1
土力学与基础工程
1.12.7 8.7 浅基础设计

8.7 浅基础设计

8.7.1 无筋扩展基础设计

由于▂ 扩展基础通常是由砖、块石、毛石、素混凝土、三合土和灰土等材料建造的,这些材料具有抗压强度高而抗拉、抗剪强度低的特点,所以在进行▂ 扩展基础设计时必须使基础主要承受压应力,并保证基础内产生的拉应力和剪应力都不超过材料强度的设计值。具体设计中主要通过对基础的外伸宽度与基础高度的比值进行验算来实现。同时,其基础宽度还应满足地基承载力的要求。

1.构造要求

根据建造材料的不同▂ 扩展基础又可分为混凝土和毛石混凝土基础、砖基础、毛石浆砌基础、灰土基础、石灰三合土基础等,在设计▂ 扩展基础时应按其材料特点满足相应的构造要求:

(1)混凝土和毛石混凝土基础。混凝土基础一般用C15以上的素混凝土做成。毛石混凝土基础是在混凝土基础中埋入25%~30%(体积比)的毛石形成,且用于砌筑的石块直径不宜大于30cm。

(2)砖基础。砖基础采用的砖强度等级应不低于MU10,砂浆不低于M5,在地下水位以下或地基土潮湿时应采用水泥砂浆砌筑。基础底面以下一般先做100mm厚的混凝土垫层,混凝土强度等级为C10或C7.5。

(3)毛石浆砌基础。毛石基础采用的材料采用未加工或仅稍作修整的未风化的硬质岩石,每级高度一般不小于20cm。当毛石形状不规则时,其高度应不小于15cm。浆砌砂浆不低于M5。

(4)灰土基础。灰土基础由熟化后的石灰和黏土按比例拌和并夯实而成。常用的配合比(体积比)有3∶7和2∶8,铺在基槽内分层夯实,每层虚铺22~25cm,夯实至15cm。其最小干密度要求为:粉土1550kg/m3,粉质黏土1500kg/m3,黏土1450kg/m3

(5)石灰三合土基础。石灰三合土基础由石灰、砂和骨料(矿渣、碎砖或碎石)加适量的水充分搅拌均匀后,铺在基槽内分层夯实而成。三合土的配合比(体积比)为1∶2∶4或1∶3∶6,在基槽内每层虚铺22cm,夯实至15cm。

2.设计计算

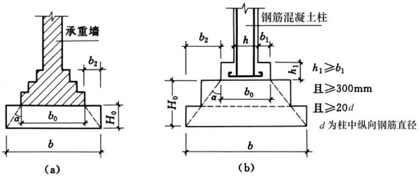
(1)初步选定基础高度H0。混凝土基础的高度H0不宜小于20cm,一般为30cm。对于石灰三合土基础和灰土基础,基础高度H0应为15cm的倍数。砖基础的高度应符合砖的模数。

(2)基础宽度b的确定(图8-19)。先根据地基承载力条件初步确定基础宽度。再按下列公式进一步验算基础的宽度:

b≤b0+2H0tanα(8-27)

式中 b——基础底面宽度,m;

b0——基础顶面的砌体宽度,m,如图8-19(a)和图8-19(b)所示;

H0——基础高度,m;

b2——基础台阶宽度,m;

tanα——基础台阶宽高比b2∶H0,α称为刚性角,其允许值可按表8-5选用。

如验算符合要求,则可采用原先选定的基础宽度和高度,否则应调整基础高度重新验算,直至满足要求为止。

图8-19 ▂ 扩展基础构造示意

(3)当▂ 扩展基础由不同材料叠合而成时,应对接触部分作抗压验算。

(4)对混凝土基础,当基础底面平均压力超过300k Pa时,尚应对台阶高度变化处的断面进行抗剪验算,验算公式如下:

Vs≤0.366ftA(8-28)

式中 Vs——相应于荷载效应基本组合时,地基土平均净反力产生的沿墙(柱)边缘或变阶处的剪力设计值,k N;

ft——混凝土轴心抗拉强度设计值,k Pa;

