1
土力学与基础工程
1.7.2 3.2 土的压缩试验及指标

3.2 土的压缩试验及指标

3.2.1 室内侧限压缩试验和压缩性指标

1.压缩试验

室内侧限压缩试验是把钻探取得的原状土样(即天然结构未破坏的土样),在没有侧向膨胀的条件下进行压缩试验,由此测定土的应力-应变关系及其压缩性指标。

室内侧限压缩试验主要适用于黏性土,特别是饱和黏性土。图3-1是压缩仪示意图。用金属环刀(内径60~80mm,高2cm)从原状土样切取试件,将试件连同环刀装入侧限压缩仪的内环中,土样上、下各垫有一块透水石,使土样在压缩过程中孔隙水能顺利排出。由于金属护环和环刀的限制,使得土样在竖向压力作用下只能发生竖向变形,而无侧向变形。因此,本试验得到的是土在完全侧限条件下的压缩性指标。

图3-1 压缩仪示意图

图3-2 土样压缩前后孔隙体积变化

作用在土上的荷载是分级施加的,每次加荷后,要等到土体在本级荷载下压缩至相对稳定后再施加下一级荷载。土样在竖向荷载下的压缩量可采用百分表量测。

如图3-2所示,设土样的初始高度为H0,受压变形稳定后的土样高度为H,则土样的压缩变形量为s=H0-H。土样在压缩过程中的体积变化如图3-2所示。由于压缩前后土粒体积Vs不变,因此,压缩前后土孔隙体积分别为e0Vs和e Vs。因为土样的压缩只是孔隙比e的改变,受压前、后土粒体积和横截面积不变。根据土样压缩前、后土粒体积和土样横截面不变的两个条件,可得:

H01+e0=H1+e=H0-s1+e(3-1a)

整理后可得

这样,只要得到每级荷载p下土样压缩稳定后的压缩量s,就可根据式(3-1b)计算出相应的土样孔隙比e,从而绘制土的压缩曲线,即e-p曲线(图3-3(a))或e-lgp曲线(图3-3 (b))。常规压缩试验的加荷等级一般规定为:25k Pa,50k Pa,100k Pa,200k Pa,400k Pa。第一级压力的大小应视土的软硬程度而定,宜用12.5k Pa,25k Pa或50k Pa,最后一级压力应大于土的自重压力与附加压力之和。

2.土的压缩性指标

压缩曲线反映了土受压后的压缩特性。从e-p曲线可得出压缩系数a、压缩指数Cc和压缩模量Es

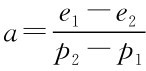
(1)压缩系数a

从图3-3(a)中曲线可以看出,随着荷载p的施加,土的孔隙比e逐渐减小,土不断被压密,e-p曲线也逐渐趋于平缓,即同一个土样在不同荷载等级下的压缩性是不同的。不同的土如果具有不同的压缩性,其e-p曲线的形状也不同,即在相同荷载下土的压缩量或孔隙比减小程度是不同的,e-p曲线越陡,土越容易被压缩。因此,e-p曲线上任意一点的斜率代表了土在对应荷载p时的压缩性大小:

图3-3 土的压缩曲线

式中,负号表示随着压力p的增加,e减小。

实际上,当压力变化不大时,压缩曲线的斜率可以近视用割线M1M2斜率表示(图3-4),斜率为

图3-4 土的压缩系数的确定

式中 a——土的压缩系数,k Pa-1或MPa-1

p1,p2——压力,MPa。计算变形时,p1取自重应力,p2取自重应力与附加应力之和;

e1,e2——与p1,p2对应的孔隙比。

压缩系数a是表示土压缩性的重要指标之一,a值愈大,说明土的压缩性愈高,反之,a值愈小,说明土的压缩性愈低。

由于e-p曲线不是直线,因此,即使是同一种土,其压缩系数也不是一个常量。其值与所取的压力增量(p2-p1)及压力增量的起始值p1的大小有关。在工程中,为便于统一比较评价土的压缩性,通常取p1为100k Pa,p2为200k Pa的压缩系数a1-2来衡量土的压缩性高低。

当a1-2<0.1MPa-1时,属低压缩性土;

当0.1MPa-1≤a1-2<0.5MPa-1时,属中等压缩性土;

