2.3 基底压力与基底附加压力
建筑物的荷载通过基础传给地基,在基础和地基之间存在着接触压力。这个压力是一对作用力和反作用力,其中,基础底面给地基的压力称为基底压力(方向向下),也称基底接触压力;而地基对基底的反力则称之为地基反力(方向向上)。两者大小相等,分布相同。计算地基中的附加应力及设计基础时,必须先确定基底压力(或地基反力)的大小和分布情况。
2.3.1 基底压力
基底接触压力的分布规律主要是取决于基础的刚度和地基的变形条件,是两者共同作用的结果。基础刚度的两种极端情况是柔性基础(绝对柔性没有任何刚度)和刚性基础(刚度为无穷大)。
实验研究指出,实际工程中对于柔性较大(刚度较小)能完全适应地基变形的基础可以视为柔性基础,例如,土坝(土堤)、油罐等。其基础底面压力的分布和大小完全与作用在其上的荷载分布与大小相同,如图2-5所示。
图2-5 柔性基础基底压力分布
对于一些刚度很大不能适应地基变形的基础可视为刚性基础。如建筑物的墩式基础、箱型基础,水利工程中的水闸基础、混凝土坝等。当基础具有刚度或绝对刚性的时候,基础底面保持平面,即基础各点的沉降是一样的,此时基础底面上的接触压力分布与基础的刚度、地基土的性质、荷载的作用情况以及基础的大小、形状、埋置深度等因素有关。刚性基础在中心荷载作用下,接触压力呈马鞍形,如图2-6(a)所示;荷载较大时,边缘部位产生塑性变形,边缘压力不再增大,应力调整使中间部分压力增加而呈抛物线形,如图2-6(b)所示;当地基接近破坏时,基底接触压力分布呈钟形,如图2-6(c)所示。图2-6中,p1<p2<p3。
图2-6 刚性基础基底压力分布情况
实际工程中基础的刚度是介于绝对柔性和绝对刚性之间。对于工业与民用建筑中的柱下单独基础、墙下条形基础等,都可视为马鞍形分布的刚性基础。这些基础,由于受地基容许承载力的限制,作用在基础上的荷载产生的压力一般不会很大,再加上基础还有一定的埋置深度,其发展趋向于均匀分布,比较接近直线。故工程上常假定基底接触压力按直线分布,可按材料力学公式计算,使计算大为简化,也满足了工程要求。
2.3.2 基底压力的简化计算
根据圣维南原理,在总荷载保持定值的前提下,基底压力分布的形状对土中应力的影响在超过一定深度后(1.5~2.0倍基础宽度)就不显著了。除了在基础结构设计中,对于面积较大的片筏基础、箱形基础等影响较大,常需要考虑基底压力的分布形状外,对于一般基础,在实用上可以采用材料力学的简化计算方法,即假定基底压力分布的形状是线性变化的,则可以利用材料力学的公式进行简化计算。
1.中心荷载作用下的基底压力
中心荷载下的基础,上部结构所受荷载Fk与基础自重Gk的合力通过基底形心。基底压力为均匀分布(图2-7(a)),此时基底平均压力按下式计算:
式中 pk——相应于荷载效应标准组合时,基础底面处的平均压力;
Fk——相应于荷载效应标准组合时,上部结构传至基础顶面的竖直荷载;
Gk——基础及其上回填土的总重,Gk=γGAd,其中,γG为基础及回填土平均重度,一取20k N/m3,在地下水位以下的部分应扣去浮力;d为基础埋深(从设计地面算起),当基础两侧地面高程不同时,取其平均值;
A——基础底面积,对矩形基础A=lb,l和b分别为矩形基底的长度和宽度。对于荷载沿长度方向均匀分布的条形基础,可沿长度方向取1延米长进行计算,则Fk,Gk为沿长度方向1延米长上作用的荷载。
图2-7 中心荷载下基底压力分布
2.偏心荷载作用下的基底压力
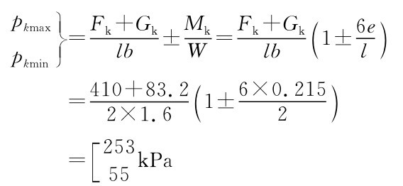
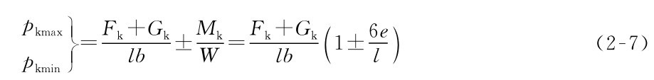
