1.3 土的三相比例指标
土的三相物质在体积和质量上的比例关系称为三相比例指标。三相比例指标反映了土的干燥与潮湿、疏松与紧密,是评价土的工程性质的最基本的物理性质指标,也是工程地质勘察报告中不可缺少的基本内容,有重要的实用价值。
为了推导土的三相比例指标,通常把在土体中实际上是处于分散状态的三相物质理想化地分别集中在一起,构成如图1-7所示的三相图。在图中,右边注明各相的体积,左边注明各相的重量或质量。图中各项指标解释如下:
Va——土中空气的体积;
Vw——土中水的体积;
Vs——土粒的体积Vs;
Vv——土中孔隙体积,Vv=Vw+Va;
V——土样的总体积,V=Vs+Vw+Va;
Wa——土中空气的重量;
Ww——土中水的重量;
Ws——土粒的重量;
W——土样的总重量。
通常认为空气的重量可以忽略,即Wa≈0,则土样的重量就仅为水和土粒重量之和,即W=Ww+Ws。
三相比例指标共9个,分为两种,一种是试验指标;另一种是换算指标。
图1-7 土的三相图
1.3.1 试验指标
通过试验测定的指标有土的重度γ、土粒的相对密度Gs和含水量w。
1.土的重度γ
土单位体积的质量称为土的重度,其表达式为:
土的重度常用环刀法测定,即用一个已知的环刀切入土样,然后称重,并减去环刀的重量,得到土样重,再与环刀的体积相比,天然状态下土的重度变化范围在16~22k N/m3。
对天然土求得的重度称为天然重度,以区别于其他条件下的指标,如下面将要讲到的干重度、饱和重度等。
2.土粒的相对密度Gs
土粒重量与同体积4℃时水的重量之比,称为土粒相对密度(无量纲),其表达式为:
式中,γw为纯水在4℃时的重度,近似等于9.8k N/m3,实用上常取10k N/m3。
土粒相对密度在实验室内用比重瓶法测定。土粒相对密度主要取决于土矿物成分,不同土类的土粒相对密度变化幅度不大,在有经验的地区可按经验值选用。一般土粒的相对密度值见表1-6。
表1-6 土粒相对密度参考值
3.土的含水量w
土中水的重量与固体(土粒)重量之比,称为土的含水量,其表达式为:
含水量是描述土的干湿程度的重要指标,常以百分数表示。含水量的变化对黏性土等细粒土的力学性质有很大影响,一般说来,同一类土(细粒土)的含水量愈大,土愈湿愈软,作为地基时的承载能力愈低。天然土体的含水量变化范围很大,从干砂的含水量接近于零到蒙脱土的含水量可达百分之几百。
土的含水量常用的测定方法一般用“烘干法”。适用于黏性土、粉土与砂土常规试验。在试验室内,先取一小块原状土样,称出其湿土重量,然后置于烘箱内,在105℃~110℃的恒温下烘干(黏性土8h以上,砂土6h以上),取出烘干后土样,冷却后称干土重量,湿、干土重量之差与干土重量之比,就是土的含水量。
1.3.2 换算指标
除了上述三个试验指标之外,还有六个可以通过换算求得的指标,称为换算指标,包括土的干重度、饱和重度、有效重度、孔隙比、孔隙率和饱和度。
1.土的干重度γd
土单位体积中固体颗粒的重量,称为土的干重度,其表达式为:
干重度反映土颗粒排列的紧密程度,干密度越大,土越密实,强度就越高。干重度常用作为填土密实度的施工控制指标。
2.土的饱和重度γsat
当土孔隙中全部充满水时,单位体积土的重量称为土的饱和重度γsat,其表达式为:
3.有效重度γ′
当土浸没在水中时,土的颗粒受到水的浮力作用,土体的重力也应扣除浮力。所以,有效重度是扣除浮力以后的土Η 重量与土的总体积之比(又称为浮重度),其表达式为:
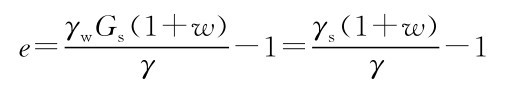
4.土的孔隙比e
土中孔隙的体积Vv与土粒体积Vs之比,称为土的孔隙比,以小数计,其表达式为:
孔隙比用来评价土的紧密程度,或从孔隙比的变化推算土的压密程度,在土力学的计算中经常用到这个指标。
5.土的孔隙率n
土中孔隙的体积Vv与土的总体积V之比,称为土的孔隙率,以百分数表示,其表达式为:
6.土的饱和度Sr
饱和度是指土孔隙被充满的程度,即土中水的体积Vw与孔隙体积Vv之比,其表达式为:
相应于四种重度(天然重度γ、干重度γd、饱和重度γsat、有效重度γ′),工程上还常用天然密度ρ、干密度ρd、饱和密度ρsat和有效密度ρ′。在数值上,重度等于密度乘以重力加速度g,即
γ=ρg=10ρ(1-12)
从上述四种土的重度或密度的定义可知,同一土样,各种重度或密度在数值上有如下关系:
γsat>γ>γd>γ′
ρsat>ρ>ρd>ρ′
图1-8 土的三相草图
1.3.3 三相比例指标的互相换算
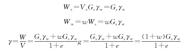
土的三相比例指标之间可以互相换算,根据上述三个试验指标,可以用换算公式求得全部计算指标,也可以用某几个指标换算其他的指标。为便于理解,可在图1-7的三相草图上假定土粒体积Vs=1(图1-8),并在图上按定义得到各个部分的体积或重量,就可换算有关指标,这种换算关系见表1-7。
表1-7 土的三相比例指标换算公式表
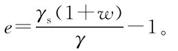
[例1-1] 试推导公式
解 令Vs=1,利用图1-8得:Vv=e
则
故
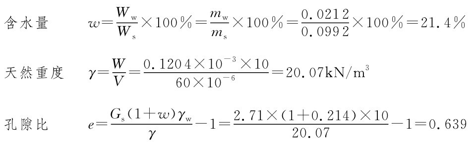
[例1-2] 某地基土样数据如下:环刀体积60cm3,湿土质量0.1204kg,干土质量0.0992kg,土粒相对密度为2.71。试计算:天然含水量w;天然重度γ;干重度γd。
解 已知:干土质量ms=0.0992kg,湿土质量m=0.1204kg
水的质量mw=0.1204-0.0992=0.0212kg