地区应根据当地的工程实测资料统计对比确定。
按实体深基础计算桩底平面处的附加应力,其基底面积按图9-11采用。图9-11(a)考虑桩群侧阻力扩散计算基底面积,图9-11(b)不考虑桩群侧阻力扩散作用。实体深基础桩基沉降计算经验系数ψp应根据地区桩基础沉降观测资料及经验统计确定,在不具备条件时值可按表9-2选用。
图9-11 实体深基础的底面积
表9-2 实体深基础计算桩基沉降经验系数ψp
注: ①表内数值可内插。
②¯ES为变形计算深度范围内压缩模量的当量值,见式(3-11)。
9.5.5 桩身结构设计
1.桩和桩基的构造要求
(1)预制桩的混凝土强度等级不应低于C30;灌注桩不应低于C20;预应力桩不应低于C40。
(2)桩的主筋应经计算确定。打入式预制桩的最小配筋率不宜小于0.8%;静压预制桩的最小配筋率不宜小于0.6%;灌注桩最小配筋率不宜小于0.2%~0.65%(小直径桩取大值)。
(3)配筋长度:
①受水平荷载和弯矩较大的桩,配筋长度应通过计算确定。
②桩基承台下存在淤泥、淤泥质土或液化土层时,配筋长度应穿过淤泥、淤泥质土层或液化土层。
③坡地岸边的桩、8度及8度以上地震区的桩、抗拔桩、嵌岩端承桩应通长配筋。
④桩径大于600mm的钻孔灌注桩,构造钢筋的长度不宜小于桩长的2/3。
(4)桩顶嵌入承台内的长度不宜小于50mm。主筋伸入承台内的锚固长度不宜小于钢筋直径(Ⅰ级钢)的30倍和钢筋直径(Ⅱ级钢和Ⅲ级钢)的35倍。对于大直径灌注桩,当采用一柱一桩时,可设置承台或将桩和柱直接连接。桩和柱的连接可按高杯口基础的要求选择截面尺寸和配筋,柱纵筋插入桩身的长度应满足锚固长度的要求。
(5)在承台及地下室周围的回填中,应满足填土密实性的要求。
2.桩身结构强度计算
桩身结构强度验算需考虑整个施工阶段和使用阶段期间的各种最不利受力状态。在许多场合下,对于预制混凝土桩,在吊运和沉桩过程中所产生的内力往往在桩身结构计算中起到控制作用;而灌注桩在施工结束后才成桩,桩身结构设计由使用荷载确定。
1)桩身混凝土强度要求
桩身混凝土强度应满足桩的承载力设计要求。计算中应按桩的类型和成桩工艺的不同将混凝土的轴心抗压强度设计值乘以工作条件系数ψc。桩轴心受压时,桩身强度应符合下式要求:
Q≤Apfcψc(9-11)
式中 fc——混凝土轴心抗压强度设计值,k N,按现行《混凝土结构设计规范》(GB50010)取值;
Q——相应于荷载效应基本组合时的单桩竖向力设计值,k N;
Ap——桩身横截面积,m2;
ψc——工作条件系数,非预应力预制桩取0.75,预应力桩取0.55~0.65,灌注桩取0.6~0.8(水下灌注桩、长桩或混凝土强度等级高于C35时用低值)。
