5.3 朗金土压力理论
朗金土压力理论是英国学者朗金(Rankine,W.J.M)于1857年提出的。它假定挡土墙背垂直、光滑,其后填土表面水平并无限延伸,这时土体内的任意水平面和墙的背面均为主平面(在这两个平面上的剪应力为零),作用在该平面上的法向应力即为主应力。朗金根据墙后填土处于极限平衡状态,应用极限平衡条件,推导出了主动土压力和被动土压力的计算公式。
5.3.1 朗金主动土压力
1.基本计算公式
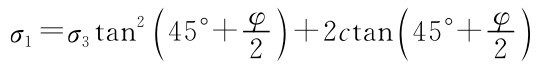
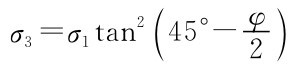
考察挡土墙后土体表面下深度z处的微小单元体的应力状态(图5-5(a))。显然,作用在它上面的竖向应力为σz=γz(γ为土体重度)。当挡土墙在土压力的作用下向远离土体的方向位移时,作用在微小土体上的竖向应力σz保持不变,而水平向应力σx逐渐减小,直至土体达到极限平衡状态。土体处于极限平衡状态时的大主应力为σ1=γz,而小主应力σ3即为主动土压力σa。由第4章土的强度理论可知,当土体中某点达到极限平衡状态时,大小主应力σ1和σ3之间满足如下关系:
图5-5 朗金主动土压力分布
无黏性土
黏性土
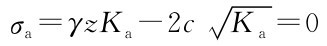
因此深度z处朗金主动土压力计算公式为
无黏性土
黏性土
式中 σa——沿深度方向的主动土压力分布强度,k Pa;
Ka——朗金主动土压力系数,Ka=
γ——墙后填土重度,k N/m3;
c——填土的黏聚力,k Pa;
φ——填土的内摩擦角,(°);
z——计算点离填土表面的距离,m。
2.无黏性土的主动土压力计算
由式(5-3)可见,无黏性土的主动土压力强度沿深度z呈三角形分布,如图5-5(b)所示。当挡土墙高度为H,则作用在单位长度墙体上的总土压力大小可按三角形分布图的面积计算,即
Ea通过三角形形心,即作用在离墙底H/3处,方向水平。
3.黏性土的主动土压力计算
由式(5-4)可知,黏性土的主动土压力强度包括两部分:一部分是由土的自重引起的侧压力γz Ka,另一部分是由黏聚力c引起的负侧向压力2c
,墙后土压力是这两部分叠加的结果,如图5-5(c)所示,其中的ade部分为负侧压力,对墙背是拉力,但实际上墙与土在很小的拉应力作用下就会分离,在拉力区范围内的土将会出现裂缝,故在计算土压力时,这部分应略去不计,因此黏性土的土压力分布实际上仅是abc部分。
开裂深度z0称为临界深度,在填土面无荷载的条件下,可由σa=0求得。
令
则
若取单位墙长计算,则主动土压力为:
将式(5-6)代入上式后得
主动土压力Ea通过三角形压力分布图abc的形心,即作用在离墙底(H-z0)/3处,方向水平。
5.3.2 朗金被动土压力
1.基本计算公式
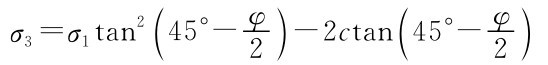
当挡土墙在外力作用下向土体方向位移时,土体中深度z处的微小土单元体(图5-6(a))受到的竖向应力仍为σz=γz,而水平方向的应力σx则逐渐增大,并超过σz直至土体处于极限平衡状态。土体处于极限平衡状态时的大主应力σ1为被动土压力强度σp,小主应力为竖向应力σ3=γz。由极限平衡条件公式:
无黏性土
黏性土
图5-6 朗金被动土压力分布
得深度z处朗金被动土压力的计算公式为:
无黏性土
σp=σ1f=γz Kp(5-8)
黏性土
式中,Kp为被动土压力系数,Kp=
;其余符号同前。
2.无黏性土的被动土压力计算
由式(5-8)可见,无黏性土的被动土压力强度沿深度z呈三角形分布,如图5-6(b)所示。当挡土墙高度为H,则作用在单位长度墙体上的总土压力大小可按三角形分布图的面积计算,即
Ep通过三角形形心,即作用在离墙底H/3处,方向水平。
3.黏性土的被动土压力计算
由式(5-9)可见,被动土压力沿深度z呈线性分布,它由两部分组成:一部分是由土自重引起的,沿墙高呈三角形分布;另一部分是由黏聚力引起的,与深度无关,沿墙高呈矩形分布。其分布如图5-6(c)所示。作用在墙背上的总的被动土压力大小可按梯形分布图的面积计算,即
被动土压力Ep的作用方向垂直于墙背,作用点位于三角形或梯形压力分布图的形心上,形心位置可通过一次取矩求得。
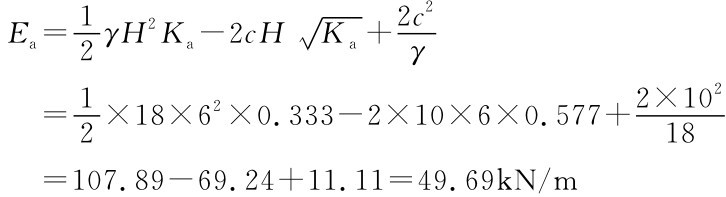
[例5-2] 已知某挡土墙高H=6m,墙背垂直、光滑,墙后填土面水平。墙后填土的物理性质指标为:c=10k Pa,φ=30°,γ=18k N/m3。试求主动土压力及其作用点,并绘出主动土压力分布图。
