1
土力学与基础工程
1.8.7 4.7 地基承载力

4.7 地基承载力

4.7.1 地基变形的三个阶段

地基从开始发生变形到破坏的逐个过程可用第三章所阐述的现场载荷试验来进行研究,可将试验结果绘制成如图4-23所示的曲线。从p-s曲线发现,地基的变形可分成三个阶段。

1.压密阶段(或称线弹性变形阶段)

相当于p-s曲线上的Oa段。在这一阶段,p-s曲线接近于直线,土中各点的剪应力均小于土的抗剪强度,土体处于弹性平衡阶段。在这一阶段,荷载板的沉降主要是由于土的压密变形引起的。

图4-23 在载荷试验时的p-s曲线

2.剪切阶段(或称弹塑性变形阶段)

相当于p-s曲线上的ab段。在这一阶段,p-s曲线已不再保持线性关系。此时地基中局部范围内的剪应力达到土的抗剪强度,土体发生剪切破坏,这些区域也称塑性区。随着荷载的增加,塑性变形区首先从基础的边缘开始,继而向深度和宽度方向发展,直至在地基中形成连续的滑动面。

3.完全破坏阶段

相当于p-s曲线上的bc段,此时塑性区已发展到形成连续的滑动面,当荷载超过b点以后,荷载增加很少,基础就会急剧下沉,同时,在基础周围的地面产生隆起现象,地基完全丧失稳定,发生整体剪切破坏。

相应于上述地基变形的三个阶段,在p-s曲线上有两个转折点,可得到两个荷载:

临塑荷载:即处于线性变形阶段到弹塑性变形阶段时的荷载,在p-s曲线上相应于a点的荷载,用符号pcr表示。

极限荷载:即处于弹塑性变形阶段到完全破坏阶段时的荷载,在p-s曲线上相应于b点的荷载,用符号pu表示。

4.7.2 地基的破坏形式

大量的试验研究表明,在荷载作用下,建筑物地基的破坏通常是由于承载力不足而引起的剪切破坏,其形式可分为整体剪切破坏、局部剪切破坏和刺入剪切破坏三种。

整体剪切破坏的特征是:当基底荷载较小时,基底压力与沉降基本上呈直线关系,属于线性变形阶段。当荷载增加到某一数值时,基础边沿处的土开始发生剪切破坏,随着荷载的增加,剪切破坏区逐渐扩大,此时压力与沉降之间呈曲线关系,属于弹塑性变形阶段。假设基础上的荷载继续增加,剪切破坏区不断增加,最终,在地基中形成连续的滑动面,地基发生整体剪切破坏。此时,基础急剧下沉或向一侧倾倒,基础四周的地面同时产生隆起,如图4-24(a)所示。

图4-24 地基的破坏形式

刺入剪切破坏(冲剪破坏)是由于基础下部软弱土的压缩变形使基础连续下沉,如果荷载继续增加到某一数值,基础可能向下像“切入”土中一样,基础侧面附近的土体因垂直剪切而破坏。此时,地基中没有出现明显的连续滑动面,基础四周不隆起,也没有大的倾斜,如图4-24(c)所示。

局部剪切破坏是介于整体剪切破坏和冲剪破坏之间的一种破坏形式,剪切破坏也是从基础边缘开始,但滑动面不会发展到地面,二是限制在地基内部某一区域,基础四周地面也有隆起现象,但不会有明显的倾斜和倒塌,如图4-24(b)所示。

地基究竟发生哪种形式的破坏,与土的压缩性有关。一般对于密实砂土和坚硬黏土,将出现整体剪切破坏;而对于压缩性较大的松砂和软黏土,将会出现局部剪切或冲剪破坏。此外,破坏形式还与基础埋置深度、加荷速率等因素有关,当基础埋置深度较浅、荷载为缓慢施加时,将趋向于发生整体剪切破坏;假如基础埋置深度较大,荷载是快速施加或是冲击荷载,则趋于发生局部剪切破坏或冲剪破坏。

4.7.3 地基的临塑荷载

临塑荷载是指基础边缘地基中即将出现塑性区时基底单位面积上所承担的荷载。所谓塑性区,就是在该区域内,按照理论计算的剪应力达到或超过土的抗剪强度。

如图4-25(a)所示,若在地表作用一均布荷载p,它在地表以下任一点M处产生的大、小主应力可按下式计算:

σ1p0 σ3=π(β0±sinβ0)(4-14)