2)预制桩施工过程桩身结构计算
预制桩在施工过程中的最不利受力状况,主要出现在吊运和锤击沉桩时。
桩在吊运过程中的受力状态与梁相同。一般按两支点(桩长l<18m时)或三支点(桩长l>18m时)起吊和运输,在打桩架下竖起时,按一点吊立。吊点的设置应使桩身在自重下产生的正负弯矩相等,如图9-12所示。图中最大弯矩计算式中的q为桩单位长度的自重;k为反映桩在吊运过程中可能受到的冲撞和振动影响而采取的动力系数,一般取k=1.5。按吊运过程中引起的内力对上述配筋进行验算,通常情况下桩的吊运对其配筋起决定作用。
图9-12 预制桩的吊点位置及弯矩图
沉桩常用的有锤击法和静力压桩法两种。静力压桩法在正常的沉桩过程中,其桩身应力一般小于吊运运输过程和使用阶段的应力,故不必验算。
锤击法沉桩在桩身中产生了应力波的传递,桩身受到锤击压应力和拉应力的反复作用,需要进行桩身结构的动应力计算。对于一级建筑桩基、桩身有抗裂要求和处于腐蚀性土质中的打入式预制混凝土桩、钢桩,锤击压应力应小于桩材的轴心抗压强度设计值(钢材为屈服强度值),锤击拉应力值应小于桩身材料的抗拉强度设计值。计算分析和工程实践表明,预应力混凝土桩的主筋常取决于锤击拉应力。
桩内主筋通常都是沿着桩长均匀分布,一般设4根(截面边长a<300mm)或8根(a=350~550mm)主筋,主筋直径12~25mm。配筋率通过计算确定,一般为1%左右,最小不得低于0.8%。箍筋直径6~8mm,间距不大于200mm。
当桩身混凝土强度达到设计强度70%时方可起吊,达到100%时才能运输。
9.5.6 承台设计
1.承台构造要求
桩基承台的构造,除满足抗冲切、抗剪切、抗弯承载力和上部结构的要求外,尚应符合下列要求:
(1)承台的宽度不应小于500mm。边桩中心至承台边缘的距离不宜小于桩的直径或边长,且桩的外边缘至承台边缘的距离不小于150mm。对于条形承台梁,桩的外边缘至承台梁边缘的距离不小于75mm;
(2)承台的最小厚度不应小于300mm;
(3)承台的配筋,对于矩形承台其钢筋应按双向均匀通长布置(图9-13(a)),钢筋直径不宜小于10mm,间距不宜大于200mm;对于三桩承台,钢筋应按三向板带均匀布置,且最里面的三根钢筋围成的三角形应在柱截面范围内(图9-13(b))。承台梁的主筋除满足计算要求外,尚应符合现行《混凝土结构设计规范》(GB50010)关于最小配筋率的规定,主筋直径不宜小于12mm,架立筋不宜小于10mm,箍筋直径不宜小于6mm(图9-13(c));
