1
土力学与基础工程
1.8.4 4.4 土的极限平衡条件

4.4 土的极限平衡条件

土体在自重和外荷载作用下,当土中某点的剪应力τ达到土的抗剪强度τf时,就称该点处于极限平衡状态。达到极限平衡状态时土的应力和土的抗剪强度指标间的关系,称为土的极限平衡条件。

4.4.1 土的极限平衡条件

摩尔应力圆表示的是土中一点的应力状态,而抗剪强度曲线也是表示材料受到不同应力作用达到极限状态时,正应力σ与剪应力τ的关系曲线,即库伦定律方程。为了判断土体某点破坏与否,可将摩尔应力圆和σ-τ抗剪强度曲线画在同一张坐标图上,如图4-16所示,它们之间的关系将有下列三种情况:

(1)两者相离,整个摩尔应力圆位于抗剪强度线下方(如圆Ⅰ),说明这个圆所表示的土中这一点在任何方向的平面上,其剪应力τ都小于土的抗剪强度τf,即τ<τf,因此土不会发生剪切破坏。土中这一点处于弹性平衡状态。

(2)摩尔应力圆与抗剪强度曲线相切(如圆Ⅱ),切点为A点。说明在A点所代表的平面上,剪应力τ恰好等于土的抗剪强度τf,即τ=τf,该点处于极限平衡状态,圆Ⅱ称为极限应力圆。

(3)两者相割,即抗剪强度曲线是摩尔应力圆的一条割线(如圆Ⅲ),说明土中过这一点的某些平面上,剪应力τ早已超过土的抗剪强度τf,该点已被剪切破坏。不过实际上这种应力状态是不会存在的。因为在任何物体中,产生的任何应力都不可能超过其强度。

根据第2种情况摩尔应力圆与抗剪强度线相切于一点的几何关系,即可建立以σ1,σ3,c和φ表达的土中一点的极限平衡条件(图4-17)。

图4-16 抗剪强度线与摩尔应力圆间关系

图4-17 土体中一点达到极限平衡状态的莫尔圆

经简化和三角函数运算后,可得:

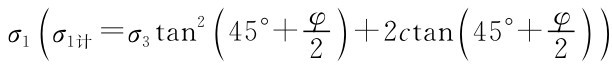
σ1=σ3tan2(45°+φ2)+2ctan(45°+φ2)(4-9a)

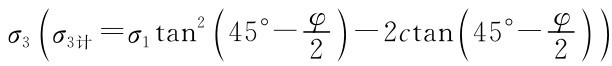
(σ3=σ1tan245°-φ)2-2ctan(45°-φ)2(4-9b)

对无黏性土,因c=0,由式(4-8)、式(4-9a)和式(4-9b)可得无黏性土的极限平衡条件:

sinα=σ1-σ3 σ1+σ3 (4-10) σ1=σ3tan2φ)25°+4((4-11a)

σ3=σ1tan2φ)25°-4((4-11b)

由图4-17中的三角形ARD,根据内、外角的关系可得2αf=90°+φ

αf=45°+φ2 (4-12)

式(4-12)表示在极限平衡条件下,破坏面与最大主应力σ1的作用面夹角αf为45°+,与最小主应力面夹角为45°-

式(4-8)—式(4-12)是土体中一点的极限平衡条件式,用来判断土体是否达到剪切破坏的强度条件,通常被称为摩尔—库伦强度准则。

综合上述分析,土的强度理论可归纳为:

(1)土的强度破坏是由于土中某点剪切面上的剪应力达到了土的抗剪强度所致;

(2)一般情况下,土体剪切破坏时的破裂面不发生在剪应力最大的平面上,而是发生在与大主应力呈αf=45°+φ/2的斜面上,只有φ=0时,剪切破坏面才与剪应力最大的平面一致;