A——沿墙(柱)边缘或变阶处基础的垂直截面面积,m2

表8-5 无筋扩展基础台阶宽高比的、 值

注: 表中pk为荷载效应标准组合时基础底面处的平均压力值,k Pa。

图8-20

[例8-4] 某承重砖墙混凝土基础的埋深为1.5m,如图8-20所示,上部结构传来的轴向压力Fk=200k N/m。持力层为粉质黏土,其天然重度γ=17.5k N/m3,承载力特征值fa=178k Pa,地下水位在基础底面以下。试设计此基础。

解 (1)初步确定基础宽度

b≥Fk=200 fa-γGd=1.35m 178-20×1.5

初步选定基础宽度为1.40m。

(2)基础剖面设计

初步选定基础高度H0=0.3m。大放脚采用标准砖砌筑,每皮宽度b1=60mm,h1=120mm,共砌5皮,大放脚的底面宽度b0=240+2×5×60=840mm,见图8-20。

(3)按台阶的宽高比要求验算基础的宽度

基础采用C10素混凝土砌筑,而基底的平均压力为

Fk+Gk pk=200+20×1.4×1.5 A = =172.8k Pa 1.4×1.0

查表8-5得台阶的允许宽高比tanα=b2/H0=1.0,于是

b≤b0+2H0tanα=0.84+2×0.3×1.0=1.44m

取基础宽度为1.40m满足设计要求。

8.7.2 扩展基础设计

扩展基础系指柱下钢筋混凝土独立基础和墙下钢筋混凝土条形基础。墙下钢筋混凝土条形基础的内力计算一般可按平面应变问题处理,在长度方向可取单位长度计算。截面设计验算的内容主要包括基础底面宽度b和基础的高度h及基础底板配筋等。基底宽度应根据地基承载力要求确定,基础高度由混凝土的抗剪切条件确定,基础底板的受力钢筋配筋则由基础验算截面的抗弯能力确定。在确定基础底面尺寸或计算基础沉降时,应考虑设计地面以下基础及其上覆土重力的作用,而在进行基础截面设计(基础高度的确定、基础底板配筋)中,应采用不计基础与上覆土重力作用时的地基净反力pj计算。

1.扩展基础的构造要求

(1)锥形基础的边缘高度不宜小于200mm,且两个方向的坡度不宜大于1∶3;阶梯形基础的每阶高度宜为300~500mm;

(2)垫层的厚度不宜小于70mm;垫层混凝土强度等级不宜低于C10;

(3)扩展基础受力钢筋最小配筋率不应小于0.15%,受力钢筋最小配筋率不应小于0.15%,底板受力钢筋的最小直径不应小于10mm;间距不应大于200mm,也不应小于100mm。墙下钢筋混凝土条形基础纵向分布钢筋的直径不应小于8mm;间距不应大于300mm;每延米分布钢筋的面积应不小于受力钢筋面积的1/10。当有垫层时钢筋保护层的厚度不应小于40mm;无垫层时不应小于70mm;

(4)混凝土强度等级不应低于C20;

(5)当柱下钢筋混凝土独立基础的边长和墙下钢筋混凝土条形基础的宽度大于或等于2.5m时,底板受力钢筋的长度可取边长或宽度的0.9倍,并宜交错布置(图8-21(a));

(6)钢筋混凝土条形基础底板在T形及十字形交接处,底板横向受力钢筋仅沿一个主要受力方向通长布置,另一方向的横向受力钢筋可布置到主要受力方向底板宽度1/4处(图8-21(b))。在拐角处底板横向受力钢筋应沿两个方向布置(图8-21(c))。

图8-21 扩展基础底板受力钢筋布置示意

2.扩展基础的设计计算

1)基础底面尺寸

按本章第五节有关内容确定。在墙下条形基础相交处,不应重复计入基础面积。

2)受冲切承载力验算

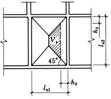
对柱下独立基础,当冲切破坏锥体落在基础底面以内时,应按下列公式验算柱与基础交接处以及基础变阶处混凝土的受冲切承载力:

Fl≤0.7βhpftamh0(8-29)

am=(at+ab) 2 (8-30)

Fl=pjAl(8-31)