柱下独立桩基承台的最小配筋率不应小于0.15%。钢筋锚固长度自边桩内侧(当为圆桩时,应将其直径乘以0.886等效为方桩)算起,锚固长度不应小于35倍钢筋直径,当不满足时应将钢筋向上弯折,此时钢筋水平段的长度不应小于25倍的钢筋直径,弯折段的长度不应小于10倍的钢筋直径。
(4)承台混凝土强度等级不应低于C20,纵向钢筋的混凝土保护层厚度不应小于70mm,当有混凝土垫层时,不应小于50mm;且不应小于桩头嵌入承台内的长度。
(5)承台之间的连接,应符合以下几条:
①单桩承台,应在两个互相垂直的方向上设置连系梁;
②两桩承台,应在其短向设置连系梁;
③有抗震要求的柱下独立承台,宜在两个主轴方向设置连系梁;
④连系梁顶面宜与承台位于同一标高。连系梁的宽度不应小于250mm,梁的高度可取承台中心距的1/10~1/15,且不小于400mm;
⑤连系梁的主筋应按计算要求确定。连系梁内上下纵向钢筋直径不应小于12mm且不应少于两根,并应按受拉要求锚入承台。
图9-13 承台配筋示意
2.承台设计计算
承台设计计算的内容包括承台内力计算、配筋和构造要求等。作为一种位于地下的钢筋混凝土构件,承台内力计算包括局部承压强度计算、冲切计算、斜截面抗剪计算和正截面抗弯计算等,必要时还要对承台的抗裂性甚至变形进行验算。在此主要介绍承台内力计算分析方法,当内力确定后,可按现行《混凝土结构设计规范》进行相应的配筋计算。
1)承台的正截面抗弯计算
将承台视作桩反力作用下的受弯构件进行计算。
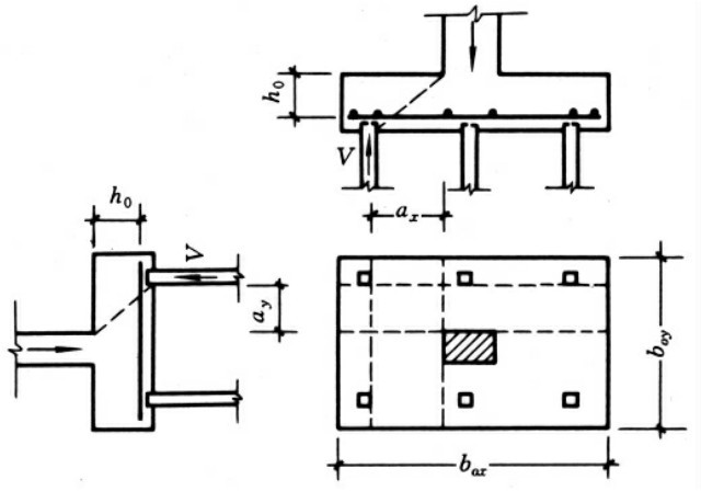
(1)柱下多桩矩形承台(图9-14(a))
计算截面取在柱边和承台高度变化处(杯口外侧或台阶边缘),按下式计算:
Mx=ΣNiyi(9-12a)
My=ΣNixi(9-12b)
式中 Mx,My——垂直y轴和x轴方向计算截面处的弯矩设计值,k N·m;
xi,yi——垂直y轴和x轴方向自桩轴线到相应计算截面的距离,m;
Ni——扣除承台和承台上土自重后相应于荷载效应基本组合时的第i桩竖向力设计值,k N。
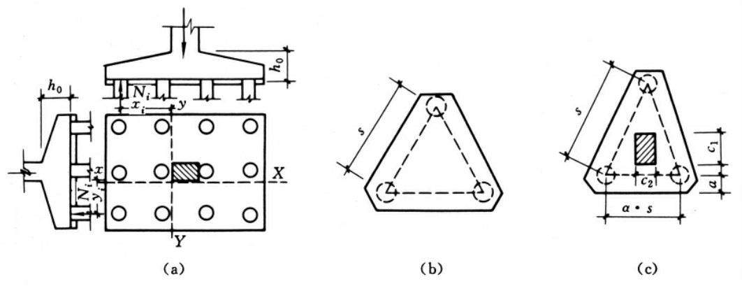
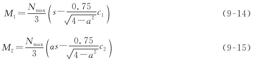
(2)柱下三桩承台
①等边三桩承台(图9-14(b))
式中 M——由承台形心至承台边缘距离范围内板带的弯矩设计值,k N·m;
Nmax——扣除承台和其上填土自重后的三桩中相应于荷载效应基本组合时的最大单桩竖向力设计值,k N;
s——桩距,m;
c——方柱边长,m,圆柱时取0.866d(d为圆柱直径)。
②等腰三桩承台(图9-14(c))
式中 M1,M2——分别为由承台形心到承台两腰和底边的距离范围内板带的弯矩设计值, k N·m;
s——长向桩距,m;
