1
土力学与基础工程
1.6.4 2.4 地基中的附加应力计算

2.4 地基中的附加应力计算

上节曾指出,附加应力是由外荷(静的或动的)引起的土中应力。建筑物荷载可以视为静荷载,本书只讨论静荷载引起的地基中的附加应力。关于动荷载问题在土动力学中做专门研究。

地基比建筑物基础要大得多,因而常把地基看作半无限空间体。小面积的荷载向大体积的地基传力时,地基中承受应力的面积总是要随着深度逐渐扩大,因而,单位面积上的应力就逐渐减小,这叫作应力扩散现象,是附加应力的一个特点。

建筑物作用于地基表面的荷载分布是多种多样,如图2-11所示。但各种不同分布的荷载都可以划分成均匀分布和三角形分布荷载的组合,如图2-11中虚线所示。所以,本章只详细介绍均布荷载和三角形荷载作用下地基附加应力的解法。按照弹性力学的求解方法,地基附加应力计算分为空间问题和平面问题两类,集中力、矩形面积荷载和圆形面积荷载下的解答属于空间问题;线荷载和条形荷载下的解答属于平面问题。应该注意的是,实际中没有集中荷载(任何荷载都有其作用面),但集中荷载的解是求解上述荷载解的基础,应用集中力的解答,通过叠加原理或者积分的方法可以得到各种分布荷载作用下土中应力计算公式。

计算地基中的附加应力时,对地基作如下几点假设:

(1)地基是半无限空间弹性体;

(2)地基土是均匀连续的;

(3)地基土是等向的,即各向同性的。

计算地基附加应力时,把基底压力看成是柔性荷载,不考虑基础刚度的影响。

根据上述的基本假定,就可以直接利用弹性理论的解答进行计算。

图2-11 各种地面压力图形的分解

2.4.1 竖向集中力作用下的地基附加应力计算

在半无限体表面作用着一个垂直于表面的集中力P,求解半无限体内任意点的应力及位移,这就是所谓的布辛奈斯克课题。

为了说明地基中附加应力扩散问题,假设地基土Η 为无数直径相同的小圆柱,则可按平面问题考虑。当地表受一个竖向集中力P=1作用时,如图2-12所示。图中第一层由一个小圆柱受力;第二层由两个小圆柱各受P/2的力;第三层三个小圆柱受力,两侧两个小圆柱各受力P/4,中间小圆柱受2P/4,……依次类推。由图可见,地表的竖向集中力传布越深,受力的小圆柱就越多,每个小圆柱所受的力也就越小。

由以上分析可知,地基中附加应力分布具有下列规律:

(1)在地面下任一深度的水平面上,各点的附加应力非等值,在集中力作用中心线下的附加应力最大,向两侧逐渐减小。

图2-12 地基中附加应力扩散示意

图2-13 布辛奈斯克课题

(2)距离地面越深,附加应力分布的范围越广,在同一竖向线上的附加应力随深度的变化而变化。

这些规律就是地基中附加应力的扩散规律。

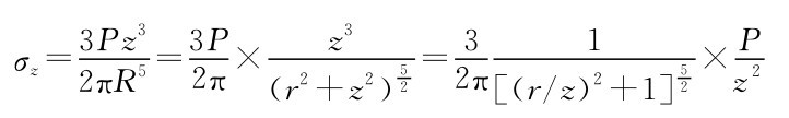
竖向集中力作用于半空间表面,如图2-13所示,在半空间任一点M(x,y,z)引起的全部应力(σx,σy,σz,τxy,τyz,τzx)和全部位移(ux,uy,uz)解,由法国的布辛奈斯克根据弹性理论求得。在6个应力分量中,与建筑工程地基沉降计算直接有关的为竖向正应力σz。地基中任意点M的竖向正应力的σz的表达式为:

为了应用方便,将σz的公式改写成如下形式:

则上式简化成:

式中,K为集中荷载下地基竖向附加应力系数,按r/z由表2-1查得。

利用式(2-11)可算出集中力作用下土中任何点处的附加应力。连接土中σz值相同的各点,便可绘出如图2-14(a)所示的等应力线图,该图又称为应力泡。离集中力越远,附加应力越小,这种现象称为应力扩散现象。