式中 Al——冲切验算时取用的部分基底面积,m2(图8-22(a)、(b)中ABCDEF的阴影面积,或图8-22(c)中的阴影面积ABCD);

Fl——相应于荷载效应基本组合时作用在Al上的地基土净反力设计值,k N;

βhp——受冲切承载力截面高度影响系数,当基础高度h不大于800mm时,取1.0;当h大于等于2000mm时,取0.9,其间按线性内插法取用;

ft——混凝土轴心抗拉强度设计值,k Pa;

h0——基础冲切破坏锥体的有效高度,m;

am——冲切破坏锥体最不利一侧计算长度,m;

at——冲切破坏锥体最不利一侧斜截面的上边长,m,当计算柱与基础交接处的受冲切承载力时,取柱宽;当计算基础变阶处的受冲切承载力时,取上阶宽,m;

ab——冲切破坏锥体最不利一侧斜截面在基础底面积范围内的下边长,m,当冲切破坏锥体的底面落在基础底面以内(图8-22(a)、(b)),计算柱与基础交接处的受冲切承载力时,取柱宽加两倍基础有效高度;当计算基础变阶处的受冲切承载力时,取上阶宽加两倍该处的基础有效高度。当冲切破坏锥体的底面在l方向落在基础底面以外,即a+2h0≥l时(图8-22(c)),ab=l;

pj——扣除基础自重及其上土重后相应于荷载效应基本组合时的地基土单位面积净反力,k Pa,对偏心受压基础可取基础边缘处最大地基土单位面积净反力。

3)受剪承载力验算

对基础底面短边尺寸小于或等于柱宽加两倍基础有效高度的柱下独立基础以及墙下条形基础,应验算柱(墙)与基础交接处或变阶处的受剪承载力。

(1)柱下独立基础

柱下独立基础按下列公式验算柱与基础交接处或变阶处的受剪承载力:

Vs≤0.7βhsftA0(8-32)

βhs=(800/h01/4(8-33)

式中 Vs——相应于作用的基本组合时,柱与基础交接处的剪力设计值,k N,图8-23中的阴影面积乘以基底平均净反力;

1—冲切破坏锥体最不利一侧的斜截面;2—冲切破坏锥体的底面线

图8-22 计算阶形基础的受冲切承载力截面位置

βhs——受剪切承载力截面高度影响系数,当h0<<800mm时,取h0=800mm;当h0>2000mm时,取h0=2000mm;

A0——验算截面处基础的有效截面面积,m2。当验算截面为阶梯形或锥形时,可将其截面折算成矩形截面。

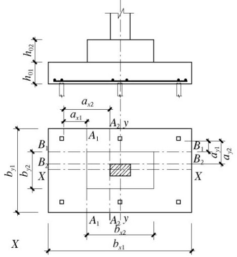
对于阶梯形承台,应分别在变阶处(A1—A1、B1—B1)及柱边处(A2—A2、B2—B2)进行斜截面受剪计算(图8-24)。计算变阶处截面A1—A1、B1—B1的斜截面受剪承载力时,其截面的有效高度均为h01,截面计算宽度分别为by1与bx1。计算柱边截面A2—A2和B2—B2处的斜截面受剪承载力时,其截面有效高度均为h01+h02,截面计算宽度按下式计算:

对A2—A2

by1·b01+by2·h02 by0=h01+h02 (8-34)

对B2—B2

bx1·h01+bx2·h02 bx0=h01+h02 (8-35)

对于锥形承台,应对A—A和B—B两个截面进行受剪承载力计算(图8-25)。截面的有效高度为h0,截面的计算宽度按下式计算:

对A—A

by2 by1 (h01-[by0=1-0.5 h1 by1])(8-36)

对B—B

(h01-[bx0=1-0.5 h1bx2 bz1 bx1])(8-37)

(2)墙下条形基础

墙下条形基础应按式(8-32)验算墙与基础底板交接处截面受剪承载力,其中,A0为验算截面处基础底板的单位长度垂直截面有效面积,Vs为墙与底板交接处由基底平均净反力产生的单位长度剪力设计值。