α——短向桩距与长向桩距之比,当α小于0.5时,应按变截面的二桩承台设计;
c1,c2——分别为垂直于、平行于承台底边的柱截面边长,m。
图9-14 承台弯矩计算示意
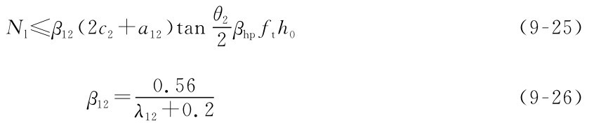
2)承台抗冲切计算
有两种情况:柱对承台冲切和角桩对承台冲切,相应从柱边、角桩边分别按不小于45°和45°向承台冲切,验算斜面混凝土抗拉强度。
(1)柱对承台的冲切(图9-15)
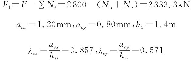
Fl≤2[βox(bc+aoy)+βoy(hc+aox)]βhpfth0(9-16)
Fl=F-ΣNi(9-17)
式中 Fl——扣除承台及其上填土自重作用,在冲切破坏锥体上相应于荷载效应基本组合的冲切力设计值,k N,冲切破坏锥体应采用自柱边或承台变阶处至相应桩顶边缘连线构成的锥体,锥体与承台底面的夹角不小于45°(图9-15);
ft——混凝土轴心抗拉强度设计值,k Pa;
h0——冲切破坏锥体有效高度,m;
βhp——受冲切承载力截面高度影响系数,当承台台阶高度h不大于800mm时,取1.0;当h≥2000mm时,取0.9;其间按线性内插法取用;
βox,βoy——冲切系数;
λox,λoy——冲跨比,λox=aox/h0、λoy=aoy/h0,aox和aoy为柱边或变阶处至桩边的水平距离;当aox(aoy)<0.25h0时,aox(aoy)=0.25h0;当aox(aoy)>h0时,aox (aoy)=h0;
F——柱根部轴力设计值,k N;
ΣNi——冲切破坏锥体范围内各桩的净反力设计值之和,k N;
hc,bc——柱截面边长,m。
图9-15 柱对承台冲切计算示意
图9-16 矩形承台角桩冲切计算示意
对中低压缩性土上的承台,当承台与地基土之间没有脱空现象时,可根据地区经验适当减小柱下桩基础独立承台受冲切计算的承台厚度。
(2)角桩对承台的冲切
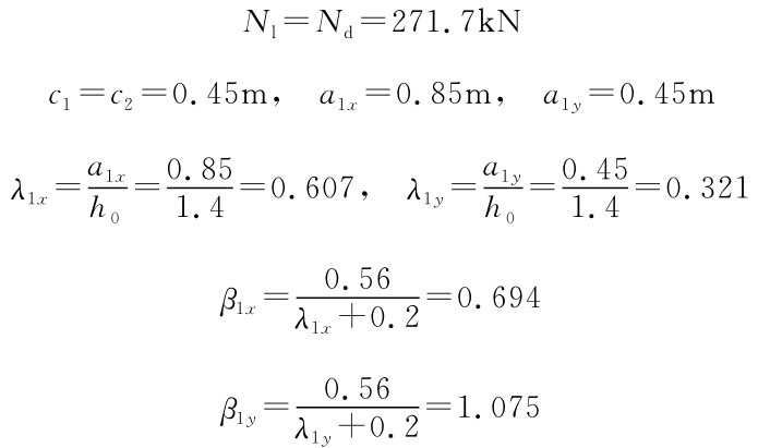
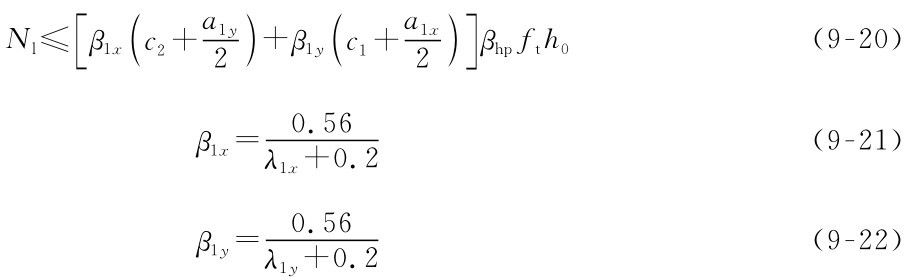
①多桩矩形承台(图9-16)
多桩矩形承台受角桩冲切的承载力应按下式计算:
式中 Nl——扣除承台和其上填土自重后的角桩桩顶相应于荷载效应基本组合时的竖向力设计值,k N;
β1x,β1y——角桩冲切系数;
λ1x,λ1y——角桩冲跨比,其值满足1.0~0.25
c1,c2——从角桩内边缘至承台外边缘的距离,m;
a1x,a1y——从承台底角桩内边缘引45°冲切线与承台顶面或承台变阶处相交点至角桩内边缘的水平距离,m;
