“读”出数学味——谈浙教版初中数学“阅读材料”的有效运用
温州市龙湾区教师发展中心 郑银凤
内容摘要:阅读材料是浙教版初中数学新课标教材的重要特色之一,也是数学教学中培养学生人文精神的重要资源。但目前在教学中得不到师生重视,未能发挥其应有的教育教学功能。如何领会《课标》及教材编写者意图,深刻理解与处理阅读材料,并有效地运用于教学之中,是本课题研究和解决的问题。我们研究的主要成果是:1.把浙教版七-九年级数学教材中19篇阅读材料分为数学史料类、实际应用类、问题探究类和信息技术类;2.提出了组织自主阅读、课堂渗透专题探究三种有效运用方式;3.提出了关于浙教版初中数学阅读材料修订的三点建议。
关键词:初中数学 阅读材料 有效运用
阅读材料是浙教版初中数学新课标教材的重要特色之一,也是数学教学中培养学生人文精神的重要资源。但目前在教学中还没有得到应有的重视,还没能有效发挥其教育教学功能。教师要领会《课标》及教材编写者意图,深刻理解阅读材料的内涵,将阅读材料经过恰当的处理,有效地运用于教学中,真正“读”出阅读材料的数学教育教学的价值。
一、阅读材料的类型及功能
通过文献分析,根据内容特点及功能将19篇阅读材料分为四类:数学史料类、实际应用类、问题探究类及信息技术类。
(一)数学史料类——关注文化内涵,培养人文精神
数学文化的内涵不仅表现在其知识本身,还存在于它的历史之中。阅读材料中的许多内容是介绍数学家生平和事迹、介绍数学概念的来源、数学的发展历史,如《中国古代在数的发展方面的贡献》等。这些内容的教学,既可传承数学文化,又能培养学生求真、理性、创新、严谨等人文精神。
(二)实际应用类——体现科学价值,培养应用意识
阅读材料的一些内容,涉及数学与实际问题的联系,涉及生产、社会生活以及科学研究等方方面面,如《生活离不开圆》、《现实中的轴对称现象》等,体现数学在现代社会发展中的工具作用。这些内容的教学,有助于学生更深入认识数学的价值,培养数学应用意识。
(三)问题探究类——提供探索空间,培养探究能力
教材在阅读材料中设置了具有挑战性的问题,如《从勾股定理到图形面积关系的拓展》,激发学生进行思考;提供一些开放性的问题,如《拼图游戏》,让学生在探索的过程中进一步理解所学的知识;提供需要学生合作交流来解决问题的活动,如《王冠疑案与浮力定律》,使学生经历多角度认识问题、多策略思考问题,以发展其创新意识和实践能力。
(四)信息技术类——引入现代教育技术,改变学习方式
教材中设置了3篇运用信息技术研究数学问题的阅读材料:《初识“几何画板”》、《利用计算机求平均数、中位数和众数》、《用计算机画二次函数图像》。这些内容的学习,能够帮助学生从一些烦琐、枯燥和重复性的学习中解脱出来,让他们有更多的机会动手、动脑,思考和探索,使学生自主探究成为可能,有效地改变了学生的学习方式。
二、阅读材料的有效运用方式
教材中的每一篇阅读材料都是紧扣教材知识设计的。教师作为新课程实施者,只有尽可能发挥自己的教学智慧和创造力,针对不同材料的特点,运用适当的策略、适当的方式,才能发挥其最大功效,才能更好地推进新一轮数学课程改革。根据材料的不同特点,我们探索了三种使用方式。
(一)组织自主阅读
部分阅读材料,内容通俗易懂,涉及数学知识少,可以通过课内引导阅读和课外自主阅读两种方式,让学生自主阅读。
1.课内引导阅读
在课内时间允许的条件下,可以组织学生课内阅读。教师根据阅读材料内容设计问题或阅读提纲,学生阅读后进行交流、讨论,发表自己的看法,教师最后给予归纳、总结。
如七(下)《机会均等》,在使用时,为学生提供以下几个问题:
问题1:任意抛掷一枚均匀的骰子,当骰子停止运动后,朝上一面的数字是1,小红获胜,朝上一面的数字是6,小明获胜。这个游戏规则公平吗?
