3.4 地基沉降与时间的关系
在建筑工程的设计和施工中,有时除了需要计算建筑物地基的最终沉降量,还需预估建筑物地基达到某一沉降量所需的时间或者预估建筑物完工以后经过一定时间可能产生的沉降量,即地基变形与时间的关系。
地基的变形也就是土中孔隙体积的减少,对饱和土来讲,要产生变形,就要将占据土中孔隙的水排挤出去。不同的土,透水性差别很大,因此,各种土完成最终沉降量所需的时间长短不一。一般地,碎石土和砂土透水性好,可认为在施工完成后,其变形也基本完成。对于低压缩性的黏土,施工完毕时可认为已完成最终沉降量的50%~80%;对于中压缩性黏土,可完成最终沉降量的20%~40%;而对于高压缩性黏土,施工完毕时只能完成5%~20%,完成最终沉降量需要几年甚至十几年时间。因此,实践中一般只考虑黏性土和粉土的变形与时间的关系。
3.4.1 土层的应力历史
1.前期固结压力
土不是一种纯弹性材料,它具有某些特殊性能,其中之一就是它能够把历史上曾经承受过的应力信息储存起来。只要经受过外力作用,在土体内部或多或少会留下一些痕迹,这种痕迹就反映了土体的应力历史。
在3.2节土的压缩试验中,已讲述过压缩试验成果可用e-lgp曲线表示。图3-12表示的是两个土样的原状和扰动后的e-lgp曲线,很明显,原状土的应力-应变曲线可以分为两段:当压力较小时,曲线接近于水平线;当压力较大时,则成为向下斜的另一条直线。而扰动土没有这样的性质。习惯上,把e-lgp曲线的转折点所对应的压力称为“前期固结压力”,用pc表示。
图3-12 黏性土的压缩曲线
2.沉积土层的应力历史
土层历史上所受荷载,即应力历史对黏性土的压缩性的影响十分显著。应力历史不同的土,其压缩性将大不一样。因此,把黏性土地基按历史上曾受过的最大压力pc(称为前期固结压力)与现在所受的土的自重压力p0相比较,可分为以下三种类型:
(1)正常固结土
正常固结土是指土层历史上经受的最大压力为现有覆盖土的自重压力,即pc=p0,如图3-13(a)所示。土体逐渐沉积到目前地面的标高,并在土的自重压力作用下已固结稳定。
(2)超固结土
超固结土是指该土层历史上曾经经受过大于现有覆盖土重的前期固结压力,即pc>p0,如图3-13(b)所示。历史上最高地面比现在高,后因各种原因(包括水流冲刷、冰川作用及人类活动等),地面降至目前标高。
(3)欠固结土
欠固结土是指土层在目前的土重作用下,还没有达到完全固结的程度,自重固结完成后的地面将低于现在地面,土层实际固结压力小于现有的土层自重应力,即pc<p0,如图3-13 (c)所示。
图3-13 黏性土按受压历史的分类
3.4.2 饱和土的有效应力原理
图3-14表示土体中的某一断面,孔隙被水所充满,由于孔隙是连续的,所以孔隙水也是连续的,并且与地下水自由连通。当有上部应力σ作用时,在b—b剖面上应有孔隙应力和固体颗粒之间的接触应力与之平衡。
图3-14 总应力、有效应力及孔隙水压力
现考虑3-14(b)的平衡条件,设横断面面积为1。应力σz是由b—b面上面的土体的重力、静水压力以及外荷载所产生的应力,称为总应力。设孔隙水压力为u,作用在土ё 触点上的各力表示为F1,F2,F3,…各接触面面积为A1,A2,A3。垂直于b—b面的F1,F2, F3,…各力的法向分量的和称为有效应力:
根据静力平衡条件
ΣAi是单位面积内土Η 的接触面积,其值虽然无法准确知道,但它不会大于土的横断面积的百分之三,故认为ΣAi=0,则σz=σ′z+u
σ=σ′+u(3-16a)
σ′=σ-u(3-16b)
图3-15 固结现象的简单模拟
式(3-16)就是土有效应力原理的数学表达式,有效应力等于总应力减去孔隙水压力。孔隙水压力沿各个方向都是相等的,由于土Η 的压缩模量很大,所以孔隙水压力不会引起土体的压缩变形,只有有效应力才会使土骨架发生变形。
