1
土力学与基础工程
1.7.3 3.3 地基最终沉降量计算

3.3 地基最终沉降量计算

地基最终沉降量是指地基土层在荷载作用下沉降完全稳定以后的沉降量。目前,计算地基最终沉降量的实用方法主要有三种:分层总和法、《规范》法和考虑土结构强度(所谓应力历史)的沉降计算法。本节主要介绍分层总和法和《规范》法。

3.3.1 分层总和法

分层总和法是在地基压缩层深度范围内,分层计算竖向压缩量,然后相加即得地基的最终沉降量。一般是以基底中心点的沉降代表基础的最终沉降量,欲计算沉降差或基础倾斜度时,需计算出有关点的沉降量。

分层总和法的计算步骤如下:

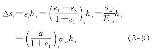
(1)计算地基土层的自重应力σc及基础中心点以下土的附加应力,并绘制σc及σz曲线(图3-9)。计算附加应力σz时,要注意相邻荷载的影响。

(2)确定地基沉降计算深度zn。理论上应计算至无限深,工程上因地基中的附加应力σz随深度而减小,深度愈大,附加应力愈小,产生的变形也愈小,至一定深度(即受压层)时,该变形可忽略不计。确定计算深度zn的方法是:该深度处应符合σz≤0.2σc的要求,若其下方还存在高压缩性土,则要求σz≤0.1σc

图3-9 地基最终沉降量计算的分层总和法

(3)地基土分层。成层土的层面及地下水面是当然的分层面。为保证计算的精确度,每个压缩层的厚度不能太厚,每个分层的厚度控制在hi为1~2m或hi≤0.4b。

(4)计算各分层的自重应力平均值σ¯ci=(σc(i-1)ci)/2和附加应力平均值σ¯zi=(σz(i-1)zi)/2。由p1i=σ¯ci和p2i=σ¯ci+σ¯zi从土的压缩曲线(即e-p曲线)上查得的相应孔隙比e1i,e2i,即可计算各分层的压缩量

地基的最终沉降量s等于有限深度范围内各分层土竖向压缩量Δsi之和,即

式中 s——地基最终沉降量,m;

Δsi——第i层土的压缩量,m;

hi——第i层土的厚度,m;

εi——第i层土的平均竖向应变;

e1i,e2i——分别由第i层土的σ¯ci和σ¯ci+σ¯zi从土的压缩曲线上查得的相应孔隙比;

ai,Esi——分别为第i层土的压缩系数(MPa-1)和压缩模量(MPa)。

式(3-10)中有三个公式,可根据已知条件,选用其中一个进行计算。

[例3-1] 某厂房为框架结构独立基础(图3-10(a)),基础底面积为正方形,边长l=b=4.0m,基础埋深d=1.0m。基础底面总应力为110.0k Pa。地基为粉质黏土,土的天然重度γ=16.0k N/m3。地下水位深度3.4m,水下土的饱和重度γsat=18.2k N/m3。土的e-p曲线如图3-10(b)所示。计算柱基中点的沉降量。

解 (1)计算基底附加压力p0

p0=p-σc=p-γmd=110-16×1.0=94.0k Pa

(2)计算基础中心线下自重应力(从地面算起)并绘制分布曲线。计算自重应力时,在地下水位以下应取有效重度。

基础底面 σcdmd=16×1.0=16k Pa

地下水位处 σCW=γ×3.4=16×3.4=54.4k Pa

地面下2B处 σC8=3.4γ+4.6γ′=54.4+4.6×8.2=92.1k Pa

图3-10 例3-1图

(3)计算基础中心线下附加应力的分布。

基础底面为正方形,用角点法计算,分成相等的四小块,计算边长l=b=2.0m。附加应力σz=4Kcp0,其中,应力系数Kc查表2-3,计算结果见表3-1。

表3-1 例3-1中附加应力计算

(4)确定地基沉降计算深度(受压层深度)zn

由图3-10(a)中自重应力和附加应力两条分布曲线,寻找σz=0.2σc的深度zn。在深度z=6.0m处,σz=16.8k Pa,σc=83.9k Pa,σzc≈0.2,故受压层深度zn=6.0m。

(5)地基沉降计算分层

计算层每层厚度hi≤0.4b=1.6m。地下水位以上2.4m分两层,各1.2m;第三层1.6m;第四层因附加应力很小,可取2.0m。

(6)各分层的沉降计算

根据公式

根据图3-10(b)中地基土的压缩曲线,由各层土的平均自重应力σ¯zi查得初始孔隙比e1i;由各层土的平均自重应力与平均附加应力之和¯σci+σ¯zi查得相应的孔隙比e2i。计算结果列于表3-2。

表3-2 例3-1中沉降计算

(7)计算柱基中点的总沉降量

n s=ΣΔsi=20.16+14.64+11.46+7.18=53.4mm i=1

3.3.2 《规范》法

《建筑地基基础设计规范》(GB50007—2011)中指出,计算地基变形时,传至基础底面上的荷载效应应按正常使用极限状态下荷载效应的准永久组合,不记入风荷载和地震作用,相应的极限值应为地基变形允许值。