问题2:任意抛掷一枚均匀的骰子,当骰子停止运动后,朝上一面的数字是偶数,小红获胜,朝上一面的数字是奇数,小明获胜.这个游戏规则公平吗?
问题3:任意抛掷一枚均匀的骰子,当骰子停止运动后,朝上一面的数字是6,小红得10分,朝上一面的数字不是6,小明得10分;谁先得到100分,谁就获胜.这个游戏规则公平吗?
问题4:有22颗小石子,游戏双方轮流拿石子,各方每次只准拿1颗或2颗,规定其中一方先拿,拿到最后一颗石子者输。这个游戏机会均等吗?若认为不公平,请修改规则,使游戏变得公平。
问题5:请与同学一起玩一玩问题4的游戏,想一想,有没有必胜的策略,使后拿者一定取胜。
本材料是在学生们已经学习了“事件可能性大小”的基础上的阅读,材料内容以游戏为载体,以“事件可能性大小”为基础知识点,灵活地将数学知识融入到游戏情境中,引发学生为判断游戏规则是否合理而运用所学数学知识去探究的欲望。
课内引导阅读在教师的引导下学生通过思考问题完成,能提高阅读的有效性。随着学生阅读能力的提高,问题意识的增强,还可以有意识地尝试将“设计问题”这一工作交给学生自己去做。
2.课外自主阅读
教师事先出示自学提纲或思考题,让学生带着任务课外去阅读,这样可充分发挥学生的主体作用,培养学生的自学能力。主要以“长作业”形式开展,布置学生课外写阅读体会(数学日记或数学小论文),然后组织学生交流阅读体会。其流程为:

如在讲完轴对称图形、轴对称变换知识后,对于七(下)《现实生活中的轴对称现象》,教师可以给出阅读思考题:(1)你身边有哪些轴对称现象?(2)轴对称现象有何现实意义?(3)你对轴对称现象的感想。以“长作业”形式布置学生完成一篇数学小论文——生活中的轴对称现象,一周后安排时间进行学生小论文交流。
经过近两年类似的实践,我们发现数学小论文(周记)是一种有效的交流工具,它可以帮助学生进行细致的思考,发展学生的创造性和自由性;可以增强学生对数学文化的理解,发展他们的表达能力;还可以帮助教师有效地了解学生的数学学习状态。
(二)进行课堂渗透
在平时的课堂教学中,可以根据实际将部分阅读材料内容渗透到新知识的学习中,作为新知识一部分纳入其知识结构,适合于课堂教学渗透的阅读材料主要是短小精悍,与新知联系密切的内容,渗透的时机可灵活机动。
1.用于情境创设
《标准》提倡“问题情境——建立模型——解释、应用与拓展”的教学模式,教学情境应从学生已有生活经验和知识经验出发,情境创设要尽可能的真实。阅读材料的部分内容涉及数学史,数学史总归是真实的。因此,情境创设可以以数学知识产生的背景和发展的历史、数学家的奇闻趣事作为其“生长点”、“衔接点”。
如在学习八(下)《一元二次方程的解法》第3课时——公式法时,可以运用第41页阅读材料《一元二次方程的发展小记》创设情境。
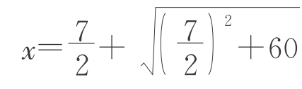
从历史上看,古代巴比伦人最早给出一元二次方程的解法。对于我们在一元二次方程概念一课中列出的关于矩形长的方程x2-7x-60=0,巴比伦人的解法是:取7的一半,得7;
自相乘,得
;将
与60相加,得
;开方,得
。将
与
相加得12,即为矩形的长。教师可以告诉学生,在古代巴比伦人列方程和解方程的过程中,完全是用文字来叙述的,没有使用我们今天意义下的任何代数符号。接着,让学生验证答案是否正确,并把上述解法写成一个运算式子:
。让学生观察上述式子与方程的一次项系数和常数项之间的关系,再让他们讨论:一般方程x2-bx-c=0(b、c均为正数)的根可否用一个公式来表示呢?在学生猜想得出:
之后,教师接着问:这个猜想是否正确?