表2-1 集中荷载下地基竖向附加应力系数K

如果地面上有若干个集中力作用,可采用叠加法,先分别计算出各个集中力在土中任一深度的水平面所引起的附加应力,再把它们叠加起来,即得若干集中力共同作用产生的附加应力。如图2-14(b)所示为两个集中力作用的情况下,在AB水平面上所引起的附加应力图。应力叠加结果(图中虚线)比一个集中力时大得多,这种现象称为应力集聚现象。

在实际工程中,当基础底面形状不规则或荷载分布较复杂时,可将基底分为若干个小面积(图2-15),把每一个小面积上的荷载当成集中力,然后利用上述公式计算附加应力。如果小面积的最大边长小于计算应力点深度时,用此法所得的应力值与正确应力值相比,误差不超过5%。

图2-14 附加应力的扩散和集聚现象

图2-15 基础底面形状不规则情况

由于附加应力的扩散和集聚现象,在工程中,考虑相邻建筑物时,新旧建筑物要保持一定的净距,否则,由于新建建筑物产生的附加应力扩散作用,使原有建筑物基底下的应力增加,一旦超过它的安全储备,会导致原有建筑物开裂。

[例2-3] 在地表作用一集中力P=100k N,要求确定:(1)在地基中z=2m的水平面上,水平距离r=0,1m,2m,3m,4m处各点的附加应力σz值,并绘制应力分布图;(2)在地基中r=0的竖直线上距地表z=0,1m,2m,3m,4m处各点的σz值,并绘制应力分布图;(3)绘制σz=10k Pa,5k Pa,2k Pa,1k Pa的等值线图。

解 各点的竖向附加应力可σz可按式(2-11)计算,计算结果见表2-2及图2-16。

表2-2(a)z=2m的水平面上竖向附加应力σz计算表

(b)r=0的竖直线上竖向附加应力σz计算表

(c)σz=10k Pa,5k Pa,2k Pa,1k Pa的等值线计算表

图2-16 例2-3图

2.4.2 空间问题的地基附加应力

任何建筑物都要通过一定尺寸的基础把荷载传给地基。基础的形状和基础底面上的压力分布各不相同,但都可以利用前述集中荷载引起的应力计算方法和弹性体中的应力叠加原理,计算地基内的附加应力。

1.矩形面积上各种分布荷载作用下的地基附加应力计算

矩形基础在建筑工程中是最常见的,如房屋建筑的框架结构立柱下面的独立基础底面通常为矩形面积。在中心荷载作用下,基底压力按均布荷载计算。下面讨论矩形面积上各种分布荷载在地基中引起的附加应力计算。

1)矩形面积竖向均布荷载作用下的地基附加应力计算

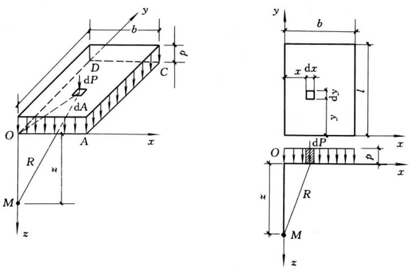
地基表面有一矩形面积,宽度为b,长度为l,其上作用有竖直均布荷载,荷载强度为p,求地基内各点的附加应力σz。现先求出矩形面积角点下的应力,再利用“角点法”求出任意点下的应力。

(1)矩形角点下的应力

角点下的应力是指图2-17中O,A,C,D四个角点下任意深度处的应力,只要深度z一样,则四个角点下的应力σz都相同。将坐标的原点取在角点O,在荷载面积内任取微分面积d A=dxdy,并将其作用的荷载以集中力d P来代替,则d P=pd A=pdxdy,利用式(2-11)可求出该集中力在角点O以下深度z处M点所引起的竖直向附加应力,再沿整个矩形面积OACD积分,即可得到矩形面积上均布荷载p在点M引起的附加应力(注意R2=x2+y2+z2

σzc=Kcp(2-12a)

式中,Kc为矩形面积竖向均布荷载角点下的竖向附加应力系数,无因次,按下式计算

也可由m=l/b,n=z/b查表2-3得到Kc

表2-3 矩形面积竖向均布荷载角点下的竖向附加应力系数Kc

图2-17 矩形面积竖向均布荷载下点的应力

图2-18 角点法的应用

(2)任意点的应力——角点法

实际计算中,常会遇到计算点不位于矩形角点之下的情况。这时可加几条辅助线,通过需计算的点,把荷载面图形划分为若干个小矩形,使该计算点成为各小矩形的公共角点,然后根据叠加原理,将各矩形面内荷载在该点引起的应力叠加起来即可。