图8-23 验算阶梯形基础受剪切承载力示意

图8-24 阶梯形承台斜截面受剪计算

图8-25 锥形承台受剪计算

4)扩展基础底板配筋

在轴心荷载或单向偏心荷载作用下,底板受弯,可按下列简化方法计算任意截面的弯矩:

(1)对于柱下矩形独立基础,当台阶的宽高比小于或等于2.5且偏心距小于或等于1/6基础宽度时,任意截面的底板弯矩可按下列公式计算(图8-26):

MⅠ=1 12 a21[(2l+a′)(2G pmax+p-)A+(pmax-p)]

MⅠ=1 12 a21[(2l+a′)(pjmax+pj)+(pjmax-pj)l](8-38)
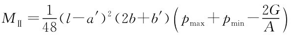
MⅡ=1(l-a′)2( 48 2b+b′)(2G pmax+pmin-)A

MⅡ=148 (l-a′)2(2b+b′)(pjmax+pjmin)(8-39)

式中 M,M——任意截面Ⅰ-Ⅱ、Ⅱ-Ⅲ处相应于荷载效应基本组合时的弯矩设计值, k N·m;

a1——任意截面Ⅰ-Ⅰ至基底边缘最大反力处的距离,m;

l,b——基础底面的边长,m;

pmax,pmin——相应于荷载效应基本组合时的基础底面边缘最大和最小地基反力设计值,k Pa;

pjmax,pjmin——相应于荷载效应基本组合时的基础底面边缘最大和最小地基净反力设计值,k Pa;

p——相应于荷载效应基本组合时在任意截面Ⅰ-Ⅰ处基础底面地基反力设计值,k Pa;

pj——相应于荷载效应基本组合时在任意截面Ⅰ-Ⅰ处基础底面地基净反力设计值,k Pa;

G ——考虑荷载分项系数的基础自重及其上的土自重,k N;当组合值由永久荷载控制时,G=1.35Gk,Gk为基础及其上土的标准自重。

(2)对于墙下条形基础任意截面的弯矩(图8-27),可取l=a′=1m按式(8-38)进行计算,其最大弯矩截面的位置应符合下列规定:①当墙体材料为混凝土时,取a1=b1;②如为砖墙且放脚不大于1/4砖长时,取a1=b1+1/4砖长。

图8-26 矩形基础底板的计算示意

图8-27 墙下条形基础的计算示意

按《建筑地基基础设计规范》(GB50007—2011)的有关规定,基础底板受力钢筋面积可按式(8-40)确定:

As= M 0.9h0fy (8-40)

式中 M——截面弯矩,k N·m;

As——垂直截面基础底板受力钢筋面积,m2

fy——钢筋抗拉强度设计值,k Pa。

《建筑地基基础设计规范》(GB50007—2011)规定,当柱下独立基础底面长短边之比ω在2≤ω≤3时,基础底边短向钢筋应按下述方法布置:将短向全部钢筋面积乘以λ后求得的钢筋,均匀分布在与柱中心线重合的宽度等于基础短边的中间带范围内(图8-28),其余的全部短向钢筋则均匀地分布在中间带宽的两侧。长向配筋应均匀分布在基础全宽范围内。λ按式(8-41)计算:

ω 6 λ=1- (8-41)

规范这一规定是考虑基础底面长边与短边之比在上述规定范围内时,基础底板仍具有双向受力作用,但长向的两端区域对底板短向受弯承载力的作用相对较小,因此,在布置短向钢筋时应考虑各区域钢筋受力分布情况。

1-λ倍短向全部钢筋面积均匀配置在阴影范围内

图8-28 基础底板短向钢筋布置示意

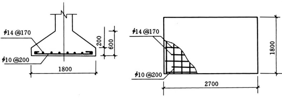
[例8-5] 某柱下扩展基础,基础高600mm,基础底面尺寸b×l=2.7m×1.8m,柱截面尺寸b0×l0=0.6m×0.4m,传至基础顶面竖向荷载基本组合值F=820k N,力矩基本组合值M=150k N·m,试验算设计该扩展基础。

解 (1)基底净反力计算

pjmax pjmin=F6M8206×150 ± lbbl2= ± 1.8×2.71.8×2.72=168.7±68.6=237.3k Pa 100.1k Pa

