4.3 土的抗剪强度测定方法
土的强度试验的目的是要确定抗剪强度曲线及其相应的强度指标c和φ。强度指标c和φ是土的重要力学性能指标之一,在计算地基承载力、评价地基的稳定性以及计算挡土墙的土压力时均要用到。
目前已有多种用来测定土的抗剪强度指标的仪器和方法,每一种仪器都有一定的适用性,而试验方法及成果整理亦有所不同。按采用的试验仪器分,有直接剪切试验、三轴压缩试验、无侧限抗压试验、十字板剪切试验等。其中,除十字板剪切试验是在现场原位进行外,其他三种试验均需从现场取土,并通常在室内进行。
4.3.1 直接剪切试验
直接剪切试验所使用的仪器称为直接剪切仪(简称直剪仪)。直剪仪分为应变控制式直剪仪和应力控制式直剪仪两种。我国目前普遍采用的是应变控制式直剪仪,如图4-5所示。
图4-5 应变控制式直剪仪
1—剪切传动机构;2—推动器;3—下盒;4—垂直加压框架;
5—垂直位移计;6—传压板;7—透水板;8—上盒;
9—储水盒;10—测力计;11—水平位移计;12—滚珠;13—试样
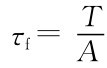
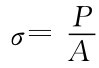
剪切盒由两个可互相错动的上、下金属盒组成。上盒固定不动,下盒可自由移动。试验时,将试样装在盒内上下透水石之间,通过承压板对土样施加竖向荷载P;推动下盒施加剪切力,此时,土样在上、下盒之间固定的水平面上受剪,直至破坏,从而可以直接测得破坏面上的水平力T。若试样的水平截面积为A(即环刀的面积),则土样破坏时,剪切面上的法向应力:
此时土的抗剪强度为
在试验时,通常取3~4个相同的试样,分别在不同的竖向荷载作用下进行剪切,得出相应的抗剪强度τf,以σ为横坐标,τf为纵坐标,就可以得到土的抗剪强度与法向应力的关系(图4-6(b)、4-7(b))。
图4-6表示一种纯净砂土直剪试验的曲线。其中图4-6(a)表示在恒荷载作用下,剪应力与剪切位移之间的关系。从图上可以看出,曲线的特征是每条线都有一个峰值。通常把峰值应力作为土样的抗剪强度。图4-6(b)表示峰值应力与相应的竖向应力之间的关系。干燥的纯砂,强度包线通过原点,其他的情况强度包线不通过原点。
图4-6 砂土的抗剪强度
图4-7表示黏性土的一组试验曲线。黏性土,特别是孔隙比较大、含水量较高的土,应力应变曲线与砂土有较大不同,不呈现峰值。这时,《土工试验方法标准》(GB/T50123—1999)中规定取剪切位移4mm所对应的剪应力为抗剪强度(图4-7(a))。
图4-7 黏性土的抗剪强度
因为直剪试验不能从定量上知道土样的排水固结度,所以根据加荷速率的快慢,将直剪试验分为快剪、固结快剪和慢剪三种试验方法:
(1)快剪(Q):竖向应力施加后,立即进行剪切,目的是不让土样有排水的可能性,如《土工试验方法标准》规定,要使试样在3~5min内剪坏。
(2)固结快剪(R):试验时,先让土样在竖向荷载下充分固结。固结完成后,再进行快速剪切,其剪切速率与快剪相同。
(3)慢剪(S):试验时,先把竖向荷载加在土样上,经过很长一段时间(通常24h)后,缓慢地施加剪应力,要求在40min或更长的时间内完成剪切过程,目的是使土样在剪切时也充分排水。
上述三种方法的试验结果如图4-8。从图中可以看出,c Q>c R>cs,而φQ<φR<φs。
图4-8 三种直剪试验方法成果的比较
表4-1 土样受到的竖向压力和水平推力
表4-2 竖向应力和剪应力值
[例4-1] 有三个黏性土试样,作直接剪切试验,试样截面积直径为6.18cm,高为2.1cm。破坏时测得的竖向压力和水平向推力分别列于表4-1中,试确定黏性土的抗剪强度指标。
图4-9 例4-1图
解 土样面积A=
=30cm2=0.003m2
竖向应力σ=
,剪应力τ=
将竖向应力值和剪应力值列表4-2中。
将试验结果,绘制成图4-9的强度线,则截距为c,直线坡角为φ,从图上直接量出c=50k Pa,φ=17°。
直剪试验的优点是仪器构造简单、操作方便,实验原理易理解,一般性的室内试验多采用这种仪器。但也存在着以下缺点,主要有:
(1)剪切破裂面人为地固定为上、下盒之间的水平面,这不符合实际情况,因为该面不一定是土样的最薄弱的面;
(2)剪切面在整个剪切过程中随剪切变形增加而逐渐减小,剪切面上剪应力τ分布不均匀;
(3)试验过程中不易控制排水条件和测定孔隙水压力。
因此,直剪试验不能完全反映实际土体的受力状态和排水条件,对重大工程(如一级建筑物)和一些科学研究,应采用更为完善的三轴压缩试验。
4.3.2 三轴剪切试验