当a1-2≥0.5MPa-1时,属高压缩性土。

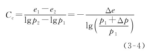
(2)压缩指数Cc

压缩曲线的纵坐标仍用e,而横坐标改为p的对数表示,即得e-1gp曲线,如图3-5所示。从图中可以看出,在较高的压力范围内,e-1gp曲线接近于直线,它的斜率称为压缩指数,用Cc来表示,即

压缩指数也是反映土的压缩性高低的一个指标。Cc值越大,土的压缩性就越高,一般Cc<0.2时为低压缩性土,Cc>0.4时属高压缩性土。通常,e-1gp曲线及压缩指数用来研究土的应力历史对土的压缩性的影响。

图3-5 土的压缩指数的确定

图3-6 侧限条件下土样高度变化与孔隙变化

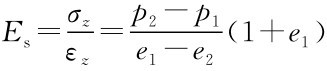
(3)压缩模量Es

土试样在完全侧限条件下,竖向应力与竖向应变之比,称为压缩模量,即

在侧限压缩试验中(图3-6),当竖向压力由增p1增至p2,同时土样的厚度由H1减少至H2时,压应力增量为:

σz=p2-p1

竖向应变为:

所以,将代入得

式中 Es——土的压缩模量,k Pa或MPa;

e1——对应初始压力p1的孔隙比。

土的侧限压缩模量Es与压缩系数a两者都是建筑工程中常用的表示地基土压缩性的指标,Es与a成反比,即a愈大,Es越小,土愈软弱。

3.2.2 现场载荷试验与变形模量

测试土的压缩性,除了上面介绍的室内侧限压缩试验外,还可以通过现场原位试验的方法。下面介绍现场载荷试验这种原位测试方法。

1.载荷试验

试验设备装置(图3-7),包括三部分:加荷稳压装置、提供反力装置和沉降量测装置。

图3-7 载荷试验装置示意图

图3-8 载荷试验曲线

试验时,通过千斤顶逐级给载荷板施加荷载,每加一级荷载到p,观测记录沉降随时间的发展以及稳定时的沉降量s,直至加到终止加载条件满足时为止。将上述试验得到的各级荷载与相应的稳定沉降量绘制成p-s曲线(荷载与沉降曲线),如图3-8所示。不同土在荷载作用下的变形特征是不一样的,砂土在荷载作用下的沉降很快就达到稳定,而饱和黏性土则很慢。

2.变形模量

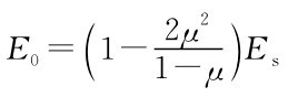
从图3-8中p-s曲线可看出,当荷载小于某数值时,荷载p与荷载板沉降之间呈直线关系,如图中Oa段。应用弹性理论计算沉降的公式,可反求地基的变形模量E0

E0=ω(1-μ2)pbs (3-7)

式中 ω——沉降影响系数,刚性方形承压板ω=0.88,圆形承压板ω=0.79;

b——承压板的边长或直径,m;

μ——土的泊松比;

p——荷载,取直线段内的荷载值,一般取比例界限荷载pcr,k N;

s——荷载p对应的沉降量,mm;

E0——土的变形模量,MPa。

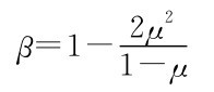
3.变形模量与压缩模量的关系

如前所述,土的变形模量E0是指土体在无侧限条件下的应力与应变的比值,而土的压缩模量Es则是土体在完全侧限条件下的应力与应变的比值。通过材料力学中的广义胡克定律,建立的两者之间的理论关系为

E0=βEs(3-8)

由于一般0≤μ≤0.5,所以0≤β≤1。必须指出的是,式(3-8)只是E0和Es的理论关系,是基于线弹性假设得到的,具体应用时要注意适用条件。

3.2.3 载荷试验方法的评价

载荷试验由于是在现场进行的,避免了取样、土样运输及室内制作试件扰动等产生的误差。但由于承压板尺寸较小,通常只能反映承压板下(2~3)b(b为方形承压板宽度或圆形承压板直径)深度范围内的土的性质。承压板尺寸与实际建筑物基础尺寸相差太多,从第二章基础下附加应力分布规律来看,对宽度较大的基础,其附加应力可传递到基底以下10m甚至更深。因而这种试验方法结果的应用受到很大限制,尤其当基底以下土层为软硬交替分布时。目前,人们已经研究出一些深层土压缩性指标的测定方法,如深层平板载荷试验、静力触探试验、旁压试验等。