1
土力学与基础工程
1.5.4 1.4 土的物理状态指标

1.4 土的物理状态指标

土的物理状态指标是指土的密实程度和软硬程度。对于无黏性土(粗粒土)是指土的密实程度,对黏性土(细粒土)是指土的软硬程度。

1.4.1 无黏性土的密实度

砂土、碎石土统称为无黏性土。砂土的密实度对其工程性质具有重要的影响。密实的砂土具有较高的强度和较低的压缩性,是良好的建筑物地基;但松散的砂土,尤其是饱和的松散砂土,不仅强度低,且水稳定性很差,容易产生流砂、液化等工程事故。用来衡量无黏性土的密实度的物理量有:孔隙比e、相对密实度Dr、标准贯入锤击数N。但对不同的无黏性土来说难以定出通用的统一的指标。

1.孔隙比e

以孔隙比作为无黏性土的划分标准如表1-8所示。

土的孔隙比虽然在一定程度上能反映无黏性土的密实度,但它没有考虑土的粒径级配的影响。粒径级配不同的砂土即使具有相同的孔隙比,但由于Η 大小不同,颗粒排列不同,所处的密实状态也会不同。

表1-8 无黏性土根据密实度划分孔隙比e

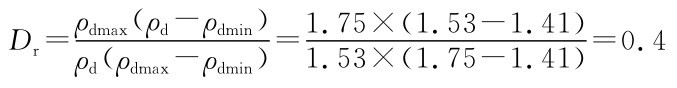
2.相对密实度Dr

为了同时考虑孔隙比和级配的影响,引入相对密实度的概念。

相对密实度Dr是用天然孔隙比e与同一种砂土的最疏松状态孔隙比emax和最密实状态孔隙比emin进行比较,根据e靠近emax或靠近emin来判断它的密实度。

可按下式计算砂土的相对密实度

由于

所以,砂土的相对密实度也可按下式计算:

式中 ρd——无黏性土的天然干密度或填筑干密度;

ρdmax——无黏性土的最大干密度;

ρdmin——无黏性土的最小干密度。

从式(1-13)可以看出,当砂土的天然孔隙比e接近于最小孔隙比emin时,相对密实度Dr接近于1,表明砂土最密实的状态;而当天然孔隙比接近于最大孔隙比emax时,则表明砂土处于最松散的状态,其相对密实度接近于零。根据砂土的相对密实度可以按表1-9将砂土划分为密实、中密和松散三种密实度。

表1-9 按Dr值划分砂土密实度的标准

砂土的最小孔隙比和最大孔隙比可直接由试验测定。将风干的砂土试样用漏斗法测定其最小干密度,用振击法测定其最大干密度。具体试验步骤参见《土工试验方法标准》(GB/T50123—1999)中的相对密度试验。

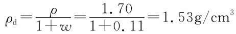
[例1-3] 从天然砂土层中取得的试样通过试验测得其含水率w=11%,天然密度ρ=1.70g/cm3,最小干密度为1.41g/cm3,最大干密度为1.75g/cm3,试判断该砂土的密实程度。

解 已知ρ=1.70g/cm3,w=11%,从图1-8中已知:

所以,该砂土的天然干密度为:

ρd=ρ1+w=1.701+0.11=1.53g/cm3

由ρdmin=1.41g/cm3,ρdmax=1.75g/cm3,代入式(1-14)可得

由于0.33<Dr<0.67,所以,根据表1-9,该砂土处于中密状态。

3.标准贯入试验

考虑到原状砂样一般很难从现场取得,因此,现行《建筑地基基础设计规范》(GB 50007—2011)采用标准贯入试验锤击数N来确定砂土的密实度(表1-10)。关于标准贯入试验的方法,具体见第7章。

表1-10 按N值划分砂土的密实度

1.4.2 黏性土的物理特征

在生活中,经常可以看到这样的现象,雨天土路泥泞不堪,车辆驶过便形成深深的车辙,而在久晴以后土路却异常坚硬。这种现象说明土的工程性质与它的含水量有着十分密切的关系,因此,需要定量地加以研究。