有效应力原理在土力学中很重要,因为有效应力控制了土的变形及强度性能,这可从图3-15的弹簧-水模型中清楚地看出。在这个模型中,弹簧代表土骨架,黏滞性流体代表孔隙中的水,活塞上开的小孔表示黏性土的渗透系数很小。在活塞上施加总应力为σ的荷载,刚加荷时(t=0),水还没有来得及从小孔中排出,这时总应力全部由超孔隙水压力u承受。经过充分长的时间(t→∞)后,孔隙水压力u=0,水不再从小孔中排出,总应力u全部由有效应力σ′承受,这时,活塞不再下沉,固结完成。即
t=0:σ=0+u
t→∞:σ=σ′+0
从上述固结现象的模拟过程可看出:在某一压力作用下,饱和土的固结过程就是土体中各点的超孔隙水压力不断消散、有效应力相应增长的过程,或者说是超孔隙水压力逐渐转化为有效应力的过程,而在这种转化的过程中,任一时刻任一深度上的应力始终遵循着有效应力原理。
3.4.3 太沙基一维固结理论
太沙基(Terzdghi,1925)提出了饱和土的一维固结理论,这一理论计算十分简便,因而在建筑工程中应用很广。
1.基本假设
(1)土层是均质的、各向同性和完全饱和的;
(2)土粒和孔隙水是不可压缩的;
(3)水的渗出和土层的压缩只沿一个方向(竖向)发生;
(4)水的渗流服从达西定律;
(5)在整个渗流过程中,土的渗透系数k、压缩系数a视为不变的常数;
(6)外荷载一次瞬时施加,土体承受的总应力不随时间变化。
2.一维固结微分方程及其解答
太沙基基于上面的假设,推导出了热传导型的一维固结微分方程:
式中 Cv——固结系数,
u——经过时间t时深度z处的孔隙水压力值;
k——土的渗透系数,m/a;
e——土的天然孔隙比;
γw——水的重度,γ=10k N/m3;
a——土的压缩系数,MPa-1。
在具体工程实践中,可根据不同的初始条件和边界条件求式(3-17)的特解。
如图3-16所示,在厚度为H的饱和土层的顶面是透水的,底面不透水,假设该土层在其自重作用下的固结已完成,由于顶面作用瞬间施加的无限宽广的均布荷载p0,使土层排水固结。
图3-16 饱和黏性土的一维渗流固结
根据图3-16所示的土层和受荷情况,可求得式(3-17)的特解。这些初始条件和边界条件(可压缩土层顶、底面的排水条件)为
(1)当t=0及0≤z≤h时 u=σz
(2)当0<t<∞及z=h时 
(3)当t=∞及0≤z≤h时 u=0
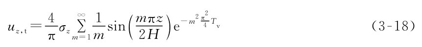
根据以上这些条件,采用分离变量法求得式(3-17)的特解为:
式中 m——正奇数(1,3,5,…);
e——自然对数底数;
H——排水最长距离(cm),当土层为单面排水时,H等于土层厚度;当土层上下双面排水时,H取土层厚度的一半;
Tv——时间因数(无量纲)按下式计算:
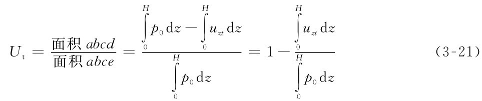
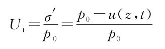
3.地基固结度
衡量土固结完成的程度,称为固结度Ut,即
在任意深度z处孔隙水压力为u(z,t),则固结度的表达式为
土层的固结度也可表示为某一时刻的有效应力面积与最终时刻的有效应力面积之比,在图3-16中,可用下式表示:
将式(3-18)代入式(3-21),积分化简后,得
式(3-22)为一收敛很快的级数,在实际应用中,取第一项即可满足工程精度的要求,这时公式(3-22)可近似写成
上面推导的固结度的公式仅适用于图3-16(总应力沿土层深度均匀分布)的情况,在实际工程中,它相当于地基在自重作用下固结已完成,且基底面╊ 大、压缩层相对很薄的情况。对于不同的固结条件,即固结土层中不同的附加应力分布和排水条件,固结度计算公式亦不相同。在工程中遇到的情况都比较复杂,为简化计算,根据固结土层的附加应力(对欠固结土包括土层自重应力)的分布和排水条件,分成五种情况,如图3-17所示。
情况0:基础底面╊ 大而压缩土层较薄的情况。
情况1:地基中应力层三角形分布,例如大面积新沉积土层中由于自重应力而产生固结的情况。
情况2:相当于土层基底面积较小,土层很厚,在压缩土层底面的附加应力已接近零的情况。
情况3:相当于土层在自重应力作用下尚未固结完毕,又受到荷载作用的地基。