对于单向偏心荷载作用下的矩形面积基底的刚性基础如图2-8(a),(b)所示,单向偏心荷载作用于矩形基础底面的一个主轴上。假定荷载在基础的长度方向偏心,在宽度方向不偏心,此时沿长度基础边缘的最大压力pkmax与最小压力pkmin按材料力学的偏心受压公式计算
图2-8 单向偏心荷载作用下的矩形基础的基底压力分布图
其中 Mk=(Fk+Gk)·e, W=
式中 Mk——相应于荷载效应标准组合时,作用于基底形心上的力矩,k N·m;
W——基础底面的抵抗矩,m3;
e——荷载偏心距,m。
Fk,Gk,l,b符号意义同式(2-6)。
从式(2-7)可知,按荷载偏心距e的大小,基底压力的分布可能出现下述三种情况(图2-8):
(1)当e<l/6时,pkmin>0,基底压力呈梯形分布(图2-8(a));
(2)当e=l/6时,pkmin=0,基底压力呈三角形分布(图2-8(b));
(3)当e>l/6时,pkmin<0,理论上产生拉力(图2-8(c));由于基底与地基土之间不能承受拉力,此时产生拉力部分的基底将与土脱开,而使基底压力重分布(图2-8(c))。根据基底压力与偏心荷载相平衡的条件,三角形反力分布图2-8(c)中的实线所示的形心应在Fk+Gk合力作用线上,因此,可计算基础边缘的最大压力为:
式中,a为单向偏心荷载作用点至具有最大压力的基底边缘的距离,a=(l/2-e)。
2.3.3 基底附加压力
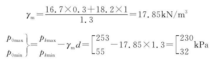
建筑物建造前土层中早已存在着自重应力。由于建造建筑物产生的荷载在地基中增加的压力称为附加压力,用p0表示。一般天然土层在自重作用下的变形早已结束,因此,只有新增加于基底上的压力,即基底附加压力才能引起地基的附加变形。
如果基础砌置在天然地面上,那么,全部基底压力就是新增加于地基表面的基底附加压力,即p0=p。
实际上,基础一般总是埋置在天然地面以下一定深度处。因此,建筑物建造后,基础底面处的附加压力,应该是上部结构传下来的压力与基底处原先存在于土中的自重应力之差,称为基底附加压力或基底净压力,如图2-9所示。基底平均附加压力应按下式计算:
p0=pk-σc=pk-γmd(2-9)
式中 pk——基底平均压力,k Pa;
σc——基底处土的自重应力,σc=γmd,k Pa;
γm——基底标高以上天然土层的加权平均重度,k N/m3;
d——基础埋置深度,m。
从式(2-9)可知,在相同荷载下,基础埋深d越大,或基础自重越小,基底附加压力就越小,从而地基中附加应力将越小,有利于减小基础沉降。当附加压力为零时,基础就不会发生沉降。高层建筑常采用深埋的箱形基础或地下室,使基础的重力小于挖去的土重,从而减少了基底压力,减少基础的沉降。这种做法称为基础的补偿性设计。
图2-9 基底平均附加压力
图2-10 例2-2图
有了基底附加压力,即可把它作为作用在弹性半空间表面上的局部荷载,由此根据弹性力学求算地基中的附加应力。
[例2-2] 某基础底面尺寸为2m×1.6m,其上作用荷载如图2-10(a)所示。已知M′=82k N·m,P=350k N,Q=60k N;试求基底压力、基底附加压力并绘出基底压力分布图。
解 (1)计算基础及上覆土重
Gk=γGAd=20×2×1.6×1.3=83.2k N
(2)计算作用在基础上竖直方向的合力
Fk=P+Q=350+60=410k N
(3)计算作用于基础形心处的合力矩
Mk=M′+0.4Q=82+0.4×60=106k N·m
(4)求偏心距e
(5)求基底压力
压力分布如图2-10所示。
(6)求基底附加压力