如图2-18所示,欲计算矩形基础内、边缘上和基础外的M点以下深z处的附加应力,可分别利用角点法计算。

①计算矩形荷载面内点M之下的附加应力(图2-18(a))时,其附加应力系数为

Kc=KcⅠ+KcⅡ+KcⅢ+KcⅣ

②计算矩形荷载面边上点M之下的附加应力(图2-18(b))时,其附加应力系数为

Kc=KcⅠ+KcⅡ

③计算矩形荷载面外点M之下的附加应力(图2-18(c))时,其附加应力系数为

Kc=Kc(fbgm)+Kc(ecgm)-Kc(fahm)-Kc(edhm)

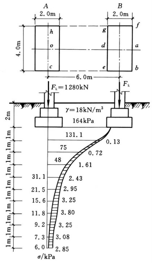
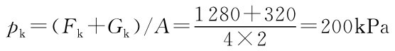
[例2-4] 某相邻两矩形基础A和B的尺寸,埋深及受力情况相同,如图2-19所示。基础底面积A=(4×2)m2,基底埋深d=2.0m。已知上部传至基顶标高的集中竖向荷载Fk=1280k N,基础埋深范围内土的容重r=18k N/m3。试求:

图2-19 例2-4图

(1)基础A中心点下由自身荷载引起的地基附加应力并绘制分布图;

(2)若考虑相邻基础的影响,附加应力要增加多少?

解 (1)计算基底平均附加压力

基础及其上覆土重

GkGd A=20×2.0×4×2=320k N

基底压力

pk=(Fk+Gk)/A=1280+320=200k Pa 4×2

基底处土的自重应力

σc=18×2.0k Pa=36.0k Pa

基底附加压力

p0=pkc=200-36=164k Pa

(2)用角点法计算基础A中心点下由自身荷载引起的地基附加应力σz

计算中心点下的附加应力时,通过基底中心点O将矩形基底分成四个相等的小矩形荷载面积,O点即为四个小矩形的公共角点。每个小矩形长l=2.0m,宽b=1.0m,长宽比l/b=2.0,用式(2-12a)列表计算地下10个点处的附加应力系数Kc(或由m,n查表2-3得),然后乘以4,即得相应点的附加应力系数,再乘p0,即得相应的附加应力σz。具体计算过程详见表2-4,中心点下各点的附加应力分布见图2-19。

表2-4 附加应力Δσz计算表

(3)用角点法计算基础A中心点下由于基础的影响所增加的附加应力Δσz

通过基础中心点O将基础分为两个相等的矩形荷载面积Ⅰ(Oabc和Oafh)和两个相等的矩形荷载面积Ⅱ(Odec和Odgh)。其中,荷载面积Ⅰ的长l=7.0m,宽b=2.0m;荷载面积Ⅱ长l=5.0m,宽b=2.0m,利用式(2-12(a))(或查表2-3)列表计算Δσz,见表2-5,Δσz分布图如图2-19中阴影线所示。

表2-5 Δσz计算表

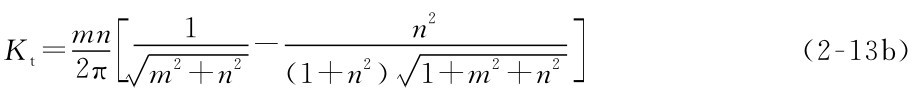
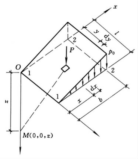
2)矩形面积竖向三角形荷载作用下的地基附加应力计算

图2-20 角形分布矩形荷载角点下的σz

如图2-20所示矩形面积承受三角形分布荷载。欲求荷载零值边角点下某点M的附加应σz,只需将微面积dxdy上的分布力视为集中力p=(x/b)p0dxdy,再利用式(2-11)对整个矩形面┅ 分,即得

σz=Ktp0(2-13a)

式中,Kt为三角分布矩形荷载面角点下的竖向附加应力系数,Kt按式(2-13b)确定:

Kt为m=l/b,n=z/b的函数,也可查表2-6得到。

表2-6 矩形面积三角形荷载角点下的附加应力系数Kt

图2-21 矩形面积均布荷载中心点下的σz

当矩形基础下基底压力为梯形分布时,根据叠加原理,可将梯形分布分解成均匀分布和三角形分布,再用角点法可计算得地基中任意点的竖向附加应力σz

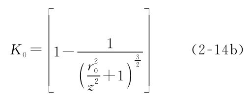
2.圆形面积上作用竖向均布荷载时中心点下的附加应力

如图2-21所示,半径为r0的圆形面积上作用有竖向均布荷载p0,荷载中心点下任意深度z处M点的附加应力σz

σz=K0p0(2-14a)