h0——承台外边缘的有效高度,m。
②三桩三角形承台(图9-17)
三桩三角形承台受角桩冲切的承载力可按下列公式计算:
底部角桩
顶部角桩
式中λ11,λ12——角桩冲跨比,其值满足0.25~1.0
a11,a12——从承台底角桩内边缘向相邻承台边引45°冲切线与承台顶面相交点至角桩内边缘的水平距离,m;当柱位于该45°线以内时则取柱边与桩内边缘连线为冲切锥体的锥线。
对圆柱及圆桩,计算时可将圆形截面换算成正方形截面。
3.承台斜截面受剪计算(图9-18)
柱下桩基独立承台应分别对柱边和桩边、变阶处和桩边连线形成的斜截面进行受剪计算。当柱边外有多排桩形成多个剪切斜截面时,尚应对每个斜截面进行验算斜截面。受剪承载力可按下列公式计算:
图9-17 三角形承台角桩冲切计算示意
图9-18 承台斜截面受剪计算示意
式中 V——扣除承台及其上填土自重后相应于荷载效应基本组合时斜截面的最大剪力设计值,k N;
b0——承台计算截面处的计算宽度,m;对阶梯形和锥形承台,截面处的计算宽交于根据公式(8-34)—式(8-37)确定。
h0——计算宽度处的承台有效高度,m;
β——剪切系数;
βhs——受剪切承载力截面高度影响系数,按公式(8-46)计算;
λ——计算截面的剪跨比
,ax和ay为柱边或承台变阶处至x和y方向计算一排桩的桩边的水平距离,当λ<0.25时,取λ=0.25;当λ>3时,取λ=3。
截面处的计算宽度b0可根据第8章8.7节扩展基础的设计计算的内容确定。
4.承台局部受压计算
当承台的混凝土强度等级低于柱或桩的混凝土强度等级时,尚应按现行《混凝土结构设计规范》(GB50010)验算柱下或桩上承台的局部受压承载力:
N≤0.9fcAl(9-29)
式中 N——柱轴力设计值或桩顶反力设计值,k N;
fc——承台混凝土轴心抗压强度设计值,k Pa;
Al——柱截面面积,或桩顶截面面积,m2。
9.5.7 设计实例
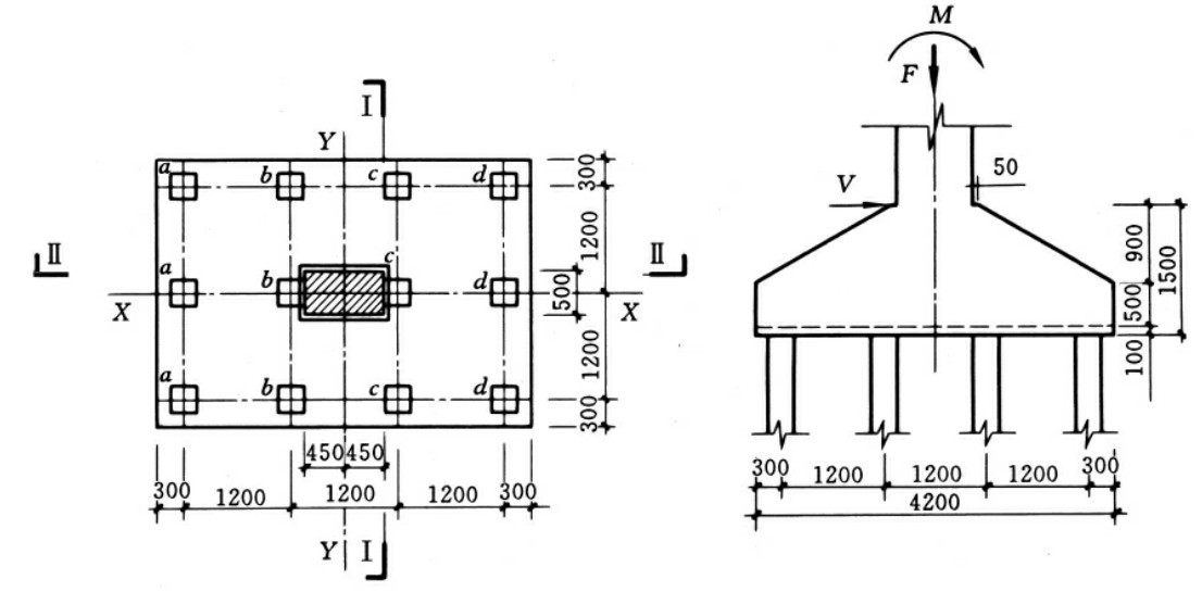
某工业厂房工程位于软土地区,采用桩基础。已知荷载效应标准组合和基本组合时,上部结构作用在桩基础顶面的荷载设计值为:轴力F=2800k N,弯矩M=400k N·m,剪力V=40k N。柱截面尺寸为900mm×500mm。根据勘察报告,各土层厚度及物理力学性质指标见表9-3,地下水位埋深1.8m。试设计该桩基础。
表9-3 各土层物理力学指标
1.选择桩型、确定桩长和截面尺寸
选用预制混凝土方桩,桩身混凝土强度等级为C30,截面尺寸300mm×300mm。根据土层分布,桩端宜进入粉质黏土层1.0m(>2d=600mm),确定承台埋深1.8m,则桩长为10.0m,如图9-19。