用分层总和法计算地基沉降时,需将地基土分为若干层计算,工作量繁杂。《地基基础设计规范》在分层总和法的基础上提出了一种较为简便的计算方法,它是一种简化并经修正后的分层总和法。它是以天然土层面分层,对同一土层采用单一的侧限条件的压缩指标,并运用平均附加应力系数以简化计算,采用相对变形作为地基沉降计算深度的控制标准,最后引入沉降计算经验系数以调整沉降计算值,使计算结果更接近于实测值。《规范》法又称为应力面积法。

1.《规范》法地基最终沉降量计算公式

将分层总和法计算的沉降量乘以经验系数ΨS,即得《规范》法计算地基最终沉降量的公式:

np0 s=ΨSs′=ΨSΣ i=1Esi (zi¯αi-zi-1¯αi-1)(3-11)

式中 s——基础最终变形量,mm;

ΨS——沉降计算经验系数,根据地区沉降观测资料和经验确定,无地区经验时可根据变形计算深度范围内压缩模量的当量值(¯Es),基底附加压力,也可查表3-3。

s′——按分层总和法计算的基础变形量,mm;

n——地基变形计算深度范围内的土层数,一般以天然土层分界面划分;

p0——对应于荷载效应准永久组合时的基底附加压力,k Pa;

Esi——第i土层的压缩模量,MPa,应取土的自重压力至土的自重压力与附加压力之和的压力段计算;

zi,zi-1——分别为基础底面至第i土层和第i-1土层底面的距离,m;

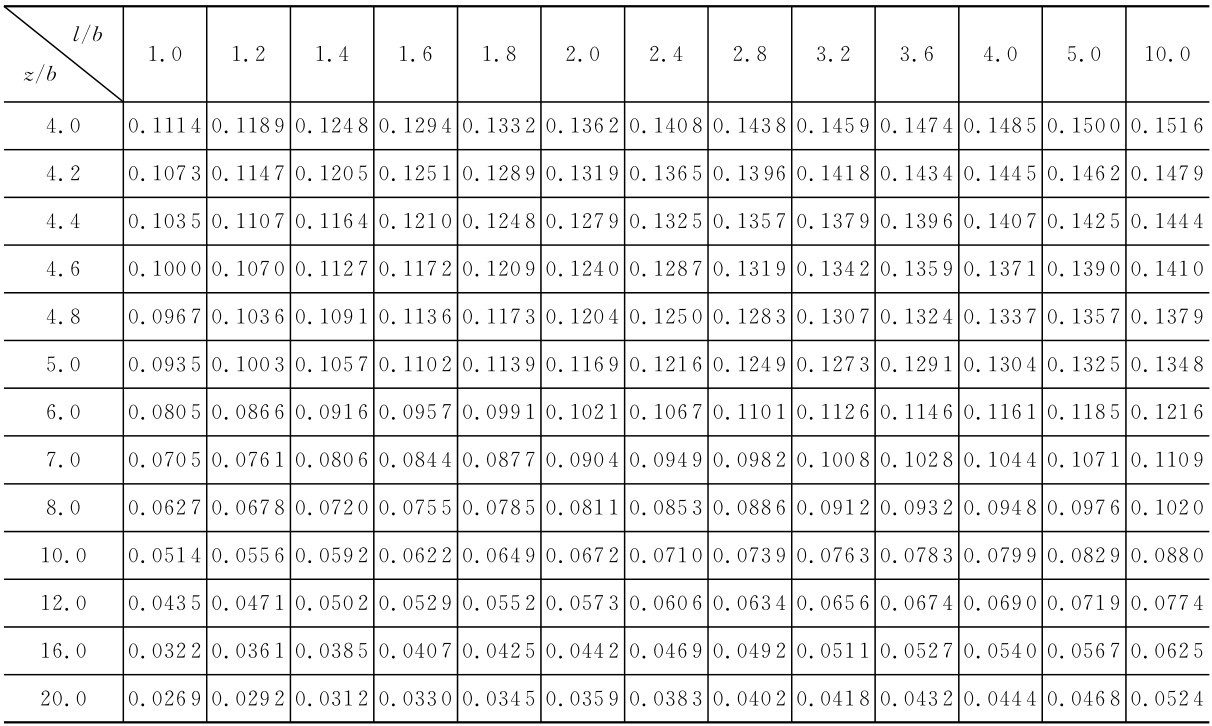
——分别为基础底面至第i层和第i-1层土底面范围内的平均附加应力系数,对矩形基础可由l/b及z/b由表3-4查取,表中l为长边、b为短边,对条形基础可按l/b=10查表;

——基础底面至第n层土底面范围内的平均附加应力系数。

表3-3 沉降计算经验系数ΨS

注:(1)fak为地基承载力特征值,其意义和确定方法见第八章第四节。

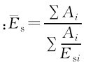
(2)表中¯Es为沉降计算深度范围内压缩模量的当量值,可按下式计算(3-12)