(2)抗冲切承载力验算

取保护层厚度80mm,则基础有效高度h0

h0=600-80=520mm

偏心荷载作用下,冲切破坏发生于最大基底反力一侧,由图8-22(a),冲切验算基底面积Al

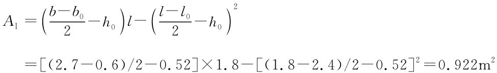
2 ( Al=b-b0-h0)l-(l-l0 2-h0)2=[(2.7-0.6)/2-0.52]×1.8-[(1.8-2.4)/2-0.52]2=0.922m2

作用在Al上的地基土净反力设计值Fl

Fl=pjmaxAl=237.3×0.922=218.8k N

因基础高度小于800mm,取βhp=1.0。采用C20混凝土,其抗拉强度设计值ft为1.1MPa。

柱于基础交接处抗冲切验算:

0.7βhpftamh0=0.7×1.0×1.1×103×(0.40+0.52)×0.52=368k N>Fl(满足)

基础高度满足要求。选用锥形基础,基础剖面如图8-29所示。

图8-29 例题8-5图

(3)受剪承载力验算

本题基础底面短边尺寸为1.8m,大于柱宽加两倍基础有效高度1.42m,故不作柱与基础交接处的受剪承载力验算。

(4)基础底板配筋计算

如图8-26所示,验算柱边缘处截面Ⅰ—Ⅰ、Ⅱ—Ⅱ,则

b′=b0=600mm,a′=l0=400mm a1=(b-b0) 2 =(2700-600)=1050mm 2

Ⅰ—Ⅰ截面处:

pjmax-pjm  pj=pjmax-la1in=237.3-(237.3-100.1)×1.05/2.7=183.9k Pa  MⅠ=1 12 a21[(2l+a′)(pjmax+pj)+(pjmax-pj)l]=1×1.052[(2×1.8+0.4)×(237.3+183.9)+(237.3-183.9)×1.8] 12=163.6k N·m

Ⅱ—Ⅱ截面处:

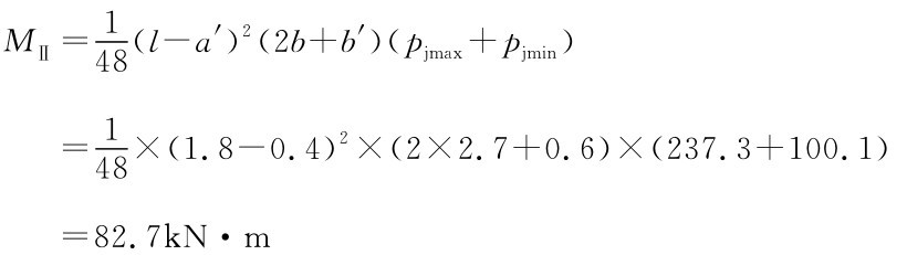
MⅡ=148 (l-a′)2(2b+b′)(pjmax+pjmin)=1×(1.8-0.4)2×(2×2.7+0.6)×(237.3+100.1) 48=82.7k N·m

选取钢筋等级为HPB235级,fy=210MPa,则

AsⅠ= MⅠ0.9×210×520 ×106=1664.6mm29fyh0=.0 163.6

则基础长边方向选取11φ14@170(As I=1692mm2),该层钢筋铺在基础底面,保护层厚度80mm。

短边方向钢筋拟铺在长边方向钢筋之上,故计算短边方向钢筋面积AsⅡ时取有效高度为h0-d,d为底层长边方向钢筋直径。

AsⅡ= MⅡ0.9fy(h0-d)= 82.70.9×210×(520-14)×106=864.8mm2

则基础短边方向选取14φ10@200(AsⅡ=1099mm2)。

钢筋布置如图8-29所示。

8.7.3 柱下条形基础设计

柱下条形基础在其纵、横两个方向均产生弯曲变形,故在这两个方向的截面内均存在剪力和弯矩。柱下条形基础的横向剪力与弯矩通常可考虑由翼板的抗剪、抗弯能力承担,其内力计算与墙下条形基础相同。柱下条形基础纵向的剪力与弯矩一般则由基础梁承担,基础梁的纵向内力通常可采用简化法(直线分布法)或弹性地基梁法计算。