解 因墙背垂直、光滑,填土面水平,可直接用朗金理论计算。主动土压力系数Ka为:
z=0时,
z=6时,σa=18×6Ka-2×10×
=18×6×0.333-2×10×0.577=24.42k Pa
开裂深度
主动土压力Ea
主动土压力Ea作用点位置离墙底:
主动土压力Ea方向垂直指向墙背。主动土压力的分布如图5-7所示。
图5-7 主动土压力分布图
5.3.3 几种常见情况下的朗金土压力计算
1.填土表面有均布荷载(超载)
当挡土墙后填土表面有均布荷载q作用时,土压力的计算方法是将均布荷载换算成当量的填土重,即用假想的土重代替均布荷载。如填土水平,墙背竖直、光滑(图5-8),这时适宜采用朗金土压力公式,当量土层厚度为
式中,γ为填土的重度,k N/m3。
然后以(H+h)为墙高,按填土面无超载的情况计算土压力,此时墙背z深处的主、被动土压力强度为:
以无黏性土(c=0)为例,则填土面A点处的主动土压力强度为
σa A=γh Ka=q Ka
图5-8 填土面有均布荷载的土压力计算
墙底B点处的主动土压力强度为
σp B=γ(h+H)Kp
由式(5-13)、式(5-14)可看出,作用在墙背面的土压力σ由两部分组成:一部分由均布荷载q引起,是常数,其分布与深度z无关;另一部分由土重引起,与深度z成正比。总土压力Ea即为图5-8所示的梯形ABCD的面积,其作用点在梯形的形心。
2.成层土体中的朗金土压力计算
成层土的压力计算方法是:先求各特殊点的土压力强度,按土压力强度分布图求总土压力 ,最后,求合力作用点及力的作用方向。
当挡土墙后填土是几种性质不同的土层时,如图5-9所示,计算土压力时,应分层进行计算。第一层土压力仍按均质计算,土压力分布为图5-9中的abc部分;计算第二层土压力时,将第一层土按重度换算成与第二层土相同的当量土层,当量土层厚度为h′1=
,然后以(h′1+h2)为墙高计算第二层土压力,但只在第二层土层厚度范围内有效,如图5-9中的bdfe部分。因此,在土层的分界面上,土压力的计算值会出现两个数值,其中一个代表第一层底面的压力,而另一个则代表第二层的压力。同时,要注意,土层性质不同,土压力系数Ka也不同,计算第一层土压力时,应采用第一层土的指标算得的Ka1,计算第二层土压力时,则应采用第二层土的指标算得的Ka2。当多层土时,计算方法也相同。
图5-9 成层填土的土压力计算
图5-10 填土中有地下水的土压力计算
3.墙后土体有地下水的土压力计算
在挡土墙背后的填土中,常会遇到全部或部分被水淹没的情况,此时作用于墙背的土压力将有所不同。墙除受到土压力作用外,还受到水压力的作用。
计算土压力时,地下水位以上采用天然重度γ,地下水位以下采用天然重度γ′计算,土压力按前述方法计算。
在土压力计算时,假设地下水位上、下土的抗剪强度指标φ和c没有变化。地下水位上、下采用同一个值。
水对墙背产生的侧压力,取侧压力系数为1。静水压力作用方向与墙背垂直。在图5-10中,静水压力按下式计算:
从图5-10中可看出,填土中有水存在时,使主动土压力Ea减少了,但增加了静水压力,故作用于墙背的压力(包括土压力和水压力)增大了。
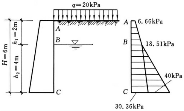
[例5-3] 一挡土墙如图5-11所示,q=20k Pa,挡土墙后填土的有关指标为:c=0, φ=30°,γ=17.8k N/m3,地下水位在地面下2.0m处,γsat=18.9k N/m3,求挡土墙所受到的土压力和水压力。
图5-11 挡土墙示意图
解
主动土压力强度
A点:
σa A=q Ka=20×0.333=6.66k Pa
B点:
σa B=σa A+γh1Ka=6.66+17.8×2×0.333=18.51k Pa
C点:
σa C=σa B+γ′h2Ka=18.51+(18.9-10)×4×0.333=30.36k Pa
水压力强度
C点:
σw=γwh2=10×4=40k Pa
总土压力
水压力
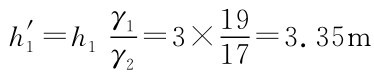
[例5-4] 已知某混凝土挡土墙高度H=6.0m,墙背竖直,墙后填土面水平,填土平均分两层:第一层重度γ1=19k N/m3,黏聚力c1=10k Pa,内摩擦角φ1=16°;第二层γ2=17.0k N/m3,c2=0,φ2=30°。计算作用在此挡土墙上的主动土压力大小,并绘出主动土压力分布图。
解
(1)第一层填土土压力计算
图5-12 例5-4图(单位k Pa)
(2)第二层(即下层)土土压力计算先将上层土折算成当量土层,厚度为
下层土顶面土压力强度
下层土底面强度
(3)总主动土压力
主动土压力分布图如图5-12所示。