1.黏性土的状态与界限含水量

黏性土的状态主要是指软硬程度。黏性土随着含水量的变化,可具有不同的状态。土从泥泞到坚硬经历了几个不同的物理状态。含水量很大时土呈泥浆状的液体状态;含水量逐渐减少时,泥浆变稠,显示出塑性。所谓塑性就是指可以塑成任何形状而不发生裂缝,并在外力解除以后能保持已有的形状而不恢复原状的性质。当含水量继续减少时,则发现土的可塑性逐渐消失,从可塑状态变为半固体状态。

土从一种状态变到另一种状态的分界含水量(图1-9)称为界限含水量,流动状态与可塑状态间的分界含水量称为液限w L;可塑状态与半固体状态间的分界含水量称为塑限wp;半固体状态与固体状态间的分界含水量称为缩限ws

图1-9 黏性土的物理状态与含水量关系

必须指出,黏性土从一种状态转变为另一种状态是逐渐过渡的,并无明确的界限,工程上只是根据某些通用的试验方法测定这些界限含水量。

液限w L可用两种不同的仪器测定,碟式液限仪和锥式液限仪。目前我国多用锥式液限仪法;在欧美等国家,大多采用碟式液限仪测定液限。

锥式液限仪法:试验仪器如图1-10所示。首先将土样调成土膏,装入盛土杯内,刮平杯口平面,然后将重量为76g、锥度为30°的平衡锥自由沉入土膏,若经15s后沉入深度恰好达到17mm,则杯内土样的含水量即为该种土的液限值w L

图1-10 锥式液限仪

碟式液限仪法是我国《土工试验方法标准》(GB/T50123—1999)中规定的方法,碟式液限仪的构造如图1-11所示。土样的制作与锥式液限仪法同。将土膏分层填在圆碟内,表面刮平,用开槽器将试样划开,形成V字槽。然后以每秒2次的速度转动摇柄,使圆碟上抬10mm并自由落下,记录土槽合龙长度为13mm时的下落击数。若下落25次,土槽正好合龙13mm,此时的土样含水量即为液限。

图1-11 碟式液限仪

塑限wp的测定方法有以下几种:

(1)搓条法。把塑性状态的土在毛玻璃板上用双手搓条,在缓慢的、单方向的搓动过程中土膏内的水分渐渐蒸发,如搓到土条的直径为3mm(实心)左右时断裂为若干段,则此时的含水量即为塑限wp。搓条法由于采用手工操作,受人为因素的影响较大,成果很不稳定。

(2)液塑限联合测定法。制备三份不同稠度的试样,用电磁落锥法分别测定圆锥在自重下经5s后沉入试样的深度。以含水率为横坐标,圆锥入土深度为纵坐标,在双对数坐标纸上绘制关系曲线,三点应在一直线上(图1-12)。入土深度为2mm所对应的含水率为塑限,取值以百分数表示,准确至0.1%。

图1-12 圆锥下沉与含水量的关系

土的缩限ws用收缩皿法测定。

2.塑性指数和液性指数

1)塑性指数Ip

可塑性是黏性土区别于砂土的重要特征。可塑性的大小可用土处在塑性状态的含水量变化范围来衡量,从液限到塑限含水量的变化范围愈大,土的可塑性愈好。这个范围称为塑性指数Ip

Ip=w L-wp(1-15)

塑性指数习惯上用不带%的数值表示。它的大小与土中结合水的含量、土的颗粒组成、矿物成分以及土中水的离子成分和浓度等因素有关。一般来说,土粒越细,且土中黏粒含量越多,土的可塑性就越大,液限、塑限和塑性指数都相应增大,这是由于黏粒部分含有较多的黏土矿物Η 和有机质的缘故。

塑性指数是黏性土的最基本、最重要的物理指标之一,它综合地反映了土的物质组成,广泛应用于土的分类和评价。但由于液限测定标准的差别,同一土类按不同标准可能得到不同的塑性指数;塑性指数的数值相同的土,其土类可能完全不同。