1.柱下条形基础构造要求

柱下条形基础的构造,除满足扩展基础的构造要求外,尚应满足下列规定:

(1)柱下条形基础梁的高度宜为柱距的1/8~1/4。翼板厚度不应小于200mm。当翼板厚度大于250mm时,宜采用变厚度翼板,其顶面坡度宜小于或等于1∶3。

(2)条形基础的端部宜向外伸出,其长度宜为第一跨距的0.25倍。

图8-30 现浇柱与条形基础梁交接处平面尺寸

(3)现浇柱与条形基础梁的交接处,在条形基础相交处,不应重复计入基础面积。

(4)条形基础梁顶部和底部的纵向受力钢筋除满足计算要求外,顶部钢筋按计算配筋全部贯通,底部通长钢筋不应少于底部受力钢筋截面总面积的1/3。

(5)柱下条形基础的混凝土强度等级不应低于C20。

2.柱下条形基础的设计计算

基础底面尺寸按本章第五节有关内容确定,在条形基础相交处,不应重复计入基础面积。条形基础梁内力可按连续梁和弹性地基梁计算。

(1)按连续梁计算

这是计算条形基础梁内力的常用方法,适用于地基比较均匀,上部结构刚度较大,荷载分布较均匀,且条形基础梁的高度不小于1/6柱距的情况。地基反力可按直线分布计算条形基础的内力可按连续梁计算,此时边跨跨中弯矩及第一内支座的弯矩值宜乘以1.2的系数。

因基础自重不引起内力,采用基底净反力计算内力,并据此进行配筋。两端边跨应增加受力钢筋,且上下均匀配置。

(2)按弹性地基梁计算

当上部结构刚度不大,荷载分布不均匀,且条形基础梁高小于1/6柱距时,地基反力不按直线分布,可按弹性地基梁计算内力。

通常采用文克尔(Winkler)弹性地基模型求解反力,其假设地基上任一点所受的压应力p与该点的地基沉降s成正比,即

p=ks(8-42)

式中,k为基床系数,k N/cm3

k值的大小与地基土土性、基础底面尺寸大小和形状以及基础荷载和刚度等因素有关,宜根据实际条件由现场载荷试验确定;

如无载荷试验资料,可按表8-6选用。

在软弱地基或地基压缩层很薄的情况下,按上述方法计算可得到满意的效果。

表8-6 基床系数k的经验值

8.7.4 筏板基础

筏形基础分为梁板式和平板式两种类型,其选型应根据工程地质、上部结构体系、柱距荷载大小以及施工条件等因素确定。

1.筏板基础的构造要求

(1)筏形基础的混凝土强度等级不应低于C30。当有地下室时应采用防水混凝土,防水混凝土的抗渗等级应根据地下水的最大水头与防渗混凝土厚度的比值,按现行《地下工程防水技术规范》(GB50108—2008)选用,但不应小于0.6MPa。必要时宜设架空排水层;

(2)采用筏形基础的地下室,地下室钢筋混凝土外墙厚度不宜小于250mm,内墙厚度不宜小于200mm。墙的截面设计除满足承载力要求外,尚应考虑变形、抗裂及外墙防渗等要求。墙体内应设置双面钢筋,钢筋不宜采用光面圆钢筋,水平钢筋的直径不应小于12mm,竖向钢筋的直径不应小于10mm,间距不应大于200mm;

(3)地下室底层柱、剪力墙与梁板式筏基的基础梁连接的构造应符合下列要求:

① 柱、墙的边缘至基础梁边缘的距离不应小于50mm(图8-30)。

② 当交叉基础梁的宽度小于柱截面的边长时,交叉基础梁连接处应设置八字角,柱角与八字角之间的净距不宜小于50mm(图8-31(a))。

③ 单向基础梁与柱的连接,可按图8-31(b)、(c)采用。

④ 基础梁与剪力墙的连接,可按图8-31(d)采用。

图8-31 地下室底层柱或剪力墙与基础梁连接的构造要求

1—高层建筑;2—裙房及地下室;3—室外地坪以下用粗砂填实;4—后浇带

图8-32 高层建筑与裙房间的沉降缝、后浇带处理

(4)高层建筑筏形基础与裙房基础之间的构造应符合下列要求:

①当高层建筑与相连的裙房之间设置沉降缝时,高层建筑的基础埋深至少应大于裙房基础埋深2m。地面以下沉降缝的缝隙应用粗砂填实(图8-32(a))。

②当高层建筑与相连的裙房之间不设置沉降缝时,宜在裙房一侧设置用于控制沉降差的后浇带,当沉降实测值和计算确定的后期沉降差满足设计要求后,方可进行后浇带混凝土浇筑。当高层建筑基础面积满足地基承载力和变形要求时,后浇带宜设在与高层建筑相邻裙房的第一跨内。当需要满足高层建筑地基承载力、降低高层建筑沉降量、减小高层建筑与裙房间的沉降差而增大高层建筑基础面积时,后浇带可设在距主楼边柱的第二跨内,此时应满足以下条件:a.地基土质较均匀;b.裙房结构刚度较好且基础以上的地下室和裙房结构层数不少于两层;c.后浇带一侧与主楼连接的裙房基础底板厚度与高层建筑的基础底板厚度相同(图8-32b)。

③当高层建筑与相连的裙房之间不允许设置沉降缝和后浇带时,高层建筑及与其紧邻一跨裙房的筏板应采用相同厚度,裙房筏板的厚度宜从第二跨裙房开始逐渐变化,应同时满足主、裙楼基础整体性和基础板的变形要求;应进行地基变形和基础内力的验算,验算时应分析地基与结构间变形的相互影响,并采取有效措施防止产生有不利影响的差异沉降。

2.筏板基础的设计计算

(1)梁板式筏板基础的内力计算

梁板式筏基底板除计算正截面受弯承载力外,其厚度尚应满足受冲切承载力、受剪切承载力的要求。

底板受冲切承载力按下式计算:

Fl≤0.7βhpftumh0(8-43)

式中 Fl——作用的基本组合时,图8-33中阴影部分面积上的地基土平均净反力设计值,k N;

um——距基础梁边h0/2处冲切临界截面的周长,m(图8-33)。

当底板区格为矩形双向板时,底板受冲切所需的厚度h0按下式计算,其底板厚度与最大双向板格的短边净跨之比不应小于1/14,且板厚不应小于400mm。

h0=14fthp.7βpj+0■4pjln1ln2(ln1+ln2)- (ln1+ln2)2-[](8-44)

式中 ln1,ln2——计算板格的短边和长边的净长度,m;

pj——扣除底板及其上填土自重后,相应于荷载效应基本组合的地基土平均净反力设计值,k Pa。

底板斜截面受剪承载力应符合下式要求:

Vs≤0.7βhsft(ln2-2h0)h0 βhs=h(800 )00.25 (8-45) (8-46)

式中 Vs——距梁边缘h0处,作用在中阴影部分面积(图8-34)上的地基土平均净反力产生的剪力设计值,k N;

βhs——受剪切承载力截面高度影响系数,当按公式(8-46)计算时,板的有效高度h0小于800mm时,取800mm;h0大于2000mm时,取2000mm。

(2)平板式筏板基础的内力计算

平板式筏基的板厚应满足受冲切承载力的要求。计算时应考虑作用在冲切临界面重心上的不平衡弯矩产生的附加剪力。对基础边柱和角柱进行计算时,其冲切力应分别乘以1.1和1.2的增大系数。距柱边h0/2处冲切临界截面的最大剪应力τmax应按下列公式计算(图8-35)。板的最小厚度不应小于500mm。

图8-33 底板冲切计算示意

图8-34 底板剪切计算示意

图8-35 内柱冲切临界截面

Flc AB τmax=Isumh0+asMunb(8-47) τmax≤0)sβhpft.21 β (.70.4+ (8-48) as=1- 1(8-49) c1 c■23 1+2