式中 σ1——M点处附加大主应力,k Pa;

σ3——M点处附加小主应力,k Pa;

p0——均布条形荷载大小,k Pa;

β0——M点与荷载两端点的角度,rad。

图4-25 均布条形荷载下地基中的主应力

一般基础都有一定的埋深,如图4-25(b)所示,这样在地基中任一点M,除了作用有附加应力外,还具有土的自重应力。为了简化计算,假设各点的土自重应力相等。因此,地基中任一点M处的大、小主应力为

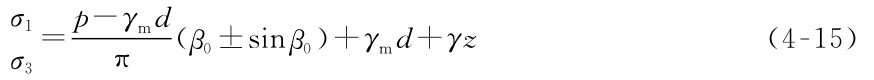
σ1p-γmd σ3= π (β0±sinβ0)+γmd+γz(4-15)

式中 γm——基底标高以上天然土层的加权平均重度,k N/m3

γ——基底下土的重度,k N/m3

根据摩尔-库伦理论建立的极限平衡条件,当该点达到极限平衡状态时,该点的大、小主应力应满足极限平衡条件:

1 2 (σ1-σ3)=[ccotφ+12(σ1+σ3)]sinφ

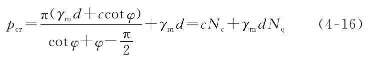
将式(4-15)代入上式,经过整理后,可得达到塑性区的边界方程,绘出塑性区的边界线(图4-26),进一步可求得塑性区开展的最大深度zmax(图4-26),这样就可得到地基内部即将出现塑性区时(即zmax=0)的荷载——临塑荷载pcr,其表达式为:

图4-26 条形基础底面边缘的塑性区

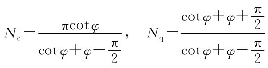
pcr=π(γmd+ccotφ)+γmd=c Nc+γmd Nq cotφ+φ-π2 (4-16)

式中,Nc,Nq为承载力系数,其公式为

Nc= πcotφ cotφ+φ-π2 , Nq=cotφ+φ+π2 cotφ+φ-π2

若地基中允许塑性区开展的深度zmax=b/4(b为基础宽度),相应的临界荷载的p1/4的计算公式为

p1/4=c Nc+γmd Nq+1 γb Nr2 (4-17)

其中

Nr(1/4)=π 2tφ+φ-π(co2)

其余符号同前。

应该指出,上述pcr,p1/4公式都是按条形基础受均布荷载求得的,如用于矩形或圆形基础,其结果偏于安全。此外,在pcr,p1/4公式的推导中用线性变形体的弹性理论求解土中应力,这在理论上不够严密,但当塑性区不大时,引起的误差仍在工程允许精度内。

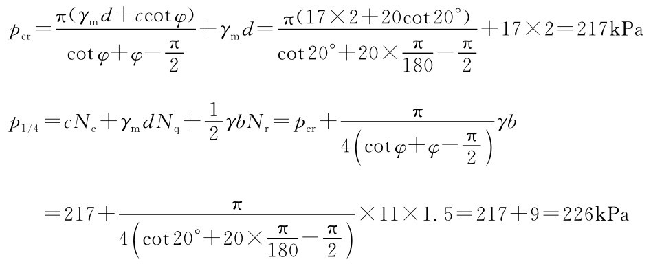
[例4-5] 某条形基础,底宽b=1.5m,埋深为d=2.0m,地基土的重度为γ=19k N/m3,饱和重度γsat=21k N/m3,地基土强度指标c=20k Pa,φ=20°,地下水埋深为1.5m。试求地基的临塑荷载pcr、临界荷载p1/4

解 基底以上土的加权平均重度为:

19×1.5+( γm=21-10)×0.5=17k N/m3 2

基底以下土的重度取有效重度

γ′=γsatw=21-10=11k N/m3

临塑荷载pcr为:

pcr=π(γmd+ccotφ) cotφ+φ-π2+γmd=π(17×2+20cot20°) cot20°+20×π+17×2=217k Pa-π 1802 p1/4=c Nc+γmd Nq+1 2γb Nr=pcr+ π 4tφ+φ-π(co2)γb=217+ π (4cot20°+20×π2)×11×1.5=217+9=226k Pa-π 180

4.7.4 地基的极限荷载力

目前极限承载力的计算理论仅限于整体剪切破坏形式。这是因为,这种破坏形式比较明确,有完整连续的滑动面,且已被试验和工程实践所证实。对于局部剪切破坏及刺入剪切破坏,尚无可靠的计算方法,通常是先按整体剪切破坏形式进行计算,再作某种修正。下面介绍几种有代表性的极限承载力公式。