(3)如果同一种土有几个试样在不同的大小主应力组合下受剪破坏,则在σ-τ图上可得到几个摩尔极限应力圆,这些应力圆的公切线就是其强度包线。

4.4.2 极限平衡条件的应用

土中某点是否处于极限平衡状态与σ1,σ3的比值有关。当σ1不变时,σ3越小,土越易破坏;反之,当σ3不变时,σ1越大,土越易破坏。

已知土的土体内某点的主应力为σ1,σ3及c,φ值:

(1)若用式(4-8)判断该点(平面)是否剪破,可将该式左侧视为土实际强度指标φ的正弦值,然后将已知值代入该式等号的右侧,即可得φ的计算的正弦值(因为正弦函数是增函数,所以将正弦值转换成角度值),以实际的φ(φ)与计算的比较[图4-18(a)]:

图4-18 极限平衡关系式的应用

①若φ<φ,表明该点(平面)已被剪破;

②若φ>φ,表明该点(平面)是稳定的;

③若φ,表明该点(平面)处于极限平衡状态。

(2)若用式(4-9a)判断该点是否剪破,可将该式左侧视为土实际的大主应力σ1值,然后将已知值代入该式等号的右侧,即可得计算的大主应力σ1值,以实际的σ1(σ1实)与计算的比较[图4-18(b)]:

①若σ1实>σ1计,表明该点(平面)已被剪破;

②若σ1实<σ1计,表明该点(平面)是稳定的,土体处于弹性平衡状态;

③若σ1实1计,表明该点(平面)处于极限平衡状态。

(3)若用式(4-9b)判断该点是否剪破,可将该式左侧视为土实际的小主应力σ3值,然后将已知值代入该式等号的右侧,即可得计算的小主应力σ3值,以实际的σ3(σ3实)与计算的比较[图4-18(c)]:

①若σ3实<σ3计,表明该点(平面)已被剪破;

②若σ3实>σ3计,表明该点(平面)是稳定的,土体处于弹性平衡状态;

③若σ3实3计,表明该点(平面)处于极限平衡状态。

应该指出的是:

①若土为无黏性土,上述判别法则不变;

②若用有效应力表示的极限平衡关系式,只要将式(4-8)—式(4-11)中的σ1,σ3换成σ′1, σ′3,c,φ换成c′,φ′即可,判别法则类同。

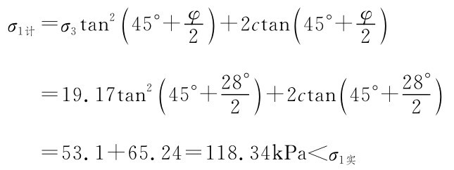
[例4-2] 已知粉质黏土地基中某点M在均布条形荷载作用下引起的大小主应力σ1,σ3分别为σ1=134.53k Pa,σ3=19.17k Pa,并已知地基土的内摩擦角φ=28°,内聚力c=19.6k Pa,试判断该点土体是否破坏?

解法1 用式(4-8),将已知σ1,σ3和c值代入该式等号的右侧,得

φ计=arcsin σ1-σ3134.53-19.17=arcsin σ1+σ3+2ccotφ134.53+19.17+2×19.6cot28°=30.46°>φ实

表明M点已破坏。

解法2 用式(4-9a),将已知的σ3和c,φ值代入式(4-9a)的右侧得

σ1计=σ3tan2(45°+=19.17tan2( φ)2+2ctan(45°+φ)2 2 45°+)28°+2ctan(2 45°+2)8°=53.1+65.24=118.34k Pa<σ1实

表明M点已破坏。

解法3 用式(4-9b),将已知的σ1和c,φ代入式(4-9b)的右侧得

σ3计=σ1tan2(45°-φ)2-2ctan(45°-φ)2=134.53tan2(2 45°-)28°-2ctan(2 45°-2)8°

表明M点已破坏。

解法4 (图解法)在σ-τ同一坐标图中,根据已知的c,φ和σ1,σ3按比例分别画出抗剪强度线和摩尔应力圆,如图4-19所示,实际摩尔应力圆与σ-τf曲线相割,该点已破坏。

图4-19 例4-2图