2.4 用数字来概括数据

                       第四节 用数字来概括数据

针对一组数据的分布特征,我们可以从两个方面来考查它:一是该组数据的集中趋势,即该组数据的数值向其中心值的靠拢程度。二是该组数据的离散程度,它反映的是该组数据的各个数值远离其中心的趋势和程度。

一.定性数据的数字特征

由于定性数据主要是计数,比较简单,对定性数据的集中趋势常用的方法就是计算比例、百分比、中位数和众数。

中位数是将总体各单位标志值按大小顺序排列,处于中间位置的那个数(如果样本量为奇数),或者中间两个数目的平均(如果样本量为偶数)。

众数就是数据中出现次数或出现频率最多的数值。在定性数据中,由于记录的是频数,因此众数用得多些。

二.定量数据的数字特征

反映定量数据特征的统计量常用的有:

反映数据集中趋势的水平度量:平均数、中位数、众数和分位数等

反映数据离散程度的差异度量:极差、四分位差、标准差和方差

(一) 水平的度量

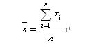
1. 平均数

平均数也称为均值,是把某一组数据进行算术平均,用以表述某一事物的平均水平,它在统计中叫做均值。

简单平均数:把一个变量的所有观测值相加再除以观测值的数目

加权平均数:如果原始数据为分组数据,则采用加权平均数公式计算,其中的权数f为各组的频数。

2. 中位数

数字按顺序排列后,处于中间位置的数即是。如总位数为奇数,中间数即是;若为偶数,则是中间两位数的平均值。

3. 众数

数组中出现次数最多的数。

4. 用哪个值代表一组数据

平均数、中位数和众数是描述数据水平的三个主要统计量,要合理使用则需要了解它们的不同特点和应用场合。平均数易为多数人理解和接受,实际中用的也较多,但主要缺点是更容易受少数极端数值的影响,对于严重偏态分布的数据,平均数的代表性较差。中位数和众数提供的信息不像平均数那样多,但它们也有优点,比如不受极端值的影响,具有统计上的稳健性,当数据为偏态分布,特别是偏斜程度较大时,可以考虑选择中位数和众数,这时它们的代表性要比平均数好。

(二) 差异的度量

对社会经济现象不仅需要对现象的集中趋势进行分析(平均数、中位数、众数),而且还需要进行差异程度分析即离散程度分析。研究事物现象的差异性,从差异性的事物现象中,寻求解决差异性的一些方法。

1. 极差( Range)

极差又称全距,是最简单的离散指标,它是一组数据中的最大值和最小值之差。

计算极差非常简单,含义也很直观。但是,它仅仅受最大值和最小值的影响,不能反映一组数据 分布的情况,而且它非常容易受数据中极端值的影响。因此,它不能准确地描述数据的分散程度。

2. 方差和标准差

为了反映数据中的每一个观察值与平均水平的差异程度就必须引入方程和标准差的概念。

方差:将各个变量值和其均值离差平方的平均数,作为样本数据,它反映了样本中各个观测值到其均值的平均离散程度。其计算公式为:

标准差是方差的平方根,它与方差相比更具量纲性,而且与变量值的计量单位相同,使用的范围比方差更广泛。其计算公式为:


式中 是总体标准差,s为样本标准差。总体自由度为n,样本自由度为n-1,两种有差异,是因为,自由度是指一组数据中可以自由取值的个数,当样本数据的个数为 n时,其样本均值 是确定的,只有n-1个数据可以自由取值,其中必有一个数据不能自由取值。所以,样本的标准差只能除以n-1 ,而不能除以n .

在一个统计样本中,其标准差越大,说明它的各个观测值分布的越分散,它的趋中程度就越差。反之,其标准差越小,说明它的各个观测值分布的越集中,它的趋中程度就越好。

3. 离散系数

离散系数也称变异系数、标准差系数,它是将一组数据的标准差除以其均值,用来测度数据离散程度的相对数。其计算公式为:

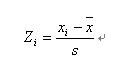
4. 标准分数

标准分数也称标准化值或Z分数,它是变量值与其平均数的离差除以标准差后的值,用以测定某一个数据在该组数据中的相对位置。其计算公式为:

标准分数最大的用途是可以把两组数据中的两个不同均值,不同标准差的数据进行对比,以判定它们在各组中的位置。见课本P271例题.标准分数对比的两个数据在各自数组中的相对位置。