三轴剪切试验是目前测定土抗剪强度较为完善的仪器。三轴试验仪器的构造如图4-10所示。三轴仪主要由压力室、加压系统和量测系统三大部分组成。试样为圆柱形,试样上下两端可根据要求放置透水石或不透水板,然后放置在压力室的底座上,并用橡皮膜将试样包裹起来,避免压力室的水进入到试样中。试样的排水条件可用排水阀控制。试样的底部与孔隙水压力量测系统相连,可根据需要测定试验中试样的孔隙水压力值。
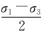
试验时,首先通过阀门向室内施加一个周围压力σ3并保持稳定,然后在试样的轴向通过压力室顶部的活塞杆,在试样上施加一个轴向力(σ1-σ3),逐渐加大(σ1-σ3)的值,直至土样达到破坏。根据作用于试样上的周围压力σ3和破坏时的轴向力(σ1-σ3)f,绘制摩尔应力圆。同一种土取若干个试样,在不同的σ3作用下,便可画出相应的一组极限应力圆,这些圆的公切线(或称包线)即为抗剪强度包线,一般接近直线,它在纵轴上的截距和倾角就是土的c,φ值,如图4-11所示。
图4-10 三轴仪
图4-11 抗剪强度曲线及相应的强度指标图
按照试样的固结排水情况,常规三轴试验有三种方法。
1.不固结不排水剪(UU试验)
不固结不排水剪,简称不排水剪。试验时,先关闭排水阀,然后施加周围压力σ3,再施加垂直轴向压力(σ1-σ3)。在整个试验的过程中,排水阀始终关闭,不允许试样中的水分排出,因此,试样在加压和剪切过程中,含水量保持不变。试验和有效应力原理都证明了含水量相同的饱和试样,尽管σ3不同,但剪切时的(σ1-σ3)f则基本相同。所以,抗剪强度包线是一条水平线,如图4-12所示。
图4-12 饱和黏土不排水剪(UU)抗剪强度包线
图4-13 三轴固结不排水剪抗剪强度包线
不排水剪的内摩擦角φu=0,黏聚力cu=
。
2.固结不排水剪(CU)
在试验时先对土样施加σ3,然后打开排水阀门,使试样排水固结。试样排水终止,固结完成时,关闭排水阀,在不排水条件下施加(σ1-σ3)直至试样破坏。在试验过程中,如需量测孔隙水压力,就打开孔压u量测系统的阀门。图4-13所示为一组CU试验结果。
3.排水剪(CD试验)
试验时,在施加σ3和(σ1-σ3)过程中,打开排水阀,让试样充分排水固结,放慢(σ1-σ3)加荷速率,并使试样在孔隙水压力为零的情况下达到破坏。因此,施加的应力就是作用于试样上的有效应力,总应力圆就是有效应力圆,总应力强度包线就是有效应力强度包线。试验证明,固结排水剪强度指标cd,φd与固结不排水试验得到的指标很接近,由于这种试验费时多,尤其对黏性土因固结时间更长,故实际应用中常用固结不排水剪指标c CU,φCU来代替cd,φd。
三轴剪切试验的突出优点是能严格地控制排水条件及可以量测试样中孔隙水压力的变化。此外试样中的应力状态也比较明确,破裂面不是人为的,而是在最薄弱处。三轴试验的缺点主要是仪器设备与试验操作较为复杂。
4.3.3 无侧限抗压强度试验
无侧限抗压强度试验相当于围压为零的三轴试验,其设备如图4-14(a)所示,适用于饱和黏土。试验时,将圆柱形试样放在底座上,在围压σ3=0的条件下通过施加轴向压力,直到试样破坏为止。剪切破坏时,试样所能承受的最大轴向压力qu称为无侧限抗压强度。由于侧向压力等于零,只能得到一个极限应力圆(图4-14(b)),因此,难以做出强度破坏包线。
图4-14 无侧限抗压强度试验
对于饱和黏性土,根据其三轴不固结不排水试验的结果,其内摩擦角φu=0,在这种情况下就可以根据无侧限抗压强度得到土的不固结不排水强度cu(图4-14(b)):
无侧限抗压强度试验还可用来测定黏性土的灵敏度St,参见1.4节。
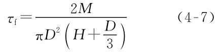
4.3.4 十字板剪切试验
十字板剪切试验是在现场进行的一种原位测试试验,通常用于测定饱和黏土的原位不排水剪强度。该试验所用仪器称十字板剪切仪,如图4-15所示。它主要由十字板头、加荷装置和测力装置组成。试验时,先在现场测试的位置钻孔,并把套管下到需要的深度,清除管内的土。然后在地面上以一定的转速对它施加扭矩,使板内的土体与其周围土体发生剪切,直到剪破为止。破坏体为十字板旋转所形成的圆柱体。
若剪切破坏时所施加的扭矩为M,则它应该与剪切破坏圆柱面(包括侧面和上、下面)上土的抗剪强度所产生的抵抗力矩相等。根据这一关系,可得土的抗剪强度τf (假定侧面和上下顶面的抗剪强度相等)
图4-15 十字板剪切仪及其试验示意图
式中 τf——现场十字板测定的抗剪强度,k Pa;
M——剪坏时施加的扭矩,k N·m;
H,D——分别为十字板的高度和宽度,m。
十字板剪切试验设备简单、操作方便、土样扰动少。其缺点是,土中应力分布复杂,且假定圆柱侧面与上下端面的抗剪强度相等与实际有些出入,因为天然土的抗剪强度是各向异性的。
十字板剪切试验所得结果相当于不排水抗剪强度。