1
土力学与基础工程
1.6.2 2.2 土中自重应力

2.2 土中自重应力

计算自重应力时,假定地基是半无限空间体(即具有一个水平面的无限空间体),当土质为均匀时,土的自重可视为分布面积为无限的荷载,于是,地基中任一竖直面均是对称面,故不存在剪应力和横向变形,只产生竖向变形。

2.2.1 地基竖向自重应力

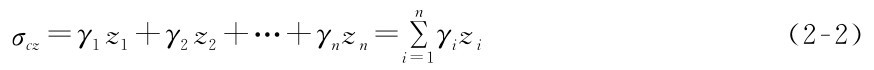
对于地表面为水平面的地基,如地基由于多年的沉积变形已经稳定,可以认为土体中所有竖直面和水平面上均无剪应力存在,故地基中任意深度z处的竖向自重应力σcz等于该处单位面积上土柱的重量,如图2-1所示。

图2-1 均质土自重应力分布

对于均质土,竖向自重应力为:

σcz=γz(2-1)

式中 γ——土的天然重度,k N/m3

z——计算点距地表的深度,m。

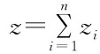
当地基由多个不同重度的土层组成时,任意深度处的竖向自重应力σcz可按竖向各分段土柱自重相加的方法求得,即

式中 n——地基中的土层数;

γi——第i层土的重度,k N/m3

zi——第i层土的厚度,m。

对于均质地基,自重应力沿深度成直线分布;对于成层土地基,自重应力一般在土层交界面发生转折,见图2-2。

2.2.2 水平向自重应力

在地基的自重应力状态下,地基土近似按弹性体分析,没有侧向变形,即处于侧限状态,即有εcxcy=0,且σcxcy。根据弹性力学原理可知,水平向正应力σcx,σcy与σcz成正比,而水平向及竖向的剪应力均为零,即

σcxcy=k0σcz(2-3)

τxyyzzx=0(2-4)

式中,k0为土的侧压力系数(或静止土压力系数),它是侧限条件下土中水平向应力与竖向应力之比。k0因土的种类密度不同而异,可以通过试验求得。

2.2.3 存在地下水位时的自重应力

当计算点位于地下水位以下,由于地下水以下土体受到地下水的浮力作用使得土体的有效重力比无地下水时减少,故在计算土体的竖向与水平应力时应按土的有效重度计算。如图2-2所示。用有效重度计算的自重应力实际上标志着作用在土骨架上的应力,所以称为有效自重应力。用饱和重度计算的自重应力称为总自重应力。

如图2-2所示,第四层土以下,土的竖向自重应力为

图2-2 地基中的自重应力及其分布

图2-3 地下水位升降对地基自重应力的影响

0—1—2为原来自重应力的分布;

0—1′—2′为地下水位变动后自重应力的分布

在工程实践中,由于某种原因使地下水升降,从而使地基中自重应力也相应发生变化。图2-3(a)为软土地区,因大量抽取地下水,导致地下水长期大幅度下降,地基中原水位以下的有效应力增加,造成地表下沉的严重后果。相反,如图2-3(b)所示,在人工抬高蓄水水位地区(如筑坝蓄水)或工业用水大量渗入时,地下水位的长期上升也会带来一系列的工程问题:如地下水位上升至基础底面以上时,对基础形成浮力,使地基土的抗剪强度降低;如该地区地基土层是湿陷性黄土,遇水后会发生湿陷;对于天然形成的山坡或岸坡,地下水位上升会使土湿化,抗剪强度降低,最后导致土坡失去稳定。

[例2-1] 设有多科土层地基如图2-4所示,各土层的厚度及重度示于图中,试求各土层交界面上的自重应力,并绘出自重应力沿深度的分布图。

图2-4 土层信息

解 根据图中所给资料,各土层交界面上的自重应力分别计算如下:

σcz0=0

σcz11h1=18×2=36k Pa

σcz21h12h2=36+19×2=74k Pa

σcz31h12h2+γ′3h3=74+9.5×2=93k Pa

σcz41h12h2+γ′3h3+γ′4h4=93+9.8×2.5=117.5k Pa