我国是世界上最早研究一元二次方程的国家之一。由于中国古代缺乏代数符号,因而没有现代符号形式上的公式法,但对形如x2+bx的数进行开方颇有研究,其结果实质上就是“公式法”,即开带(有)从(从法)平方法。《九章算术》中就记有“开带从平方法”,公元3世纪,赵爽在《勾股圆方图注》中对形如-x2+bx=c(b、c均为正数)用“开带从平方法”给出求解的步骤,其结果相当于求根公式x=。唐代天文学家张遂在他的《大衍历》中,用文字叙述给出了一元二次方程x2+px+q=0(p为正数q为负数)的求根公式:
,而后南宋杨辉也给出了求解x2-bx=c(b、c均为正数)的步骤。
那么,一般地,方程ax2+bx+c=0(a、b、c可正可负)的根是否可用它的系数和常数项来表示呢?
从而引出本节课的课题——用公式法解一元二次方程:
在数学教学中,对于许多数学知识内容来说,如概念、定理和公式等,没有来源,没有了发生、发展的背景,只有理论本身和它的应用,是残缺不全的教学。完整的数学教学活动过程应该包括数学知识内容的来源背景、理论形成和推广应用这三方面的内容.本案例从一元二次方程公式法的历史发生过程中发现和挖掘其来源,能提升学生对数学学习的信任度,进一步明确学习的目的性。
2.用于新知理解
在概念、法则、定理等新知结论得出以后,可以结合部分阅读材料进行教学,帮助学生更深入地理解新知。
在七(上)《4.2代数式》探究“代数式”概念时,利用阅读材料《数学中的符号》有关“代数式”数学史料的教学片段:
课前准备:你知道代数式的由来吗?布置学生通过查询网络、图书馆、请教他人等收集有关新概念“代数式”发生、发展的史料,并做成卡片,以便上课时交流。
上课时先从一些实际问题出发,经过数学化,与学生共同从中提炼出这些问题的共同特征:用运算符号把数与字母联结而成的式子称代数式。
然后学生交流“代数式”发展史资料收集成果。内容包括:“代数式”发明的意义、“代数式”表示的优越性、数学家对“代数式”发展的贡献等。下面就是学生收集的部分卡片:
卡片1:法国数学家韦达第一个系统地使用了字母,并对未知量进行运算,为代数学的发展开辟了道路,韦达被称为“代数学之父”,而笛卡尔、莱布尼茨等数学家发展和完善了代数式的表达方法。
卡片2:关于运算符号,1859年,我国数学家李善兰首次把“algebra”译成“代数”。后来清代学者华蘅芳和英国人傅兰雅合译英国瓦里斯的《代数学》,卷首有“代数之法,无论何数,皆可以任何记号代之”,说明了所谓“代数”,就是用符号来代表数的一种方法。全面接受西方近现代的代数式,大约是20世纪最初十年内的事,从某种意义上说,这也影响了我国数学的发展。
用字母表示数(代数式),尽管现在看来很简单,但在数学发展史上却是一件划时代的大事。通过学生探究“代数式”数学史的有关知识,教师组织学生共同欣赏、领悟、体验概念发生、发展的合理性与必要性;通过交流、对比、完善新知识的产生,打破传统的教师讲、学生听的整齐划一模式。通过学习与所学知识有联系的阅读材料,能促进学生对知识的理解,完善认知结构。
3.用于新知拓展
阅读材料中有部分内容是教学内容的拓展和延伸,虽然比较简短,但让学生自主阅读,自我理解有一定的困难,需要教师的点拨。教师可在课堂教学结束前安排时间进行讲解。
