“鼓”起学生隐形的翅膀——巧施暗示放飞学生
慈溪市凤湖初级中学 陶 伟
每个学生都有双隐形的翅膀,追逐青春多张扬;每位教师都有起风的神通,助他们冲天,将梦唱响!只要用心追求,你会看到“所有梦想都开花”,让咱教师的理想一次次飞扬!但要学生“终于翱翔”,就需我们教师“用心凝望”今天的教学现状。
一、教学现状及反思
日前,在参加一次教研活动时,一位外校同仁说起件蹊跷事:某次课堂上,在讲解完一道习题之后问学生听懂了没有,没有反应。再问:“听懂的请举手!”依然没反应。又问:“不明白的请举手!”竟然还是没有反应。
其实这不是个例。是什么造成学生今天的“玩深沉”?思虑再三,得出的结论是:我们老师自己!是教师的教学理念没有发生根本转变,没有积极地处理好课堂上师生间的主次关系。数学课堂上,教师往往为了完成预定的教学任务(比如为了讲完一张试卷或者练习),片面地追求课堂的信息容量,有意识地缩短学生的思考时间,少提问、少互动,甚至不提问、无互动,使本该生动活泼的课堂最后演变成单一乏味的“一言堂”。师生之间,“天各一方”,教师只管教,学生变“木偶”,发闷的发闷,神游的神游。如果教师在教学过程中,能巧妙运用积极的“心理暗示”,往往会收到上佳的教育效果。那么,什么是“心理暗示”呢,“心理暗示”又如何具体操作呢?
二、暗示的行动策略
心理暗示是一种含蓄、间接的教育方法,是指使别人不自觉地按照一定的方式或行动,不加批判地接受一定的意见或信念。心理暗示在没有冷战、没有对峙、没有对抗的条件下,通过教师的语言、行为和教学环境等达到良好的教学效果。三国时期的曹操就巧妙地运用了“望梅止渴”的暗示,来鼓舞士气。“他山之石,可以攻玉”。今天,我们如果把这种心理暗示巧妙地移植到数学教学中,相信我们的数学课堂会更富生机,更有成效。现在我结合自己的教学实践,选取有效的教学暗示,谈谈几种暗示的策略。
(一)嘻哈逗笑行暗示
数学内容的抽象、推理的严谨、计算的精确使学生产生畏惧心理。为了扭转学生的消极心态,以愉快的心情参与数学学习,我经常采用“课前逗笑、课中调侃”的方法,收到较好的效果。
上课前,我常有三句话,根据不同情况随机而变。比如早上第一节,说:①昨晚睡饱了吗?②今早吃好了吗?③我们可以开始了吗?如果课前闹哄哄的,(我边拍手边)说:①女士们,先生们,你那的“战争”结束了吗?②“和平”可以回来了吗?③新的一场“战斗”可以开始了吗?在“甲流”肆虐时期,说:①感冒减轻了吗?②头脑清醒了吗?③现在就开始能行吗?之所以类似问候每每能逗得学生群情激昂,是因为其中不仅暗示着“上课的时间到了”,而且蕴含老师发自心底的关爱。于是,他们开心,不再紧张。
课堂上,特别是半节课以后,学生注意力开始减弱、分散,有的同学开起小差,这时候我会找机会调侃一下,搞些小插曲,吸引学生注意力,活跃课堂气氛。比如一个冬日的课堂上,好几个同学注意力分散,其中一个男生伏在桌上。这时,我望着他笑了:“有一位同学正在用他那热热的嘴唇温暖那凉凉的桌面,真羡慕那张课桌,我要是它,该多好啊!”同学们笑了,他也不好意思地笑了,同时,另外几个同学也开始注意了。
这种调笑实际上是一种暗示,是间接的批评,但因其温和、富有人情味而显得更容易接受,有时候比直接而严厉的说教更有效。
(二)手舞足蹈施暗示
我们热爱教育,我们乐于教书,如果能结合教学内容通过一定的肢体语言将我们的激情释放出来,就能够感染学生,激发学习热情,高效地获取知识,掌握技能。
记得去年讲到俯角、仰角概念时,我采用夸张的动作演示,效果不错。说到俯角时,我就踮起脚尖,左手做“手搭凉棚”状,右手做射线状并由水平位置朝斜下方转动,整体呈俯角状;说到仰角时,我先将身体左侧正对学生,再下沉腰部,举左手并缩头,使肩与眼平,右手从右肩部处出发作射线状,并朝斜上方转动,连续多次,整体呈仰角状。同学们禁不住哈哈大笑,既赶走了疲惫,又掌握了概念。
这样的演示动作暗示学生:①仰角和俯角就是这样子,虽视点相同,但视线方向明显不同;②数学也是生动有趣的;③老师这么投入,学数学是快乐的!而且,多次的行为强化后,学生会对老师充满期待,对数学课堂充满期待,对数学学习充满期待,这不正是我们老师想要的吗?
(三)巧借教具呈暗示
众所周知,数学的抽象性使数学深奥难懂。为揭示数学内在规律,发展学生思维,有时候要结合实际,利用恰当的教具来暗示数学的解决思路和方法。比如,《可能性的大小》一节的例题是这样的:
九龙湖风景区的游览路线如图甲所示,通过入口后,每逢路口都可以任选一条道路。你站在入口沉思:“我进入A景区的可能性大还是B景区的可能性大呢?”