式中,K0为圆形面积均布荷载作用时,中心点下的竖向附加应力分布系数。

亦可直接由表2-7查得。

表2-7 均布圆形荷载中心点下的附加应力系数K0

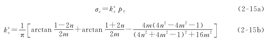
2.4.3 平面问题条件下的地基附加压力

一般平面问题计算要比空间问题计算简单一些。理论上,当条形基础的长度l与宽度b之比,即l/b→∞时,且荷载在各个截面上的分布都相同时,土中的应力状态即为平面应变状态,这时垂直于长度方向的任一截面内附加应力的大小及分布规律都是相同的,而与所取截面的位置无关。实际工程中不存在l/b→∞的条形基础。但研究表明,当l/b≥10时,将其视为平面问题的计算结果所导致的误差很小。有时当l/b≥5时,按平面问题计算,也能保证足够的精度。因此,像墙基、路基、挡土墙及堤坝等条形基础,均可按平面问题计算地基中的附加应力。

图2-22 条形面积竖向均布荷载

1.条形均布竖向荷载

均布的条形荷载是沿宽度方向和长度方向均匀分布,且长度方向为无限长的荷载(图2-22)。在条形面积受竖向均布荷载作用下,地基中任一点深度z处的附加压力σz,可先由弹性力学中的弗拉曼(Flamant)解,求出线荷载下土中点的附加压力,再对宽度b积分得到

式中,均布条形荷载下土中附加应力系数ksz可由m=z/b及n=x/b查表2-8得到。

表2-8 条形均布竖向荷载下土中附加应力系数ksz

图2-23 条形面积三角形竖向荷载

2.条形面积三角形竖向荷载

这种荷载分布可能出现在挡土墙基础受偏心荷载、路堤填土的质量产生的重力荷载等情况。如图2-23所示,在地基表面作用三角形分布条形荷载,其最大值为pt。土中任意一点M(x,z)的附加应力为

式中 pt——三角形分布荷载的最大值;

——三角形分布条形面积竖向荷载下土中附加应力系数,由m=x/b,n=z/b查表2-9得到。

表2-9 条形面积三角形竖向荷载下土中附加应力系数ktz

[例2-5] 有一路堤如图2-24(a)所示,已知填土重度为20k N/m3,求路堤中线下O点(z=0)及M点(z=10m)的竖向应力σz值。

解 图2-24(a)中,路堤填土的质量产生的重力荷载为梯形分布,其最大荷载强度为:p=γH=20×5=100k Pa。

将梯形荷载abcd分解为三角形荷载ebc和ead之差,也等于两个三角形荷载eb O和eaf之差:

式中,q为三角形荷载eaf强度,由图2-24(a)中尺寸可得出:q=p=100k Pa。

图2-24 例2-5图

路堤中线下O点(z=0)及M点(z=10m)的竖向应力系数计算过程见表2-10,其中,值通过查表2-9得到。

表2-10 例2-5中竖向应力系数ktz计算

由表2-10的数据,可得:

O点(z=0)的竖向应力σz=2×[0.500×(100+100)-0.5×100]=100k Pa

M点(z=10m)的竖向应力系数σz=2×[0.25×(100+100)-0.147×100]=70.6k Pa

至此,对土木工程中常见的基础形式与荷载情况:空间状态下竖向集中力,矩形面积受竖向均布荷载作用,圆形面积上受竖向均布荷载作用;平面状态下条形面积受竖向均布荷载和三角形分布荷载作用,都做了阐述。从上述的计算看出,各科情况下的地基附加应力计算原理、计算公式和计算方法均相似。计算时需要注意是所取坐标原点O的位置,地基中计算点M的位置,以及x坐标是否有正负之分。

2.4.4 感应图法求不规则面积上均布荷载作用下的附加应力

工程实际中有时会遇到荷载作用于不规则的面积上,如果不规则面积可以分为若干个矩形,则地基中任意点的竖直应力σz可以应用前述“角点法”求出。但是如果不规则面积无法分成矩形时,利用纽马克(N.M.Newmark)提出的“感应图”法;可以容易地求得地基中任意点的附加压力σz,该方法是由圆形均布荷载作用下求附加压力的公式中推演出来的。有关感应图的原理及其用法可参见其他参考书。