1
土力学与基础工程
1.9.4 5.4 库伦土压力理论

5.4 库伦土压力理论

库伦土压力理论是由库伦(Coulomb)1776年建立的。他假定:

(1)挡土墙后填土为各向同性的无黏性土(c=0);

(2)挡土墙后产生主动或被动土压力时墙后土体形成滑动土楔,其滑动面为通过墙踵的平面;

(3)将滑动土楔视为刚体。

库伦土压力理论就是根据滑动土楔处于极限平衡状态时的静力平衡条件来求解主动土压力和被动土压力的。

5.4.1 库伦主动土压力

图5-13(a)表示库伦理论发生主动破坏的基本概念。墙背与填土面均为倾斜的挡土墙,挡土墙高为H,墙背AB与竖直线的夹角为α,填土表面与水平面成β角,墙背与填土之间的摩擦角为δ。当挡土墙向前移动或转动时,墙后土体沿着墙背AB及滑动面BC向下滑动,当达到于主动极限平衡状态时,墙后填土形成一滑动楔体ABC。取滑动楔体ABC作为脱离体来研究其平衡条件,作用于楔体ABC上的力有:

图5-13 库伦主动土压力计算图

(1)土楔体ABC的自重W=γ△ABC(γ为填土的重度),W仅与滑动面BC与水平面的夹角θ呈单值函数关系,方向垂直向下。

(2)作用在滑裂面BC上的反力R。R为摩擦力τf与法向正压力N1的合力。因为在BC面上抗剪强度充分发挥,所以R与N的夹角为土的内摩擦角φ。τf作用方向与滑动方向相反,故R作用线在BC外法线的下侧。

(3)作用在墙背AB面上的墙反力E。其大小未知,方向已知,它与墙背AB的法线的夹角为δ,并位于法线下侧。土楔体对墙背的土压力Ea就是E的反作用力。

土楔体ABC在上述W,R,E三个力作用下处于静力平衡状态,构成闭合的力矢三角形,如图5-9(b)所示。现已知三力的方向和W的大小,利用三角形的正弦定律可得:

E=W sin(θ-φ) sin(θ-φ+ψ)(5-16)

其中 ψ=90°-α-δ

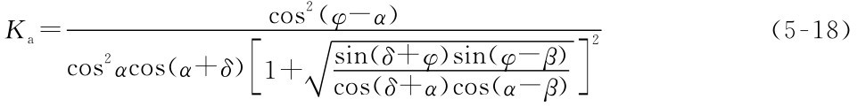
式(5-16)中,W,α,φ和δ均为定值,滑裂面BC与水平面的夹角θ则是任意假定的,所以土压力Ea是θ的函数,当假定不同的滑裂面时,可以求出不同的土压力值,也就是说E是θ的单值函数。E的最大值Emax才是作用在墙背上的主动土压力Ea,相应的θ角才是真正的滑裂面的倾角。为求主动土压力,令

d E=0 dθ

解得使E为极大值时滑裂面BC与水平面的倾角θcr,再将θcr代入式(5-16),整理后得库伦主动土压力Ea的一般表达式

γH2Ka2Ea=1(5-17)

其中

(δ+φ)1+ins■[(α+δ)os2 αcsco cos2(φ-α)Ka= (5-18) sin(φ-β) cos(δ+α)cos(α-β ])2

式中 Ka——库伦主动土压力系数,可按式(5-18)计算或查表5-1确定;

H——挡土墙高,m;

γ——墙后填土的重度,k N/m3

φ——填土的内摩擦角,(°);

α——墙背倾斜角,(°),即墙背与垂直线的夹角,逆时针为正(称为俯斜),顺时针为负(称为仰斜);

β——填土面的倾角,(°);

δ——墙背与填土之间的摩擦角,其值可由试验确定,或参考第6章表6-3。

表5-1 库伦主动土压力系数

续表

续表

当挡土墙满足朗金理论假设,即墙背垂直(α=0)、光滑(δ=0)、填土面水平(β=0)时,式(5-18)变为:

Ea=12γH2tan2(45°-φ2)(5-19)

式(5-19)与朗金主动土压力公式(5-5)完全相同,说明朗金理论是库伦理论的一个特例。

由式(5-17)可知,主动土压力Ea与墙高H的平方成正比,为求得沿墙高的主动土压力分布强度σa,可通过Ea对z求导数而得:

d Ea(z) σa=dz=γz Ka(5-20)

式(5-20)说明,主动土压力强度σa沿墙高呈三角形分布,如图5-13(c)所示。应该注意的是,这种分布形式只表示土压力强度的大小,并未表示方向。合力Ea的作用点在离墙底H/3处,作用方向在墙背法线上方,并与法线成δ角或与水平面成α+δ角。

5.4.2 库伦被动土压力

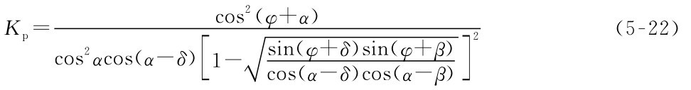
与产生主动土压力情况相反,当挡土墙在外力作用下向填土方向移动或转动,使得墙后填土达到被动极限平衡状态时,滑动土楔体将沿着某一滑动面BC和墙背AB向上滑动,见图5-14(a)。此时作用在滑动楔体ABC上仍为三个力:土楔体自重W,滑动面和墙背的反力R和E。由于土楔体上滑,故反力R和E的方向均在滑动面外法线的上侧(图5-14(a)),与法线夹角分别为φ,δ。依据静力平衡条件,可求得被动土压力Ep计算公式:

Ep=1 2 γH2Kp(5-21)

式中,Kp为库伦被动土压力系数,其余符号同式(5-17)。Kp可按下式计算:

Kp=cos2 αc cos2(φ+α) os(α-δ)■[sin 1- (φ+δ) (5-22) sin(φ+β) cos(α-δ)cos(α-β ])2

当挡土墙满足朗金理论假设,即墙背垂直(α=0)、光滑(δ=0)、填土面水平(β=0)时,式(5-21)简化为:

Ep=12γH2tan2(45°+φ2)(5-23)

式(5-23)与朗金土压力公式(5-10)完全相同,再一次说明朗金理论是库伦理论的一个特例。

同样可得到墙顶以下任意深度z处的库伦被动土压力强度计算公式:

d Ep(z) σp=dz=γz Kp(5-24)

被动土压力强度沿墙高也呈三角形的分布,如图5-14(c)所示。被动土压力的作用点在距离墙底H/3处,其作用方向在墙背法线上侧,并与墙背法线成δ角。

图5-14 库伦被动土压力计算

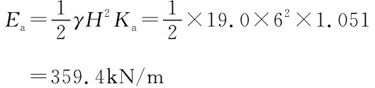
[例5-5] 已知图5-15所示的某挡土墙H=6.0m,墙背倾斜α=10°,墙后填土面倾斜角β=30°,填土与墙背的外摩擦角δ=20°。墙后填土为中砂,重度γ=19.0k N/m3,内摩擦角φ=30°。计算作用在此挡土墙上的主动土压力。

解 因填土黏聚力c为零,又δ,β,α均大于零,故适于采用库伦土压力理论。根据δ=20°,φ=30°,α=10°,β=30°查库伦主动土压力系数表(表5-1)得Ka=1.051。

将Ka=1.051,H=6.0m,γ=19.0k N/m3,代入式(5-17)计算主动土压力

Ea=1 2 γH2Ka=12 ×19.0×62×1.051=359.4k N/m

土压力作用点在距墙底H/3=2m处。

图5-15 例5-5图

5.4.3 黏性土的土压力

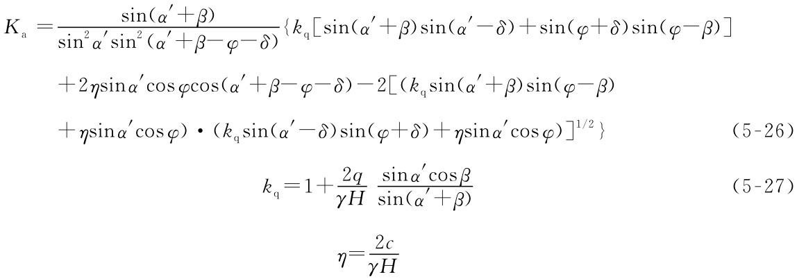
在推导库伦土压力计算公式时,假设墙后填土是理想的散体,即填土只有内摩擦角φ而无黏聚力c,因此,从理论上说,库伦理论只适用于无黏性填土。但在实际工程中,墙后填土常采用黏性土,其黏聚力c对土压力的大小及其分布规律有重大影响。为了考虑黏性土的黏聚力c对土压力的数值的影响,《建筑地基基础规范》(GB50007—2011)推荐的公式采用平面滑裂面假定,得到主动土压力的计算公式为:

Ea=1 2 γH2Ka(5-25)

式中 H——挡土墙高度,m;

γ——墙后填土的重度,KN/m3

Ka——库伦主动土压力系数,按下式确定:

Ka= sin(α′+β) sin2α′sin2(α′+β-φ-δ){kq[sin(α′+β)sin(α′-δ)+sin(φ+δ)sin(φ-β)]+2ηsinα′cosφcos(α′+β-φ-δ)-2[(kqsin(α′+β)sin(φ-β)+ηsinα′cosφ)·(kqsin(α′-δ)sin(φ+δ)+ηsinα′cosφ)]1/2} (5-26) kq=1+2q γH sinα′cosβ sin(α′+β)(5-27) γHη=2c

式中 q——墙后地表均布荷载(以单位水平投影面上的荷载强度计),k Pa;

φ——墙后填土的内摩擦角,(°);

Kq——考虑填土地表均布荷载影响的系数。其余符号同前或如图5-16所示。

图5-16 规范推荐方法计算简图

规范规定,对于高度小于或等于5m的挡土墙,当墙身的排水条件符合规范有关规定,填土符合下述质量要求时,其主动土压力系数也可由图5-17中的曲线查得。当地下水丰富时,应考虑水压力的作用。

图5-17 主动土压力系数Ka

Ⅰ类——碎石土,密实度为中密,干密度应大于或等于2.0t/m3

Ⅱ类——砂土,包括砾砂、粗砂、中砂,其密实度为中密,干密度应大于或等于1.65t/m3

Ⅲ类——黏土夹块石,干密度应大于或等于1.9t/m3

Ⅳ类——粉质黏土,干密度应大于或等于1.65t/m3