图乙

图甲
当时课堂上学生是答对的,但这能否说明教学目标(会在简单情景下比较事件发生的可能性大小)已经达成?不能!因为原例题中提供的6条路线恰好是等可能性的。为检查掌握程度,就必须改变“等可能性”的条件,促成思维错误的暴露,所以我设计拓展:如果将左路的两条分路并在一起,如图乙,则进入A景区的可能性大还是B景区的可能性大呢?果不其然,几乎所有的同学都选择了“B景区”,理由正是“进入B景区有3条路,而进入只有A景区2条”。像这样,问题中的等可能性”条件的改变,扩大了原题的知识内涵,但这必然使问题更加抽象和复杂。怎么办?当时我等了一会,果然没啥反应,我默不作声,开始使用多媒体进行图甲和图乙之间的缓慢切换,然后干脆让两幅图同时出现在一张幻灯片上,接下来,又用动画,让前面绘过的图甲的树状图缓缓地从图甲背后出来,呈现在图甲下面,巧妙地暗示学生采用“比较法”甄别两图的异同,同时暗示学生可以画树状图,变实物图为抽象的几何图法找结果数。最后,我就一言不发,专等好戏!得到暗示后,学生很快自己找到了答案!这样他们不仅完成了思维上从定性到定量的飞跃,而且会自然而然地体会到成功的喜悦,这种成就感产生的强大鼓舞力量,将成为学生后续学习的巨大推动力。
(四)构设情境寓暗示
《全日制义务教育数学课程标准(修改稿)》指出:数学教学应根据具体的教学内容,从学生实际出发,创设有助于学生自主学习的问题情境。有时候把整节课知识串成一个故事,既激发了学习热情,利于掌握知识,培养学生分析问题、解决问题的能力,又可以寓社会经验、思想情感教育于其中。比如,在教授《中位数和众数》这节课时候,我尝试设置故事情境,收到较好效益。教学环节如下:

这种设计整体统一,一堂课就是一个故事,生动地叙述了一个人的成长过程。其中发展的情节暗示着:①数学概念源自生活,在生活中运用中位数和众数的知识可以进行说理和决策;②知识只有活学活用,少一些想当然,才能在生活中少犯错误,保护自己,以免像阿毛一样“小时想当然骗了妈妈,找工作时无知上了当”;③知识的增长可以助人从懵懂到精明,由愚昧走向聪慧,学习有用;④辩证地分析问题,免受广告的误导。
(五)迁移方法启暗示
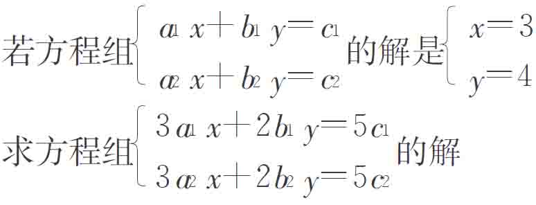
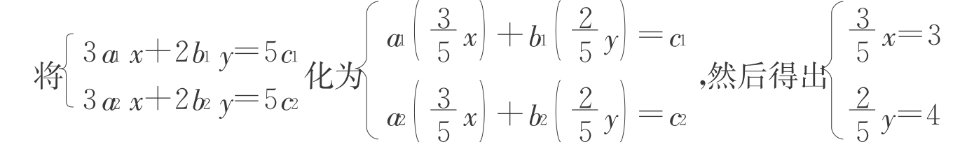
数学课堂教学中经常需要解题。在解题过程中,有时教师感到难以将解题思路向学生说明之时,不妨试试间接暗示法。不直接解决本题,而是从另外一个与其相关的问题入手,从另外一个问题的解决过程中体会其中的知识和蕴涵的思想方法,然后将得到的启发迁移至本题,自觉加以应用,于是,难题迎刃而解。比如在一节习题课上学生向我问到一题:

我在一个班级直接地启发学生,采用把第二个方程组的两个方程的两边都除以5,通过换元替换的方法来解决,但学生难以接受。后来,到另外一个平行班,我变换方式,先让他们解决另外一题:

当时不少学生依然是直接进行去括号化简再解,而不管问题原有条件的潜在提示。我待他们得到解之后,就问他们有没有更简捷的方法,过了一会,就有同学通过仔细比较两方程组的系数,找到了“整体法”:

接下来,我就启发学生把这两道习题的类似之处进行比较、联想。仅过了两分钟,同学们恍然大悟:

而我并没有多说什么,只是引导他们解了另外一道更简单的习题。这样,既扩大了知识内涵,拓宽了思路,又获取了举一反三的能力,这对学生思维的发散也有一定的促进作用。
“暗示”,给予学生灵感,启发学生思考。“暗示”拉近了师生之间的心理距离,使师生关系更融洽,而学生也由压抑的被动的学习变为开朗的积极主动的学习。当然,任何方式方法都有一定的局限性,不能将一种方法看成“至高无上”的手段而排斥其他。我们提倡博采众长、有机结合,选择适合不同学生个性特点的不同方法。
我们的目的很明确:施用包括“暗示”在内的各种方法,形成一阵阵强劲大风,鼓起孩子们“隐形的翅膀”,助他们翱翔蓝天,让他们看到所有梦想都会“开花”、“结果”。
参考文献
1.张明甡,关文信.新课程理念与初中数学课堂教学实施.北京:首都师范大学出版社,2008
2.吴永军.新课程备课新思维.北京:教育科学出版社,2004
3.胡庆芳,程可拉.有效的课堂管理手册.北京:教育科学出版社,2008
4.激情.枫叶教育网
5.孙豪.暗示教学法的原理与应用.北京:中国体育教师,2008
6.钱炜.心理暗示在数学教学中尝试与思考.追寻教育网,2009
7.李海丽.一年级数学教案——认识人民币1.亿库教育网