情况4:与情况2相似,但相当于在压缩土层底面附加应力还不接近于零的情况。
图3-17中的α值为土层透水面处的附加应力σza与不透水面处的附加应力σzp之比,即
不同固结情况其固结度计算公式虽不同,但它们都是时间因数的函数,即
Ut=f(Tv)
图3-17 一维渗透固结理论曲线
为便于应用,将上述各种附加应力分布下的地基固结度的解绘制成如图3-17所示的Ut-Tv关系曲线(渗透固结理论曲线)。
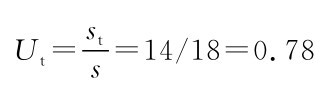
我们知道,土的固结沉降与有效应力面积成正比,所以,土层的固结度Ut还可以用土体在固结过程中某一时刻的固结沉降量st与最终固结沉降量s的比值来表示:
式中 st——经过时间t,地基所产生的沉降量;
s——地基的最终沉降量。
所以,只要能求出任一时刻t的固结度,即可求出该时刻相应的沉降量st=Uts。
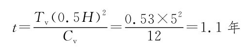
[例3-3] 有一饱和黏土层,厚度为10m,在大面积荷载p0=120k Pa的作用下。该土层的初始孔隙比e1=1.0,压缩系数α=3×10-4k Pa-1,渗透系数k=0.018m/a。对黏土层在单面及双面排水条件下求:(1)黏土层的最终沉降量;(2)加荷一年时的沉降量;(3)沉降量达14cm所需的时间。
解 (1)黏土层的最终沉降量
因为是大面积荷载,所以,黏土层中附加应力沿深度是均匀分布的,
σz=p0=120k Pa
最终沉降量
(2)t=1年时的沉降量
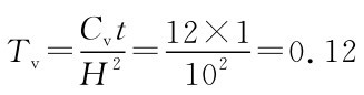
黏性土的竖向固结系数:
对于单面排水条件下:
时间因数
土层中的应力分布属于情况0,参数α=1,由Tv=0.12及α=1值从图3-17中查得土层的平均固结度Ut=0.39。
加荷一年时的沉降量为
st=Uts=0.39×18=7cm
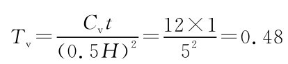
对于双面排水条件下:
时间因数
由Tv=0.48及α=1值从图3-17中查得土层的平均固结度Ut=0.75,加荷一年时的沉降量为:
st=Uts=0.75×18=13.5cm
(3)求沉降量达14cm所需的时间
固结度为
由图3-17中查得时间因数
Tv=0.53
对于单面排水条件下:
对于双面排水条件下:
3.4.4 与固结相关的施工方法
1.慢速加荷法
在同样软弱的地基上ī 同样高度的填土时,如果是很快地加荷,黏土地基会被破坏,如果缓慢地加荷,地基土不会被破坏。这是因为缓慢地加荷时,黏性土有时间固结,由于固结,土体强度提高,就可以使土体承受相应的荷载。这一现象是像铁、混凝土等其他材料所没有的,是土特有的现象。
2.竖向排水固结法
对渗透性很小的软弱地基来说,慢速加荷法需要耗费很多时间。为了缩短固结时间,可采用砂井排水法(sand drain)或塑料排水板排水法(plastic vertical drain,简称PVD)。我们来看一下时间因数Tv=Cvt/H2,可知当时间因数Tv一定时,时间t与排水距离H的平方成正比,如果能缩短排水距离,时间就可以大大缩短(如果H减小到1/10,时间就可以缩短到1/100)。因此,如图3-18所示,在黏土地基中,以适当的间距垂直打设砂井,在加荷时,除了上下方向排水外,在水平方向上还会向着砂井呈放射状地排水,排水距离大大缩短。
图3-18 砂井排水和排水方向
3.超载预压法
在软弱地基上,先设置比构筑物荷载稍大一些的堆土、临时加荷,等固结完成后卸载。然后再施加构筑物荷载,这时地基的沉降量会比直接施加设计荷载小得多。这是因为在设计荷载作用下的固结沉降量由于预堆土已事先发生了,以后再施加构筑物荷载时产生的沉降量就小得多了。像这种在地基上事先施加比设计荷载大的临时荷载,使地基产生超固结,从而控制沉降的施工方法叫作超载预压法。预加载法可与砂井排水法结合使地基在临时荷载作用下的沉降量尽快完成,使工期缩短。