极限承载力是指地基土的塑性变形区已发展成连续贯通的滑裂面时基底所能承受的荷载。

1.太沙基公式

太沙基公式适用于均质地基上基底粗糙的条形基础。

太沙基在推导均质地基上的条形基础且受均布荷载作用的极限承载力时,认为基础底面粗糙,并作了如下假设:

(1)基础达到整体剪切破坏时,将出现连续的滑动面。由于基底与土之间存在摩擦,所以基底下一部分土体将随着基础一起移动而处于弹性平衡状态,该部分土体称为弹性楔体,如图4-27所示的Ⅰ区。

图4-27 太沙基公式假定的滑动面

(2)滑动区域由径向剪切区Ⅱ和朗肯被动区Ⅲ所组成。其中滑动区域Ⅱ的边界为对数螺旋曲线,b点处螺旋的切线垂直,c点处螺旋的切线与水平线成(45°-φ/2)角。

(3)不考虑基底以上基础两侧土体抗剪强度的影响,用连续均布超载q来代替。

根据弹性土楔aa′b的静力平衡条件,可求得地基的极限承载力pu为:

pu=c Nc+q Nq+1 γb Nr2 (4-18)

式中 Nc,Nq,Nr——无量纲的承载力系数,仅与土的内摩擦角有关,可查表4-3;

d——基础埋深,m;

b——基底宽度,m;

q——基底水平面以上基础两侧的超载q=γmd,k Pa;

γ——基底下土的重度,k N/m3

其他符号同前。

表4-3 太沙基承载力系数

对于局部剪切破坏的情况,太沙基建议用调整c,φ的方法,即

¯c=2 c 3 tanφ¯=2 3tanφ

代替式(4-18)中的c,φ,则有

pu=2 3c N′c+q N′q+1 γb N′r2 (4-19)

式中,N′C,N′q,N′r为局部剪切破坏的承载力系数,根据降低后的内摩擦角仍由表4-1查得。

当基础不是条形时,理论上还没有得出解答,太沙基建议按以下公式计算。

对于边长为b的方形基础:

pu=1.2c Nc+q Nq+0.4γb Nr

对于直径为b的圆形基础:

pu=1.2c Nc+q Nq+0.6γb Nr

边长为b和l的矩形基础可按b/l值在条形基础(b/l=0)和方形基础(b/l=1)之间内插求得极限承载力。

2.魏西克极限承载力公式

魏西克在20世纪70年代提出了条形基础在中心荷载作用下的极限承载力公式:

pu=c Nc+q Nq+1 2γb Nr(4-20)

公式的形式虽然与太沙基公式相同,但承载力系数取Nc,Nq,Nr取值都有所不同,见表4-4。

表4-4 魏西克承载力系数

魏西克承载力系数也可按下式计算:

Nq=exp(πtanφ)tan2(45°+φ2)(4-21a)

Nc=(Nq-1)cotφ(4-21b)

Nr=2(Nq+1)tanφ(4-21c)

魏西克还研究了基础底面的形状、荷载偏心、倾斜、基础两侧覆盖土层抗剪强度的影响,按下述要求对其公式进行了修正。

1)基础形状的影响

式(4-20)适用于条形基础,对于方形和圆形基础,可采用下列经验公式:

pu=c NcSc+q NqSq+1 2γb NrSr(4-22)

式中,Sc,Sq,Sr为基础形状系数,按下列公式确定:

矩形基础

Sc=1+b Nq l Nc (4-23a) Sq=1+b ltanφ Sr=1-0.4bl (4-23b) (4-23c)

式中 b——基础宽度;

l——基础长度。

方形和圆形基础:

Sr=0.6 Sq=1+tanφ Nq NcSc=1+ (4-24a) (4-24b) (4-24c)

2)偏心、倾斜荷载的影响

偏心荷载作用时,如为条形基础,用有效宽度b′=b-2e(e为偏心距)来代替原来的宽度b;如为矩形基础,则用有效面积A′=b′l′代替原来面积A,其中,b′=b-2eb,l′=l-2el,eb、el分别是荷载在短边和长边方向的偏心距。

对于倾斜荷载,用荷载倾斜因数对承载力公式进行修正。如果偏心和倾斜同时存在,则极限承载力按下式确定:

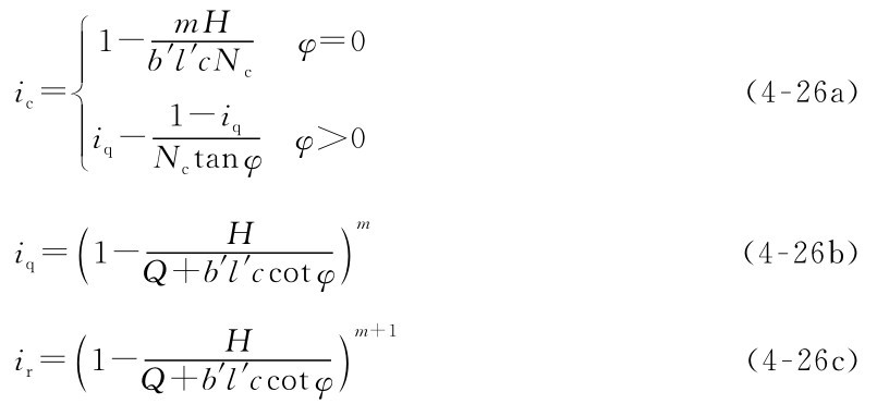
pu=c NcScic+q NqSqiq+1 2γb NrSrir(4-25)

式中,ic,iq,ir为荷载倾斜系数,由下列公式确定:

■ m H 1-b′l′c Ncφ=0 ic=■■iq-1-iq (4-26a) Nctanφφ>0 iq=1- H(Q+b′l′ccot )φm(4-26b) ir=1- H(Q+b′l′ccot )φm+1(4-26c)

Q,H——倾斜荷载在基底上的垂直分力和水平分力,k N;

l′,b′——基础的有效长度和宽度,m;

m——系数,由以下公式确定:

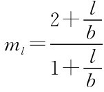
当荷载在短边方向倾斜时

mb=2+b l 1+b l

当荷载在长边方向倾斜时

ml=2+l b 1+l b

对于条形基础 m=2

(3)基础两侧覆盖土层抗剪强度的影响

若考虑基础两侧覆盖土层抗剪强度,极限承载力的表达式为:

pu=c NcScicdc+q NqSqiqdq+1 γb NrSrirdr2 (4-27)

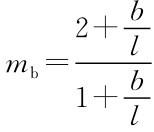
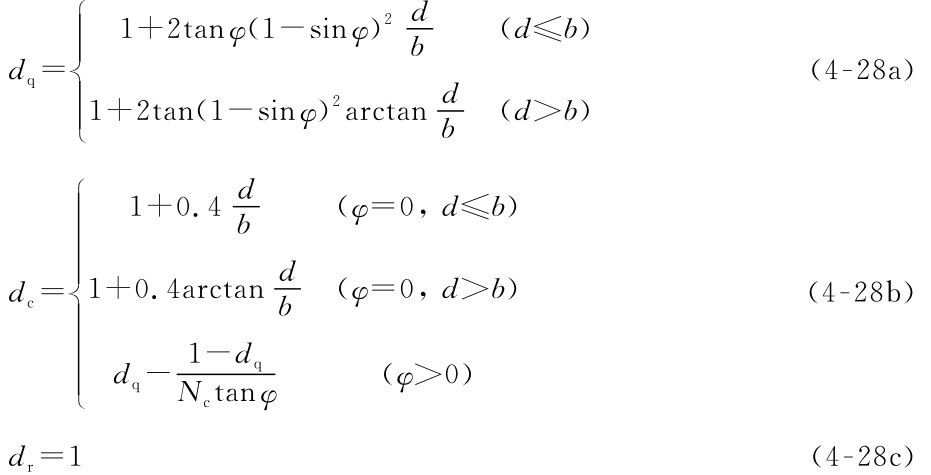
式中,d C,dq,dr为基础埋深修正系数,按下列公式确定:

■dq=■■1+2tanφ(1-sinφ)2db(d≤b) (4-28a) 1+2tan(1-sinφ)2arctandb (d>b■dc=■) 1+0.4d b(φ=0,d≤b) 1+0.4arctandb (φ=0,d>b)■dr=1 dq-1-dq Nctanφ )(φ>0 (4-28c) (4-28b)

魏西克极限承载力公式考虑以上因素后,可以解决一系列工程问题。除此之外,魏西克还提出了在极限承载力公式中列入压缩影响系数,以考虑局部剪切破坏或冲剪破坏时土压缩变形的影响。