1
公共政策学
1.15.2.1 一、公共政策变迁的过程
一、公共政策变迁的过程

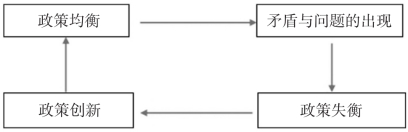
公共政策变迁是制度变迁的正式而又基本的形式,任何时代和社会条件下的制度变迁基本上是以政策及其文本形式作为载体表现出来的。政策变迁的阶段性逻辑呈现为政策失效、政策创新、政策均衡3个阶段。公共政策变迁的过程就表现为政策失衡、政策创新、政策均衡的循环过程。

(一)政策失衡

一项公共政策若本身缺乏对社会发展的推动力和协调力,并失去了满足人们利益的吸引力时,这项公共政策就需要开始某种程度的转换或变更。这表明该项政策已经变得“不好”甚至“坏了”,整个政策处于非合理或非良性状态,它已经不能有效地维持和推动某一领域或政治、经济、文化、社会整个领域的发展,这时的公共政策已经失衡。政策失衡指的是愿意改变既定政策的政策参与者的集合力量,超过愿意维持既定政策的政策参与者的力量集合时的一种状态;我们把政策失衡的这种状态所处的阶段称之为“僵滞”阶段,这也是政策变迁的起始阶段。此阶段,公共政策的主要特点表现为失效。所谓政策失效是指一项公共政策在运动中的效力退化过程或效力丧失状态,它在实施过程中无法促进社会资源的优化配置,有时反而导致政策本身资源和社会其他资源的浪费。事实上,“事物的不断发展变化,与政策相对稳定性之间的矛盾,决定了每一项政策都有其失效过程。而且,正是源于政策失效才诱发了政策的演化和变迁。

公共选择学派认为,公共政策失效的原因主要包括:①社会实际并不存在作为政府公共政策追求目标的所谓公共利益。②现有的各种公共决策体制及方式(投票规则)的缺陷。③信息的不完全、公共决策议程的偏差、投票人的“近视效应”、沉积成本、先例等对合理决策的制约。④政策执行上的障碍。公共选择学派倾向于从公共决策本身的复杂性和困难以及既有公共决策体制和方式的缺陷即公共政策制定的角度探讨公共政策失效。肯尼思·阿罗的“阿罗不可能定理”、奥尔森的“集体行动的逻辑”以及古典“投票悖论”揭示的个人偏好或利益总为集体偏好或利益的不可能等反映了公共决策体制具有的内在缺陷,这些都有可能由公共政策缺陷而导致公共政策的失效。政策分析学派倾向于从政策制定、政策执行和政策评估的政策过程角度对政策失效进行探讨。制度经济学派倾向于从政策的无效率和政策供给不足探讨政策失效。

陈潭等人综合了公共选择学派、政策分析学派、制度经济学派的观点,对政策失效的表现和原因做了以下几个方面的解析。就政策失效的表现来说,可能具有其中某些表征:一是政策负效应明显,政策效率低,政策效益为负值,如人民公社制度。二是政策维护成本高昂,政策功能式微,如原有户籍制度和现行人事档案政策等。三是违背普适的价值观,如《生活无着的城市流浪乞讨人员收容遣送办法》及其他一些歧视性政策。四是舆论反映和公众意见强烈,如原有三农政策等。就政策失效的原因来说,主要有以下可能性:一是政策本身的缺陷。由于政策目标不明确、政策决策体制障碍、决策信息不完全、决策者的短见等因素导致政策的科学化和民主化的不足。二是政策执行的障碍。政策人员的领悟水平差,沟通程度低,政策执行资源短缺。“上有政策、下有对策”扭曲式的执行方式都有可能导致“政策相关低度化、政策调控弱化、政策效应短期化、政策运行阻隔化”的现象。三是政府自立性的存在。政府自立性的存在有可能偏离政策的公共性,从而导致政策执行阻滞和效率缺损。四是政策时滞的惯性。时滞的存在使政策不同程度地出现惯性和惰性,旧政策的“沉淀”与新政策的“生长”同时存在,因此摩擦和失效不可避免。五是利益集团的博弈。政策参与各方特别是利益集团之间出现相互拆台、互不买账的现象,或者是集体行动困境导致“搭便车”行为,致使政策失效。六是政策环境的变化。知识、技术、市场、意识形态、国际形势、公共危机等方面的改变将导致政策的部分或全部失效。

(二)政策创新

政策创新是指由旧政策到新政策的转换,是政策变迁过程中最为主要的一个阶段。没有政策创新行动,政策变迁就不可能有实质性的演进。政策创新的发生是由于存在着政策失衡,但并不是任何政策失衡都能够立即引发创新变革行动。政策陷入失衡状态后,政府一方面可能会采取各种手段促进政策创新行动,另一方面,由于既得利益团体抵制、政治体制的保守性、政府机构官僚化程度等多种因素的影响,政府也可能会做出暂时维持原政策、推迟创新变革的决定。一旦政府做出这种决定,便使得政策处于被“锁定(Lock-in)”状态,维持低效率的勉强运转,从而造成政策创新的“时滞”。这种“锁定时滞”状态不仅不能解决现实政策问题,而且会成为社会发展的阻碍因素。

