8.4 地基承载力特征值的确定和验算
根据地基基础设计的基本原则,必须保证在基底压力作用下,地基不发生剪切破坏和丧失稳定性,并具有足够的安全度,因此,必须对各级建筑物进行地基承载力计算。
地基承载力特征值是指由载荷试验测定的地基土压力变形曲线线性变形段内规定的变形所对应的压力值。其最大值为比例界限值,该值也可由原位测试、公式计算、并结合工程实践经验等方法综合确定。地基承载力特征值与土的物理、力学性质指标有关,还与基础形式、底面尺寸、埋深、建筑类型、结构特点和施工等因素有关。
8.4.1 现场载荷试验确定地基承载力特征值
地基土平板载荷试验可适用于确定地基土层的承压板下应力主要影响范围内的承载力。荷载影响深度一般为1~2倍承压板宽度,承压板面积不应小于0.25m2,对于软土不应小于0.5m2。现场载荷试验是确定地基承载力特征值最可靠的方法。
如图8-10所示,对地基土进行载荷试验后可整理出如图所示的荷载p与沉降量s的关系曲线,按以下规定确定地基承载力特征值:
图8-10 载荷试验p-s曲线
(1)当曲线上有比例界限时,取该比例界限所对应的荷载值;
(2)当极限荷载小于对应比例界限的荷载值的2倍时,取极限荷载值的一半;
(3)当不能按上述二款要求确定,压板面积为0.25~0.5m2时,可取s/b=0.01~0.015所对应的荷载,但其值不应大于最大加载量的一半。
同一土层参加统计的试验点不应少于三点,当试验实测值的极差不超过其平均值的30%时,取此平均值作为该土层的地基承载力特征值fak。否则应查找和分析离散原因,必要时须增加载荷试验点。
当基础宽度大于3m或埋置深度大于0.5m时,用载荷试验或其他原位测试、经验值等方法确定的地基承载力特征值尚应按下式修正:
fa=fak+ηbγ(b-3)+ηdγm(d-0.5)(8-3)
式中 fa——修正后的地基承载力特征值,k Pa;
fak——地基承载力特征值,k Pa;
ηb,ηd——基础宽度和埋深的地基承载力修正系数,按基底下土的类别查表8-1得到;
γ——基础底面以下土的重度,地下水位以下取有效重度,k N/m3;
b——基础底面宽度,m,当宽度小于3m时按3m取值,大于6m时按6m取值;
γm——基础底面以上土的加权平均重度,地下水位以下的土层取有效重度,k N/m3;
d——基础埋置深度,m,一般自室外地面标高算起,在填方整平地区,可自填土地面标高算起,但填土在上部结构施工完成时,应从天然地面标高算起。对于地下室,如采用箱形基础或筏基时,基础埋置深度自室外地面标高算起;当采用独立基础或条形基础时,应从室内地面标高算起。
表8-1 承载力修正系数
8.4.2 用承载力公式确定
当偏心距e小于或等于0.033倍基础底面宽度时,根据土的抗剪强度指标确定地基承载力特征值可按式(8-4)计算,并应满足变形要求:
fa=Mbγb+Mdγmd+Mcck(8-4)
式中 fa——由土的抗剪强度指标确定的地基承载力特征值,k Pa;
Mb,Md,Mc——承载力系数,按表8-2确定;
b——基础底面宽度,m,大于6m时按6m取值,对于砂土小于3m时按3m考虑;
ck——基底下一倍短边宽度的深度范围内土的黏聚力标准值,k Pa。
表8-2 承载力系数Mb,Md,Mc
注:φk为基底下一倍短边宽深度内土的内摩擦角标准值。
内摩擦角标准值φk、黏聚力标准值ck可按下列规定计算:
(1)根据室内n组三轴压缩试验的结果,按下列公式计算某一土性指标的变异系数、试验平均值和标准差:
式中 δ——变异系数;
μ——试验平均值;
σ——标准差。
(2)按下列公式计算内摩擦角和黏聚力的统计修正系数ψφ,ψc:
式中 ψφ——内摩擦角的统计修正系数;
ψc——黏聚力的统计修正系数;
δφ——内摩擦角的变异系数;
δc——黏聚力的变异系数。
(3)按下列公式计算内摩擦角标准值φk、黏聚力标准值ck:
φk=ψφφm(8-10)
ck=ψccm(8-11)
式中 φm——内摩擦角的试验平均值,(°);
cm——黏聚力的试验平均值,k Pa。
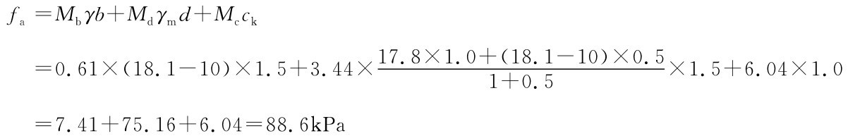
[例8-1] 某粉土地基如图8-11所示,试按理论公式(8-4)计算地基承载力特征值fa。
解 根据持力层粉土φk=22°,查表8-2,得:
Mb=0.61,Md=3.44,Mc=6.04
8.4.3 地基承载力验算
在确定地基承载力特征值后,就可根据不同的外荷载,进行验算。
图8-11 例8-1图
图8-12 轴心荷载作用的基础
1.轴心荷载作用
当基础上仅有竖向荷载作用,且荷载通过基础底面形心时,基础承受轴心荷载作用,假定基底反力呈直线均匀分布,如图8-12所示,则持力层地基承载力验算必须满足下式:
式中 pk——相应于荷载效应标准组合时,基础底面处的平均压力值,k Pa;
fa——修正后的地基承载力特征值,k Pa;
Fk——相应于荷载效应标准组合时,上部结构传至基础顶面的竖向力值,k N;
