1
土力学与基础工程
1.12.5 8.5 基础底面尺寸的确定

8.5 基础底面尺寸的确定

前面已介绍了地基承载力的确定及验算方法。但是,在一般情况下,基础底面尺寸事先并不知道,需要在确定基础类型和埋置深度后,根据持力层的承载力来设计基础底面尺寸。

8.5.1 轴心荷载作用下的基础底面尺寸确定

根据地基承载力验算公式(8-12),经过变换得:

A≥Fk fa-γGd (8-21)

对于条形基础,可沿基础长方向取单位长度1m进行计算,荷载也同样按单位长度计算,条形基础宽度则为:

b≥Fk fa-γGd (8-22)

在利用式(8-21)和式(8-22)计算时,可先按未经宽度修正的承载力设计值进行计算,初步确定基础底面尺寸,根据第一次计算得到的基础底面尺寸,再对地基承载力进行修正,直至设计出最佳基础底面尺寸。

8.5.2 偏心荷载作用下的基础底面尺寸确定

偏心荷载作用下的基础底面尺寸确定不能用公式直接写出,通常的计算方法如下:

(1)按轴心荷载作用条件,利用式(8-21)初步估算所需的基础底面积A;

(2)根据偏心距的大小,将基础的底面积增大10%~40%,当偏心小时可采用10%,当偏心大时采用40%,并以适当的比例确定基础底面的长度l和宽度b;

(3)按式(8-14)计算基底最大压力和最小压力,并使其满足式(8-12)和式(8-17)要求。

这一计算过程可能要经过几次试算方能最后确定合适的基础底面尺寸。

[例8-3] 有一个工业厂房,柱截面350mm× 400mm,作用在柱底的荷载为:Fk=700k N,Mk=80 k N·m,Vk=15k N。土层为黏性土,γ=17.5k N/m3, e=0.70,IL=0.78,fak=226k Pa,基础底面埋深1.3m,其他参数如图8-17所示。试根据持力层地基承载力确定基础底面尺寸。

图8-17 例8-3图

解 (1)先求地基承载力特征值

根据e=0.70,IL=0.78,查表8-1,得ηb=0.3,ηd=1.6,则fa(先不考虑对基础宽度迸行修正)为:

fa=fakdγm(d-0.5)

=226+1.6×17.5×(1.3-0.5)=248.4k Pa

(2)初步选择基底尺寸

A0=Fk=700 =3.15m2 fa-γGd248.4-20×1.3

由于偏心不大,基础底面积按20%增大,即

A=1.2×3.15=3.78m2

初步选择基础底面积A=b×l=1.6×2.5=4.0m2,因b<3m,故不需再对fa迸行修正。

(3)验算持力层地基承载力

基础和回填土重

GkGd A=20×1.3×4=104k N

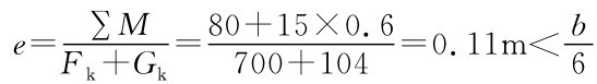
偏心距

700+104 80+15×0.6e=ΣMFk+Gk= =0.11m<b6

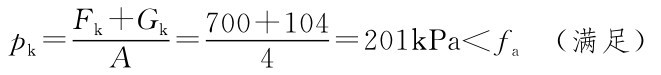
基底平均压力

4A =pk=700+104Fk+Gk=201k Pa<fa(满足)

基底最大压力

A +ΣM pkmax=Fk+Gk700+10480+15×0.6 W= 4 +=254.4k Pa<1.2fa(满足) 6 1.6× 2.52

所以,持力层地基承载力满足。