图9-19 桩深位置
图9-20 静载荷试验Q-s曲线
2.确定桩数和桩的平面布置
如图9-20所示为3根试桩静载荷试验Q-s曲线,根据9.3节内容,可以确定单桩极限承载力:Qu1=500k N,Qu2=550k N,Qu3=600k N。3根试桩极限承载力极差未超过平均值的30%,故取平均值Qum=550k N为单桩竖向抗压极限承载力,单桩竖向抗压承载力特征值Ra=Qum/2=275k N。
由下式估算桩数:
选择桩数n=12根。
摩擦型桩中心距不宜小于桩身直径(边长)的3倍,这里取4倍桩截面边长为1.20m,边距取0.3m。则承台面积3.0m×4.2m,并设承台高1.5m。桩的平面布置如图9-21所示。
图9-21 桩基承台示意图
3.桩基承载力验算
承台及其上土自重Gk=3.0×4.2×1.8×20=453.6k N。
轴心竖向力作用下单桩竖向力
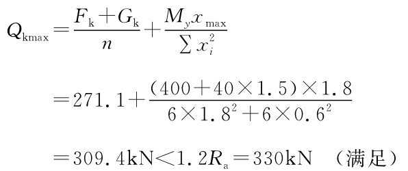
偏心竖向力作用下单桩最大竖向力
4.沉降验算
按布辛奈斯克公式计算附加应力,则桩基础沉降计算公式(9-10)可写为
上式中其他符号可见第三章地基变形计算中的有关内容。
按不考虑桩群侧阻力扩散,桩端附加应力p0等于承台底附加应力,即
沉降量计算结果列于表9-4中。
表9-4 沉降量计算表
压缩模量当量值
查表9-2,可取桩基沉降经验系数ψp=0.5,则
5.承台设计验算
采用锥形承台,承台高度1500mm,承台混凝土强度等级为C20,混凝土轴心抗拉强度ft=1.1MPa。钢筋选用HPB235钢筋,钢筋抗拉强度设计值fy=210MPa。承台底钢筋保护层厚度100mm,则承台有效高度h0=1500-100=1400mm。
(1)承台正截面抗弯计算和配筋
各桩净反力:
Ⅰ—Ⅰ截面弯矩:
MⅠ=ΣNixi=3Nd×1.35+3Nc×0.15=1211.1k N·m
Ⅱ—Ⅱ截面弯矩:
MⅡ=ΣNiyi=(Na+Nb+Nc+Nd)×0.95=886.7k N·m
长边方向配筋:
则承台长边方向选取18φ18@170(AsⅠ=4578.1mm2)
短边方向配筋:
则承台短边方向选取18φ16@220(AsⅡ=3617.3mm2)
(2)柱对承台的冲切验算
根据式(9-16)—式(9-19)验算柱对承台的冲切。
βhp采用线性插值取0.96,hc=0.9m,bc=0.5m
(3)角桩对承台的冲切验算
根据式(9-20)—式(9-22)验算角桩对承台的冲切。
(4)承台斜截面抗剪验算
根据式(9-27)、式(9-28)验算承台斜截面抗剪强度。
Ⅰ—Ⅰ面:
Ⅱ—Ⅱ截面: