1
土力学与基础工程
1.10.3 6.3 土坡稳定分析的几个问题

6.3 土坡稳定分析的几个问题

6.3.1 坡顶开裂时的土坡稳定计算

在黏性土路堤的坡顶附近,可能因土的收缩及张力作用而发生裂缝,如图6-6所示。地表水渗入裂缝后,将产生静水压力Pw,它是促使土坡滑动的作用力,故在土坡稳定分析中应该考虑进去。

已知土的重度为γ,黏聚力为c,内摩擦角为φ,则坡顶裂缝的开展深度h0可按下式确定:

图6-6 坡顶开裂时稳定计算

h0=2c(6-7) γtan5°-φ(42)

裂缝内因积水产生的静水压力Pw=(γw为水的重度),它对最危险滑动面的圆心O的力臂z。在按前述各种方法分析土坡稳定时,应考虑Pw引起的滑动力矩,同时土坡滑动面的弧长也将由BD减短为BF。

坡顶出现裂缝对土坡的稳定是不利的,在工程中应当避免这种情况出现。例如,对于暴露时间较长、雨水较多的基坑边坡,应在土坡滑动范围外边设置水沟拦截水流,在土坡滑动范围内的坡面上采用水泥砂浆或塑料布铺面防水,如果坡顶出现裂缝,则应立即采用水泥砂浆嵌缝,以防止水流入土坡内而造成对土坡的损害。

6.3.2 有水渗流时土坡稳定的计算

当基坑土坡采用明排水或堤岸内的水位急剧下降时,土坡内的水将向外渗流。土坡内会因此产生动水压力D,其方向指向路堤边坡(图6-7),它对路堤的稳定是不利的。

图6-7 水渗流时的土坡稳定计算

如图6-7所示土坡,由于水位骤降,路堤内水向外渗流。已知浸润线(渗流水位线)为efg,滑动土体在浸润线以下部分(fg Bf)的面积为A,作用在这一部分土体上的动水力合力为D。用条分法分析土坡稳定时,土条i的重力Wi计算,在浸润线以下部分应考虑水的浮力作用,采用有效重度。动水力D可按式(6-8)计算:

D=γwIA(6-8)

式中 γw——水的重度,k N/m3

A——滑动土体在浸润线以下部分(fg Bf)的面积,m2

I——在面积(fg Bf)范围内的水头梯度平均值,可近似地假设I等于浸润线两端fg连线的坡度。

动水力D的作用点在面积(fg Bf)的形心,其作用方向假定与fg线平行,D对滑动面圆心O的力臂为r。

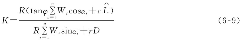
这样考虑动水力后,若采用费伦纽斯条分法分析均质土坡稳定安全系数,式(6-4)可以写为

n R(tanφΣ⌒Wic K=RΣ n i=1 c L)sαi+o (6-9) Wisinαi+r D i=1

式中,R为滑动面圆弧半径,m。

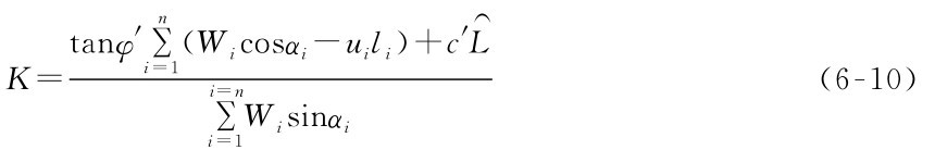
6.3.3 按有效应力法分析土坡稳定

前面所介绍的土坡稳定安全系数计算公式都是属于总应力法,采用的抗剪强度指标也是总应力指标。若土坡是用饱和黏土填筑,因填土或施加的荷载速度较快,土中孔隙水来不及排出,将产生孔隙水压力,使土的有效应力减小,增加了土坡滑动的危险。这时,土坡稳定分析应该考虑孔隙水压力的影响,采用有效应力方法计算。其稳定安全系数计算公式,可将前述总应力方法公式修正后即得。如费伦纽斯条分法的式(6-4)可改写为

n tanφ′Σ(Wic K=i=1 i=1 WisinαiΣ i=n⌒c′Lsαi-uili)+o (6-10)

式中 c′——土的有效黏聚力,k Pa;

φ′——土的有效内摩擦角,(°);

ui——作用在土条i滑动面上的平均孔隙水压力,k Pa。

其他符号意义同前。

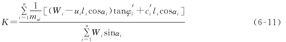
简化毕肖普法的式(6-5)、式(6-6)可改写成:

Σni=11mαi[(Wi-uilicosαi)tanφ′i+c′ilicosαi] K= (6-11) i=1 WisinαiΣ n

其中

mαi=cosαi+1Ktanφ′isinαi(6-12)