如在区优质课评比活动中,海城中学周淑霞老师讲完中位数和众数正文内容后运用阅读材料《利用计算机求平均数、中位数和众数》开展探究活动。
当教师在电子表格上演示数据的求和、求平均数以及如何快速的求中位数和众数时,下课铃声响了,虽然这已是上午最后一节课,但全班学生仍然聚精会神地听着,更令我们没有想到的是,下课后,好多男生跑到讲台前围着老师探讨相关问题,表现出很强的兴趣。
七(下)《拼图游戏》、八(下)《费马和他的猜想》等都可在新知识学习结束时作为新知的补充拓展。对于学有余力的学生而言,这是一种比较好的拓展视野和思维的方法。
(三)开展专题探究
部分阅读材料是对正文内容的补充、拓展和延伸,有利于学生拓宽知识面,适应不同学生的要求。这些材料内容丰富,知识性、探究性、应用性强,如果单靠学生自己阅读,难以取得最好的效果,这就需要教师认真备课,精心设计,组织开展专题探究。
如八(上)《从勾股定理到图形面积关系的拓展》,永昌中学陈春燕将其设计为专题探究课(探究过程设计略),流程为:

以专题探究活动的形式处理这一阅读材料,一方面可以使学生进一步认识勾股定理解决面积关系问题的作用,养成用数学的意识;另一方面可以促进学生主动构建具有个体意义的数学知识和技能,获得数学探究思维的方式、方法和能力。这样,既培养了学生的探索能力和创新能力,又培养了学生的自信和自豪感,也感受到成功的喜悦。
三、对浙教版初中数学阅读材料编写修订的建议
课题组就浙教版阅读材料栏目与人教版、北师大版、华师大版进行了比较,具体如表1和表2所示。
表1 四版本教材各学习领域阅读材料篇数及其比例统计表

表2 四版本教材阅读材料分类篇数及其比例统计表

从表1和表2可以发现,浙教版阅读材料篇数比较少,特别是趣味数学、数学应用及拓展性知识类型偏少。结合我们对教师与学生的问卷访谈,课题组对教材编写者建议:
(1)编排内容上可以适当增加。增加趣味性内容,以激发学生的好奇心,使学生乐意阅读;增加富有挑战性内容,让学生愿意思考;增加数学应用性内容,增强学生应用意识;增强与初中学习的重点知识联系密切的知识,让学有余力的学生有更大的收获。
(2)编排的形式上可更加多样化。把一些初中学生能够接受的内容适当地直接引入教材正文,作为必学内容,可以是几句话、一幅图,也可以提供相关的网址和书籍便于学生课外查阅。
(3)可以借鉴人教版教参的做法。在《教师教学参考用书》中对每个阅读材料进行注释,包括介绍其主要内容、背景,说明编入目标、意义等,使教师明确编者的意图,使随意阅读变成有明确目标的意义阅读。也可以在拓展资源中安排知识的拓广延伸相关史料、拓展性问题等课程资源;教材编写者和数学教师联合开发可供广大教师使用的案例。
参考文献
1.范良火.义务教育课程标准实验教科书·数学.杭州:浙江教育出版社,2005
2.黄新民.初中数学课堂创新教学理论与实践.杭州:浙江大学出版社,2003:90-93
3.王为峰.新教材阅读材料的教学.中学数学教学参考,2005(8)
4.虞关寿.不要让阅读材料成为一种摆设.中学数学教学参考,2006(5)
5.林永伟,叶立军.数学史与数学教育.杭州:浙江大学出版社,2006
6.汪晓勤.HPM视角下一元二次方程解法教学设计.中学数学教学参考(初中),2007(1)