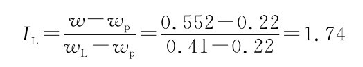
2)液性指数IL

土的天然含水量是反映土中含有水量多少的指标,在一定程度上说明土的软硬与干湿状况。但仅有含水量的绝对数值却不能确切地说明土处在什么状态。如果有几个含水量相同的土样,但它们的塑限、液限不同,那么这些土样所处的状态可能不同。例如,土样的含水量为32%,则对于液限为30%的土是处于流动状态,而对液限为35%的土来说则是处于可塑状态。因此,需要提出一个能表示天然含水量与界限含水量相对关系的指标来描述土的状态,这个指标称为液性指数,由下式表示:

式中 IL——液性指数,以小数表示;

w——土的天然含水量。

由式(1-16)可知:

当w≤wp,IL≤0,土处于坚硬状态;

当wp<w≤w L,0<IL≤1.0,土处于可塑状态;

当w L<w,IL>1.0,土处于流动状态。

液性指数固然可以反映土所处的状态,但必须指出,由于液限和塑限都是用重塑土膏测定的,没有反映土的原状结构对强度的影响。因为原状土的强度比重塑土强度高,所以,把液性指数IL作为重塑土软硬状态的判别标准比较合适,而用于原状土就偏于保守。保持原状结构的土即使天然含水量大于液限,但仍有一定的强度,并不呈流动的性质,但一旦天然结构被破坏,如震动、挤压等,土的强度立即丧失而出现流动的性质。因此,在基础施工中应该保护基槽,尽量减少对地基结构的扰动。

《建筑地基基础设计规范》(GB50007—2011)、《岩土工程勘察规范》(GB50021—2009)对黏性土按液性指数IL划分软硬状态的标准如表1-11所示。

表1-11 黏性土状态的划分

注:当用静力触探探头阻力制定黏性土的状态时,可根据当地经验确定。

[例1-4] 已知黏性土土的液限为41%,塑限为22%,饱和度为0.98,孔隙比为1.55,试计算塑性指数、液性指数及确定黏性土的状态。

解 根据液限和塑限可以求得塑性指数Ip=w L-wp=41-22=19,土的比重Gs可从表1-6查得,为2.75。

根据表1-7中含水量w的换算w=可得土的含水量

液性指数

IL>1,故应为流塑状态。

3.黏性土的灵敏度和触变性

1)灵敏度

天然状态下的黏性土通常具有一定的结构性,当受到外来因素的扰动时,土的结构破坏,从而导致土的强度降低和压缩性增大。土的这种结构性对强度的影响,一般用灵敏度来表示。土的灵敏度St是指原状土的无侧限抗压强度与重塑土的无侧限抗压强度之比,即

式中 qu——原状土的无侧限抗压强度,k Pa;

q0——重塑土的无侧限抗压强度,k Pa。

所谓原状土样是指取样时保持天然状态下土的结构和含水量不变的黏性土样;当土样的结构受到彻底破坏而含水量保持不变时,则为重塑土样。

按灵敏度的大小可将黏性土分为:

St≤2,不灵敏土;

2<St≤4,中等灵敏土;

4<St≤8,灵敏土;

St>8,极灵敏土。

土的灵敏度越高,则表示原状土受扰动以后强度降低就越多。在基础工程中,若遇灵敏度较高的土,应特别注意保护基槽(坑)底土,防止人来车往践踏基槽(坑),以免破坏土的结构,降低地基强度。

2)触变性

当饱和黏性土结构受扰动后其强度会降低,但静止一段时间后,土的强度又逐渐增长,被扰动黏性土的这种强度随时间推移而逐渐恢复的胶体化学性质称为土的触变性。原因在于停止扰动后,黏性土中土粒、离子和水分子体系随时间而逐渐形成新的平衡状态。在工程施工中(特别是桩基施工),应充分利用土的触变性,把握施工进程,既保证施工质量,又使桩的承载力提高。如采用深层挤密类的方法进行地基处理时,处理以后的地基应静置一段时间再进行上部结构的修建,以便让地基强度得以恢复。