式中,Ai为第i层土附加应力系数沿土层厚度的积分值 (3-13)

表3-4 均布矩形荷载角点下的平均附加应力系数¯α

续表

2.沉降计算深度的确定

《建筑地基基础设计规范》(GB50007—2011)规定:当满足下列条件时的深度zn即为地基压缩层下限:

式中 Δs′i——在zn范围内第i土层的计算变形值(mm);

Δs′n——在深度zn处向上取一定厚度Δz的薄土层的计算变形值(mm),Δz可由表3-5查得。

按式(3-14)确定的计算深度下面如仍有软软土层时,尚应向下继续计算,直至再次满足式(3-14)为止。对无相邻荷载影响的地基,当基础宽度b为1~30m时,也可按下面的简化公式确定zn

zn=b(2.5-0.4lnb)(3-15)

考虑相邻荷载影响时,其平均附加应力系数¯α可按角点法计算,应用叠加原理求得。

表3-5Δz值

[例3-2] 某柱下独立基础的底面积为2.5m×2.5m,基础埋深2.0m,上部结构传至基础顶面的荷载(准永久组合值)F=1600k N。地基土层分布及相关指标如图3-11所示。按《规范》法计算柱基中点的最终沉降量。

解 (1)地基压缩层厚度

zn=b(2.5—0.4lnb)=2.5×(2.5-0.4×ln2.5)=5.33m

第三层土的压缩模量较小,应继续往下计算。按表3-5,Δz=0.6m,沉降计算深度取

zn=7.6m。

(2)求基底附加压力

基底压力

基底附加应力 p0=p-σc=p-γmd

=296-19.0×2=260k Pa

图3-11 例3-2图

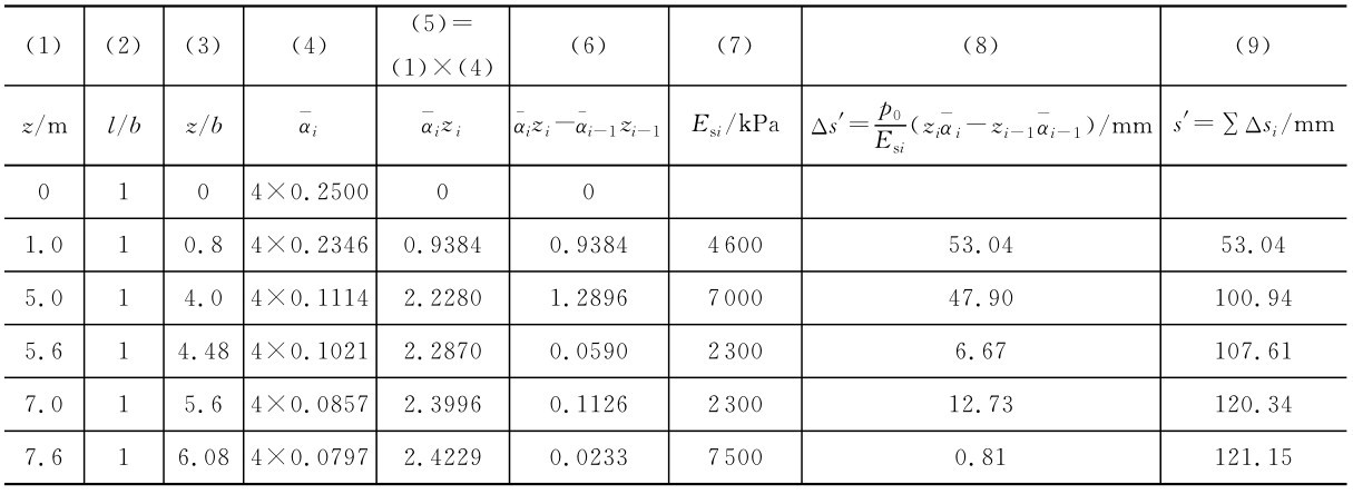
(3)计算地基沉降计算深度范围内土层的压缩量,如表3-6所示。

表3-6 土层的压缩量计算

以第1层为例:该层顶面和底面各位于基础底面以下z=0及z=1.0m处。

顶面处:l/b==1.0,z/b=0,查表3-4得

¯α0=4×0.2500=1.0000

底面处:l/b==1.0,z/b=1.0/1.25=0.8,查表3-4得

¯α1=4×0.2346=0.9384

=0.05304m=53.04mm

(4)复核计算深度

假设zn=5.6m,向上取Δz=0.6m,

应再往下计算,zn=7.6m,向上取Δz=0.6m,

满足规范的计算要求。

(5)计算最终沉降量

压缩层范围内土层压缩模量当量值E¯s

沉降计算经验系数ψs:E¯s=5.20MPa,P0=260k Pa>220k Pa,查表3-3有ψs=1.18,则地基最终沉降量

s=ψss′=1.18×121.15=142.96mm

3.3.3 分层总和法与《规范》法的比较

现将分层总和法和《规范》法从计算原理、计算结果与实测值的关系以及沉降计算深度等角度作比较,见表3-7。

表3-7 两种地基沉降计算方法比较