1
土力学与基础工程
1.10.4 6.4 重力式挡土墙

6.4 重力式挡土墙

重力式挡土墙适用于高度不大于10m、地层稳定、开挖土石方时不会危及相邻建筑物安全的地段。

6.4.1 重力式挡土墙的设计与验算

重力式挡土墙设计时应首先综合考虑各种因素,本着力求使设计的挡土墙既安全又经济的原则来选择其形式。选型应注意重力式挡土墙的用途、高度及重要性、当地的地形及地质条件,以及尽可能就地取材等问题。

重力式挡土墙的设计—般采用试算法确定其截面,即先根据挡土墙的工程地质条件、墙体材料、填土性质和施工条件等,凭经验初步拟定截面尺寸,然后进行挡土墙的验算,如不满足要求,则调整截面尺寸或采用其他措施,直至达到设计要求为止。

重力式挡土墙的计算通常包括下列内容:

(1)稳定性验算,包括抗滑移、抗倾覆和整体滑移稳定性验算;

(2)地基承载力验算;

(3)墙身强度验算。

对重力式挡土墙进行计算,首要的问题是确定作用在挡土墙上有哪些力,其中的关链是确定作用在挡土墙上的土压力的性质、大小、方向与作用点。在力的作用下要求重力式挡土墙不产生滑移和倾覆而保持稳定状态。作用在重力式挡土墙上的力主要有土压力、墙体自重、基底反力,这是作用在重力式挡土墙上的基本荷载。如果墙背后的排水条件不好,有积水时,还应考虑静水压力的作用;如果在重力式挡土墙的填土表面上有堆放物或建筑物等,还应考虑附加荷载;在地震区还需考虑地震力的附加作用力。

1.抗滑移稳定性验算(图6-8)

重力式挡土墙抗滑移稳定性按下式验算:

图6-8 挡土墙抗滑稳定验算示意

Eat-Gt≥1.3 )μKs=(Gn+Ean(6-13)

Gn=Gcosα0(6-14)

Gt=Gsinα0(6-15)

Eat=Easin(α-α0-δ)(6-16)

Ean=Eacos(α-α0-δ)(6-17)

式中 G——挡土墙每延米自重,k N/m;

α0——挡土墙基底的倾角,(°);

α——挡土墙墙背的倾角,(°);

δ——土对挡土墙墙背的摩擦角,(°),可按表6-3选用;

μ——土对挡土墙基底的摩擦系数,宜由试验确定,也可按表6-4选用。

表6-3 土对挡土墙墙背的摩擦角δ

注:φk为墙背填土的内摩擦角标准值,其值的确定方法见第8.4节内容。

表6-4 土对挡土墙基底的摩擦系数μ

注: ①易风化的软质岩和塑性指数Ip>22的黏性土,基底摩擦系数应通过试验确定。

②对碎石土,可根据其密实程度、填充物状况、风化程度等确定。

图6-9 挡土墙抗倾覆稳定验算示意

2.抗倾覆稳定性验算(图6-9)

重力式挡土墙抗倾覆稳定性按下式验算:

Eaxzf≥1.6Kt=zxfGx0+Ea(6-18)

Eax=Easin(α-δ)(6-19)

Eaz=Eacos(α-δ)(6-20)

xf=b-zcotα(6-21)

zf=z-btanα0(6-22)

式中 z——土压力作用点离墙踵的高度,m;

x0——挡土墙重心离墙趾的水平距离,m;

b——基底的水平投影宽度,m。

重力式挡土墙整体滑动稳定性可采用费伦纽斯条分法、简化毕肖普条分法等圆弧滑动面法验算。

3.地基承载力验算

重力式挡土墙地基承载力验算与一般偏心浅基础验算方法基本相同,详见第八章有关内容。重力式挡土墙基底合力的偏心距不应大于0.25倍基础的宽度。

6.4.2 重力式挡土墙的构造要求

1.墙背的倾斜形式

一般的重力式挡土墙按墙背倾斜方向可分为仰斜、直立和俯斜三种形式(图6-10)。对于墙背不同倾斜方向的挡土墙,若用相同的计算方法和计算指标进行计算,其主动土压力以仰斜为最小,直立居中,俯斜最大。因此,就墙背所受的土压力而言,仰斜墙背较为合理。但选择墙背形式还应根据使用要求、地形地貌和施工条件等情况综合考虑而定。

图6-10 重力式挡土墙墙背倾斜形式

2.墙面(背)坡度的选择

当墙前地面较陡时,墙面坡度可取1∶0.05~1∶0.2,也可采用直立的墙面。墙前地形较为平坦时,对于中、高挡土墙,墙面坡度可较缓,但不宜缓于1∶0.4。仰斜墙背坡度愈缓,主动土压力愈小,但为了避免施工困难,仰斜墙背坡度一般不宜缓于1∶0.25。

3.基底逆坡坡度

为了增加墙身的抗滑稳定性,可将基底做成逆坡(图6-8挡土墙基底形式),但是基底逆坡过大,可能使墙身连同基底下的土体一起滑动,因此,一般土质地基的基底逆坡不宜大于1∶10,对岩石地基一般不宜大于1∶5。

4.墙顶宽度

重力式挡土墙自身尺寸较大,若无特殊要求,一般块石挡土墙顶宽不宜小于400mm,混凝土挡土墙的墙顶宽度不宜小于200mm。

5.墙后填土的选择

根据重力式挡土墙稳定验算及提高稳定性措施的分析,希望作用在墙上的土压力数值越小越好,因为土压力小有利于挡土墙的稳定性,可以减小挡土墙的断面尺寸,节省工程量和降低造价。主动土压力的大小主要与墙后填土的性质有关,因此,应合理选择墙后的填土。

(1)回填土应尽量选择透水性较大的土,如砂土、砾石、碎石等,这类土的抗剪强度稳定,易于排水。在季节性冻土地区,应选择炉渣、碎石、粗砂等非冻胀性填料。

(2)可用的回填土为黏土、粉质黏土,含水量应接近最优含水量,易压实,宜掺入适量的碎石。

(3)不能利用软黏土、成块的硬黏土、膨胀土、耕植土和淤泥土作为回填土。因为这类土的性质不稳定,交错的膨胀与收缩可在挡土墙上产生较大的侧压力,对挡土墙的稳定产生不利的影响。

填土压实质量是重力式挡土墙施工中的关链问题,填土时应注意分层夯实。

6.墙后排水措施

重力式挡土墙建成使用期间,往往由于挡土墙后的排水条件不好,大量的雨水渗入墙后填土中,造成填土的抗剪强度降低,导致填土的土压力增大,有时还会受到水的渗流或静水压力的影响,对挡土墙的稳定产生不利的作用,因此设计重力式挡土墙时必须考虑排水问题。

为了防止大量的水渗入墙后,在山坡处的重力式挡土墙应在坡下设置截水沟,拦截地表水;同时在墙后填土表面宜铺筑夯实的黏土层,防止地表水渗入墙后(图6-11(a))。对渗入墙后填土中的水,应使其顺利排出,通常在墙体上适当的部位设置泄水孔,孔眼尺寸一般为直径50~100mm的圆孔或50mm×100mm、100mm×100mm、150mm×200mm的方孔,排水孔外斜坡度宜为5%,孔眼间距宜为2~3m。一般泄水孔应高于墙前水位,以免倒灌。在泄水孔的入口处应用易渗水的粗粒材料(卵石、碎石等)作滤水层,在最低泄水孔下部应铺设黏土夯实层,防止墙后积水渗入地基,同时应将墙前回填土夯实,或做散水及排水沟,避免墙前水渗入地基(图6-11(a)、(b)、(c))。

图6-11 挡土墙排水措施

图6-12 例题6-1图

[例6-1] 如图6-12所示,已知某重力式挡土墙墙高H=6m,墙背俯斜,墙背倾角α=80°,墙后填土坡角β=10°,墙背与填土摩擦角δ=20°,墙后填土为中砂,其φ=30°,γ=18.5k N/m3,地基土为中砂,其承载力特征值fa=180k Pa,墙体材料重度γG=24.0k N/m3。试设计该重力式挡土墙的尺寸。

解 (1)用库伦理论计算作用在墙上的主动土压力。

已知:φ=30°,α=80°,β=10°,δ=20°,由第5章公式(5-18)计算或查表5-1得主动土压力系数Ka=0.44。

主动土压力

2Ea=1γH2Ka=12 ×18.5×62×0.46=153.2k N/m

土压力的垂直分力

Eaz=Eacos(α-δ)=153.2×cos(80°-20°)=76.6k N/m

土压力的水平分力

Eax=Easin(α-δ)=153.2×sin(80°-20°)=132.7k N/m

(2)挡土墙断面尺寸的选择

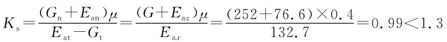
根据经验初步确定墙的断面尺寸,重力式挡土墙的顶宽丝为墙高的1/12,底宽丝为墙高的1/3~1/2,设顶宽b1=0.5m,可初步确定底宽b=3m。

墙体自重为

G=12(b1+B)HγG=12×(0.5+3)×6×24=252k N/m

(3)抗滑移稳定性验算

因挡土墙基底水平,故其倾角α0=0,则

Gn=Gcosα0=G, Gt=Gsinα0=0

Eat=Easin(α-α0-δ)=Easin(α-δ)=Eax

Ean=Eacos(α-α0-δ)=Eacos(α-δ)=Eaz

查表6-4,取基底摩擦系数μ=0.35,按式(6-13)验算抗滑移稳定性如下:

Ks=(Gn+Ean)μ Eat-Gt=(G+Eaz)μ=(252+76.6)×0.4 Eax=0.99<1.3132.7

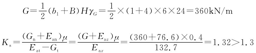
其结果不满足抗滑移稳定性要求,应修改断面尺寸,取顶宽b1=1m,底宽b=5m,再迸行上述验算:

G=12(b1+B)HγG=12×(1+4)×6×24=360k N/m Ks=(Gn+Ean)μ Eat-Gt=(G+Eaz)μ=(360+76.6)×0.4 Eax132.7=1.32>1.3

满足抗滑移稳定性要求。

(4)抗倾覆稳定性验算

求出自重G的重心距离墙趾O点的距离x0=2.86m,土压力水平分力的力臂zf=z=2m,土压力垂直分力力臂为xf=b-zcotα=3.65m,按式(6-18)验算抗倾覆稳定性如下:

Gx0+Eazxf Kt=360×2.17+76.6×3.65=Eaxzf132.7×2=3.99>1.6

抗倾覆稳定性验算满足要求,且稳定安全系数较大,可见一般重力式挡土墙抗倾覆稳定性验算容易满足要求。

(5)地基承载力验算

略。