式中 Fl——相应于荷载效应基本组合时的冲切力,k N,对内柱取轴力设计值减去筏板冲切破坏锥体内的基底净反力设计值;对边柱和角柱,取轴力设计值减去筏板冲切临界截面范围内的基底净反力设计值;

um——距柱边缘不小于h0/2处冲切临界截面的最小周长,m;

h0——筏板的有效高度,m;

Munb——作用在冲切临界截面重心上的不平衡弯矩设计值,k N·m;

c AB——沿弯矩作用方向,冲切临界截面重心至冲切临界截面最大剪应力点的距离,m;

Is——冲切临界截面对其重心的极惯性矩,m4

βs——柱截面长边与短边的比值,当βs<2时取2,当βs>4时取4;

βhp——受冲切承载力截面高度影响系数,当h≤800mm时,取βhp=1.0;当h≥2000mm时,取βhp=0.9,其间按现行内插法取值;

ft——混凝土轴心抗拉强度设计值,k Pa;

c1——与弯矩作用方向一致的冲切临界截面的边长,m;

c2——垂直于c1的冲切临界截面的边长,m;

as——不平衡弯矩通过冲切临界截面上的偏心剪力来传递的分配系数。

当柱荷载较大,等厚度筏板的受冲切承载力不能满足要求时,可在筏板上面增设柱墩或在筏板下局部增加板厚或采用抗冲切箍筋来提高受冲切承载能力。

由抗剪与抗冲切强度验算方法确定筏板厚度,再由抗弯强度验算确定筏板的纵向与横向配筋量。对含基础梁的筏板基础,其基础梁的计算及配筋可采用与条形基础梁相同的方法进行。

8.7.5 箱形基础

箱形基础一方面承受上部结构传来的荷载和不均匀地基反力引起的整体弯曲,同时其顶板和底板还分别受到顶板荷载与地基反力引起的局部弯曲。在分析箱形基础整体弯曲时,其自重按均布荷载处理;在进行底板弯曲计算时,应扣除底板自重。

采用箱形基础时,上部结构体形应力求简单、规则,平面布局尽量对称,基底平面形心应尽可能与上部结构竖向静荷载重心相重合。当偏心较大时,可使基础底板四周伸出不等长的短悬臂以调整底面形心位置。偏心距e应满足

e≤0.1 W A (8-50)

式中 W——箱基底面抵抗矩,m3

A——箱基底面积,m2

箱形基础的墙体宜与上部结构的内外墙对正,并沿柱网轴线布置。箱基的墙体含量应有充分的保证,平均每平方米基础面积上墙体长度不得小于400mm或墙体水平截面积不得小于基础面积的1/10,其中,纵墙配置不得小于墙体总配置量的60%,且有不少于三道纵墙贯通全长。

箱形基础的高度一般取建筑物高度的1/15,或箱形基础长度的1/18,并不小于3m。顶板、底板及墙身的厚度应根据受力情况、整体刚度、施工条件及防水要求确定。当材料为钢筋混凝土时,底板及外墙的厚度不应小于250mm;内墙厚度不宜小于200mm;顶板厚度不宜小于150mm。

箱形基础的墙体应尽量不开洞或少开洞,并应避免开偏洞和边洞、高度大于2m的高洞、宽度大于1.2m的宽洞。两相邻洞口最小净间距不宜小于1m,否则洞间墙体应按柱子计算,并采取构造措施。墙体的开口系数α应符合下式要求:

α=A0■Aw≤0.4(8-51)

式中 A0——门洞开口面积,m2

Aw——墙体面积,即柱距与箱形基础全高的乘积,m2

箱基的顶板、底板及内外墙一般采用双面双向分离式配筋。在墙体的配筋中,墙身竖向钢筋不宜小于φ12@200,其他部位不宜小于φ10@200。顶板、底板配筋不宜小于φ14@200。在两片钢筋网之间应设置架立钢筋,架立筋间距小于等于800mm。

箱形基础的混凝土强度等级不应低于C25,并宜采用密实混凝土刚性防水,其抗渗等级不低于S6

当箱基埋置于地下水位以下时,一般在施工阶段采用井点降水法。在箱基封底、地下水位回升前,上部结构应有足够的重量,保证抗浮稳定性不小于1.2。

箱形基础的具体设计计算可参考有关规范与资料。