γG——基础与台阶上土的平均重度,k N/m3,可近似按20k N/m3计算;
A——基础底面积,m2;
Gk——基础自重和基础上的土重,k N,Gk=γGAd,d为基底埋深。
把Gk=γGAd代入式(8-12),则式(8-12)可改写为:
2.偏心荷载作用
当传到基础顶面的荷载除轴心荷载外,还有弯矩M作用时,基底反力将呈梯形分布,如图8-13所示,基底最大和最小压力可按下式计算:
式中 pkmax——相应于荷载效应标准组合时,基础底面边缘的最大压力值,k Pa;
pkmin——相应于荷载效应标准组合时,基础底面边缘的最小压力值,k Pa;
Mk——相应于荷载效应标准组合时,作用于基础底面的力矩设计值,k N·m;
W——基础底面的抵抗矩,矩形基础:W=Lb2/6,m3。
图8-13 偏心荷载作用的基础
图8-14 偏心荷载(e>b/6)下基底压力计算示意图
为了保证基础不至于过分倾斜,通常要求偏心距e应满足下式:
式中,b为力矩作用方向基础底面边长,m。
当偏心距e>b/6时,如图8-14所示,pkmax应按下式计算:
式中 l——垂直于力矩作用方向的基础底面边长,m;
a——合力作用点至基础底面最大压力边缘的距离,m。
偏心荷载作用下,除应满足式(8-12)外,尚应满足下式:
pkmax≤1.2fa(8-17)
3.软弱下卧层承载力验算
土层大多是成层的,土层的强度通常随深度的增加而增加,而外荷载引起的附加应力则随深度的增加而减小,因此,只要基底面持力层承载力满足设计要求即可以了。但也有不少情况,持力层不厚,在持力层以下受力层范围内存在软土层(即称软弱下卧层),软弱下卧层的承载力比持力层承载力小得多。如我国沿海地区表层“硬壳层”下有很厚一层(厚度在20m左右)软弱的淤泥质土层,这时,只满足持力层的要求是不够的,还须验算软弱下卧层的强度。要求传递到软弱下卧层顶面处的附加压力值和土的自重压力值之和不超过软弱下卧层的承载力特征值,即
σz+σcz≤faz(8-18)
式中 σz——相应于荷载效应标准组合时,软弱下卧层顶面处的附加压力值,k Pa;
σcz——软弱下卧层顶面处土的自重压力值,k Pa;
faz——软弱下卧层顶面处经深度修正后地基承载力特征值,k Pa。
软弱下卧层顶面处的附加压力值σz按应力扩散原理进行简化计算,如图8-15所示,作用在基底面处的附加压力以扩散角θ向下传递,均匀地分布在下卧层上。根据扩散后作用在下卧层顶面处的合力与扩散前在基底处的合力相等的条件,即
图8-15 软弱下卧层顶面附加应力计算
对于矩形基础,有
对于条形基础,有
式中 b,l——分别为基础的宽度(m)和长度(m),若为条形基础,l取1m,长度方向应力不扩散;
p0——基础底面附加压力值,p0=pk-γmd,k Pa;
z——基础底面到软弱下卧层顶面的距离,m;
θ——压力扩散角,可按表8-3采用。
表8-3 压力扩散角θ
注: ①Es1为上层土压缩模量;Es2为下层土压缩模量。
②z/b<0.25时取θ=0°,必要时宜由试验确定;z/b>0.50时θ值不变。
从上表可见,表层若有“硬壳层”,能起到应力扩散的作用,因此,当存在软弱下卧层时,基础宜尽量浅埋,以增加基底到软弱下卧层的距离。
[例8-2] 某柱基础,作用在设计地面处的柱荷载设计值、埋深及地基条件如图8-16所示,基础底面尺寸b×l=3.0m×3.5m,试验算持力层和软弱下卧层的强度。
解 (1)持力层承载力验算
因b=3m,d=2.3m,e=0.80<0.85,IL=0.74<0.85,所以查表8-1,有ηb=0.3,ηd=1.6。
图8-16 例8-2图
基础底面以上土的加权平均重度为
修正的持力层承载力特征值fa为
fa=fak+ηbγ(b-3)+ηdγm1(d-0.5)
=200+0.3×(19-10)×(3-3)+1.6×17.0×(2.3-0.5)
=200+0+49.0=249.0k Pa
基底平均压力:
基底最大压力:
由于e=
(满足)
则 pkmax=
所以,持力层地基承载力满足。
(2)软弱下卧层承载力验算
下卧层承载力特征值faz计算:因为下卧层系淤泥质土,查表8-1,ηd=1.0。
下卧层顶面埋深d′=d+z=2.3+3.5=5.8m,下卧层顶面以上土的平均重度γm2为:
faz=fak+ηdγm2(d′-0.5)=78+1.0×12.2×(5.8-0.5)=142.7k Pa
基础底面附加压力:
p0=pk-γm1d=146-17.0×2.3=106.9k Pa
下卧层顶面处应力:
自重应力 σcz=16.0×1.5+19.0×0.8+(19.0-10)×3.5=70.7k Pa
附加应力按扩散角计算,Es1/Es2=3,z/b=3.5/3.0=1.17>0.50,查表8-3,得θ=23°。
作用在软弱下卧层顶面处的总应力为:
σz+σcz=29.0+70.7=99.7k Pa<faz(满足)
所以,软弱下卧层地基承载力也满足。