政策“锁定时滞”现象的发生阻碍了政策从初始均衡向新均衡转变的进程,延长了政策变迁周期,可以说是一种恶性的路径依赖。“政策锁定”持续时间越长,政策创新的难度就越大,而且,随着政策问题的积累与政策矛盾的激化,政策很可能会发生剧变,这对于政策变迁的良性发展无疑具有消极作用。因此,打破“锁定时滞”,选择在最佳时机发起政策创新变革行动是这一阶段所面临的首要任务。

此外,为了突破政策“锁定时滞”,决策者还将面临创新方式的选择。在突破锁定时滞的创新方式上,选择渐进方式还是选择激进方式,是存在争论且值得思考的问题。有的人认为由于政策时滞的存在,政策创新的路径依赖特征十分明显,加之体制的文化惯性和创新过程本身的复杂性,于是由易到难、由浅入深的渐进式路径及其行动策略便更容易被人理解和接受,从而成为政策时空上的一般化的可能选择。事实上,不论是渐进还是激进的方式都不应该是唯一的和排他的选择,创新方式的选择应该基于多种客观条件进行综合考虑。从政策创新的成本大小来看,渐进方式劣于激进方式;从创新阻力引起的摩擦成本来看,渐进方式创新变革又明显优于激进方式的创新变革。从政策创新主体的有限理性来看,由于创新主体积累的知识经验有限,对于每一项创新方案不具有充分的预测能力,因而渐进方式更合理。从政策创新的承受能力来看,政策参与者的思想观念更新越快、越彻底,经济承受能力越强,激进的创新方式就越容易展开。否则,政策创新宜采用比较稳妥的渐进方式。

(三)政策均衡

政策均衡表明一项政策处于稳定状态,它指的是所有的政策要素、政策关系维持一定的最好情况的状态,政策供给适应政策需求,人们对既定的政策安排和政策结构处于一种满足或满意状态,因而无意也无力改变现行政策。只有当创新变革的政策取得公认的合法地位以及公众的普遍接受和遵照执行的效力后,政策才真正发生了改变,改变后的政策将维持一段时间的稳定,这个阶段就是政策均衡阶段。政策均衡应当包括两个方面:一是政策系统内的各种要素变量及其关系在给定的政策安排中运行。二是政策系统内各变量总会在政策不变的前提下最终获得均衡,变量的变动不会出现改变政策的情况。政策的失效是相对于政策均衡状态的,是政策均衡的应然和实然;政策创新的完成是以政策均衡为标志的,创新是促使政策均衡的。从一定程度上来讲,政策变迁的目的就是追求政策均衡。

政策均衡的特点主要表现为以下四个方面:第一,供需均衡。任何一项政策安排和政策选择都不是随意规定的,而是根据人们的需求状况由公共权力机构所供给的。如果政策供给满足不了政策需求,政策需求大于政策供给,政策处于一定的失效状态,“政策市场”当中的攻击方对需求行情就把握不够,对市场回应不够。如果政策需求小于政策供给,一方面说明政策要么动员力不够要么理解力差,导致政策处于零认知或低度认知状态。另一方面说明政策要么“超前”要么脱离实际。因此,政策均衡表明的是政策需求等于政策供给。第二,利益均衡。任何政策都是权力和利益的分配规则,是各种社会力量作用的结果。具有一定利益要求并拥有一定政治资源的个人或集团,都会以一定的方式对公共政策施加影响。当各种社会政治力量保持均势格局,他们的互动行为推动政策趋于稳定。第三,结构均衡。在政策系统中,政策横向联系和政策纵向层次之间均相互支持、相互协调、有机配套,政策系统运行通畅,政策整体效能能够有效发挥,同时又与社会意识形态、价值观念、道德规范具有可相容性,这时的政策结构或政策系统处于良性化状态,于是政策均衡自然而然。第四,动态均衡。我们知道,政策本身是一个动态的、协调的、开放的系统,政策要素的变动性和政策环境的非确定性要求政策必须开展适应性调整,因而政策均衡并非静止的、安于现状的均衡,政策稳定也只能是相对的稳定。

总的来看,“政策失衡—政策创新—政策均衡”构成了一个完整的政策变迁过程。但是一个政策变迁周期完成后,政策并没有静止不动。实际上,经过一段时间后,受各种诱致因素的影响,不同政策参与者之间的力量对比会产生变化,均衡政策便潜伏着向政策失衡过度的趋势,从而政策变迁又进入到下一个“政策失衡—政策创新—政策均衡”的循环周期中(见图14.1)。

图14.1 公共政策变迁的周期