1
土力学与基础工程
1.8.6 4.6 土抗剪强度的影响因素

4.6 土抗剪强度的影响因素

影响土抗剪强度的因素很多,主要有以下几种。

1.土粒的矿物成分、形状和级配

一般说来,土Η 愈大,形状愈不规则,表面愈粗糙,级配愈好,则抗剪强度愈高。无黏性土土粒的矿物成分,无论是云母还是石英、长石,对其内摩擦角的影响都很小,而黏性土土粒的矿物成分对其抗剪强度(主要是黏聚力)有显著的影响。

2.土的初始密度

土的抗剪强度一般随初始密度的增大而提高。这是因为:无黏性土的初始密度愈大,则土粒间相互嵌入的连锁作用愈强,受剪时须克服的咬合摩阻力就愈大;而黏性土的初始密度愈大,则意味着土粒间的间距愈小,结合水膜愈薄,因而原始黏聚力就愈大。

如图4-20所示的是不同密实程度的同一种砂土在相同周围压力σ3下受剪时的应力-应变关系及体积变化。从图中可见,密砂的剪应力随着剪应变的增加很快增大到某个峰值,而后逐渐减小一些,最后趋于某一稳定的终值,其体积变化开始时稍有减小,随后不断增加(呈剪胀性);而松砂的剪应力随着剪应变的增加则缓慢地逐渐增大并趋于某一最大值,不出现峰值,其体积在受剪时相应减小(呈剪缩性)。所以在实际允许较小剪应变的条件下,密砂的抗剪强度显然大于松砂。

图4-20 砂土受剪时的应力-应变、体变-应变的关系

3.土的含水量

尽管水分可在无黏性土的粗Η 表面产生润滑作用,使摩阻力略有降低,但试验研究表明,饱和状态时砂土的内摩擦角仅比干燥状态时小1°~2°。因此,可认为含水量对无黏性土的抗剪强度影响很小。

对黏性土来说,水分除在黏性土的较大土粒表面形成润滑剂而使摩阻力降低外,更为重要的是,土的含水量增加时,吸附于黏性土中细小土粒表面的结合水膜变厚,使土的黏聚力降低。所以,土的含水量对黏性土的抗剪强度有重要影响,一般随着含水量的增加,黏性土的抗剪强度降低。联系实际,凡是山坡滑动,通常都在雨后,雨水入渗使山坡土中含水量增加,降低土的抗剪强度,导致山坡失稳滑动。

4.土的结构

土的结构对黏性土的抗剪强度有很大影响,但由于黏性土具有触变性,因扰动而削弱的强度经过静置又可得到一定的恢复。一般原状土的抗剪强度比相同密度和含水量的重塑土要高。

5.应力历史

超固结土由于有效应力大,其抗剪强度τf值比正常固结土的大,而正常固结土的又比欠固结土的大。

6.荷载的性质及加荷速率

动荷载使土的性质改变,使土的内摩擦角和黏聚力下降,因而使土的抗剪强度降低,特别是黏性土,突然加荷会使孔隙水排不出,有效应力低,导致抗剪强度下降。

7.土的各向异性

各向异性、天然沉积的土层,一般在沉积方向最密实,其强度也就最大。

8.试验方法

这是人为的影响土抗剪强度的因素。不同试验方法得出土的抗剪强度差别很大,不同试验仪器测得的结果也不同。因此在选择试验方法时要密切结合工程情况,选择和工程情况接近的试验方法。如软土地基上放一油罐,计算地基强度时就要选择快剪的试验方法,因为软土渗透系数低,油罐储油快,加荷时间短,土孔隙中的水排不出去,快剪最符合工程况。

9.时间因素

土体的抗剪强度和剪切作用时间有关。作用时间越长,土的抗剪强度越低。如果荷载作用时间为无限长,最后导致土体破坏,则相应的强度称长期强度。长期强度问题主要应用在土坡稳定及挡土墙和地下洞室等长期受水平力的结构强度计算中,应特别注意。

因此,土的抗剪强度不同于其他材料,它是一个变值,除随σ而变外,即使同一种土,若试验方法、排水条件或应力历史等不同,测得的抗剪强度c,φ值也不一致,这给土带来了复杂的强度特性。

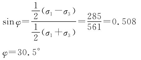
[例4-3] 清洁的干砂试样迸行三轴试验,破坏时轴向应力为285k Pa,室内围压为138k Pa,试确定砂样的强度指标和破坏面上的法向应力和剪应力以及破坏面与水平面的夹角。

解 因为是清洁的干砂,所以c=0。

σ3=138k Pa

σ1=285+138=423k Pa

坐标为圆心,以R=作应力圆A,如图4-21所示。过O点作A圆的切线,即为抗剪强度线。于是有:

图4-21 例4-3图

破坏面为B,破坏面上的法向应力和剪应力τ为:

σ=OC=OBcosφ=(OAcosφ)cosφ=OAcos2φ σ1+σ3= 2cos2φ=208.2k Pa 2cosφ=123k Pa σ1-σ3 τ=

水平面为大主应力平面,所以破坏面与水平面夹角为

α=12(90°+φ)=60°

[例4-4] 已知黏性土试样的有效应力抗剪强度指标为c′=0,φ′=20°。现迸行常规不排水、固结不排水和排水三轴试验(图4-22)。若三轴室压力都保持在210k Pa不变,试作如下计算:

(1)在UU试验时,破坏时的孔隙水压力为140k Pa,试问破坏时最大有效主应力σ1和总应力σ1各为多少?

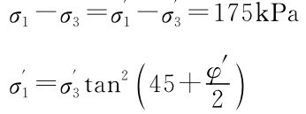
(2)在CU试验时,破坏时σ13=175k Pa,试问破坏时孔隙水压力是多少?

(3)在CD试验时,如果试样内一直保持有50k Pa的孔隙水压力,则破坏时的压缩强度(σ13)等于多少?

图4-22 例4-4图

解 (1)根据题意,破坏时总应力σ3=210k Pa,孔隙压力140k Pa,则有效应力

σ′3=210-140=70k Pa

根据极限平衡条件:

σ′1=σ′3tan2(45+φ′2)=70×tan255°=143k Pa
σ1=σ′1+u=143+140=283k Pa

(2)已知

σ1-σ3=σ′1-σ′3=175k Pa σ′1=σ′3tan2(45+φ′)2

联立求上述两个方程,得:

σ′3=168k Pa
u=σ3-σ′3=210-168=42k Pa

(3)因为

σ′3=σ3-u=210-50=160k Pa σ′1=σ′3tan2(45+φ′)2=160×tan255°=326.3k Pa σ′1-σ′3=326.3-160=166.3k Pa