2.3 我国直接融资发展和金融脱媒概况
2.3.1 从社会融资结构看金融脱媒
由图2-1,可以总结出当前中国社会融资结构的两大主要特征:首先是人民币贷款占整个社会融资规模的比例显著下降,其次是直接融资比例快速增长。以企业债、股票市场等为代表的直接融资新增总额从2002年的995亿元增加到2015年的36980亿元,年均增速达到32.06%,在社会融资总量中的比例由2002年的4.9%大幅提高到2015年的24%。间接融资比例的不断缩减和直接融资比例的持续提升,说明金融脱媒现象正在我国发生。同时我们也发现,以银行为代表的间接融资方式仍然占据明显的主导地位,债权和股权融资在我国仍有很大的发展空间。

图2-1 2002~2015年中国社会融资结构
注:数据来源于中国人民银行。
从商业银行的角度来说,金融脱媒同时包括了资产方和负债方的脱媒两个方面。资产方的脱媒主要是指企业为了追求更加低廉的融资成本和更加便利的融资渠道,不通过银行等融资成本较高的金融中介,直接在金融市场上发行债券、股票、商业票据等直接证券来筹集资金。负债方的脱媒主要是指居民在信贷管制、利率管制或因通货膨胀导致存款资产出现负的收益的情形下,为了追求更高的回报和更多样化的资产形式,脱离银行存款,而在金融市场上直接购买股票、债券、保险、基金等金融资产。
银行资产方的金融脱媒可以从银行的贷款额得到反映。由图2-2可以看出,新增人民币贷款额的增长与社会融资总量的变动趋势虽然相同,但差距越来越大;从新增人民币贷款额占社会融资总量的比例来看,银行信贷在社会融资总量中的结构占比总体呈现下降的趋势,由2002年的91.86%降到2013年的51.3%,反映出其他50%左右的资金是通过银行信贷之外的融资方式来解决的,但这一比例在2014年和2015年有所反弹。

图2-2 人民币贷款额在社会融资总量中的占比
注:数据来源于中国人民银行。
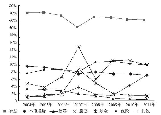
银行负债方的脱媒可以从银行存款额变化得到反映,也可以用居民存款额在金融资产中的占比对银行负债方的脱媒程度进行度量。由图2-3可以看出,一方面,居民存款在其资产配置结构中总体呈现下降的趋势,从2004年的71.8%下降到2010年的62.9%。由于2007年股市高涨,对银行存款的分流严重,存款占比一度大幅降至54.2%。另一方面,居民在股票、保险等金融资产配置上的占比也不断增加,股票资产从2004年的4.9%上升至2011年的10.3%,保险资产从2004年的7.8%上升至2011年的10.2%。

图2-3 银行负债方脱媒度量指标:居民存款在金融资产中的占比
注:数据来源于中国人民银行、万得(Wind)资讯。
从企业的角度来看,融资方式最开始以银行信贷为主,现在变得更加多元化,虽然银行信贷仍占据半壁江山,但直接融资的比重越来越高。股权融资已经成为企业筹集外部资金的重要渠道,虽然企业债券在外部融资中的比重大大低于股权融资,但呈现出不断增长的趋势,企业债权融资占社会融资总量的比例从2002年的1.8%上升至2015年的19.1%。
2.3.2 从金融资产结构看金融脱媒
资本市场的发展,将改变居民的金融资产结构:由原来几乎单一的储蓄存款,逐步调整为储蓄存款与其他金融资产,如债券、基金、股票等并存的多元化格局。我们从金融资产结构的变化中也可以窥探中国的金融脱媒进程。改革开放后,我国金融资产结构由单一的银行资产逐步向金融市场中其他种类的资产发展。金融资产规模从1992年的5.86万亿元增长到2012年的204.7万亿元,20年间共增长了约35倍。证券市场在金融资产中的比重由1978年的0.5%,一直上升到2012年的26.9%,可见直接融资已经开始成为金融业的重要组成部分。但是目前,间接融资中的主体部分即银行存款仍然占据主导地位。自从20世纪90年代起,随着金融资产结构的演变,银行存款占整个金融资产的比重平稳下降。另外,居民家庭的金融资产作为一国金融结构的重要组成部分,在改革开放后,其结构呈多元化趋势,居民家庭从当初仅有的现金和储蓄存款两类发展到目前所持有的各种金融工具。具体来看,从1994年到2012年,居民手持现金的比例不断下降,而股票、债券、保险的比例都有不同程度的上升。截至目前,家庭金融资产的结构已经开始呈现出多元化的趋势,但储蓄存款仍然是主要资产,其比例稳定在60%以上(见图2-4)。

图2-4 2004~2011年居民金融资产结构
注:数据来源于中国人民银行。
宋旺(2011)指出,货币化发展到一定阶段之后就必须依靠货币市场和资本市场这一载体才能继续深化,而金融资产结构的演进是货币市场和资本市场发展的结果。[1]进入21世纪,我国的直接融资已经获得一定发展,但与发达国家相比,我国的直接融资水平仍然较低,直接融资的发展空间还很大。
2.3.3 我国资本市场的发展与金融脱媒
改革开放以前,我国基本没有企业债券和股票。20世纪80年代,随着企业经营自主权的不断扩大,一些企业开始利用债券、股票直接筹集资金,证券市场至此开始迅速发展。
1.我国股票市场的发展历程
从20世纪90年代开始,我国股票市场通过20余年的发展,经历了从初具规模到发展壮大,从不成熟逐步走向成熟和完善。概括来讲,大致经历了五个阶段:第一个阶段是股票市场的建立。改革开放以来,第一次有记载的股票发行诞生于1980年,中国人民银行抚顺支行代理企业发行了价值211万元的股票。1986年,首个证券柜台交易点在上海设立,为延中实业和飞乐音响两家公司办理股票的代购、代销业务,标志着我国证券正规化交易市场的形成。截至1990年年底,全国共有4750家企业发行了股票,筹集资金42.01亿元[2]。随着上海证券交易所和深圳证券交易所在20世纪90年代初相继成立,我国证券市场开始走上规范、壮大的发展之路。第二个阶段为全国统一监管市场的形成。1992年中国证券监督管理委员会(以下简称中国证监会)的成立,标志着我国证券市场开始逐步纳入全国统一监管框架。此后,包括《股票发行与交易管理暂行条例》在内的一系列法律法规的出台,初步完成了证券法律法规体系的构建。第三个阶段是1999~2004年的依法治市和规范发展的过渡阶段。1999年7月实施的《中华人民共和国证券法》(以下简称《证券法》),确立了证券市场的法律地位,为证券市场奠定了法律基础。第四个阶段是2004~2008年的规范发展阶段,以券商综合治理和股权分置改革为代表性事件。2006年1月,修订后的《证券法》、《中华人民共和国公司法》(以下简称《公司法》)正式施行。第五个阶段是多层次资本市场的建立和完善。随着新股发行体制改革的深化,新三板、股指期权等制度和产品创新的推进,我国证券市场逐步走向成熟和完善。经过20多年的发展,不论是从上市公司的数量,还是从融资金额、投资者数量等方面来看,我国资本市场均已具备了相当的规模。自1990年证券市场形成,截至2015年年末,我国沪深两市共有上市公司(A、B股)2827家,总市值达到53.13万亿元,流通市值达到41.79万亿元。[3]我国证券市场在优化资源配置、改善融资结构、推动经济发展等方面发挥着日益重要的作用。
2.我国债券市场的发展历程
我国的债券市场发展较为缓慢,大致经历了以下几个阶段:第一个阶段从1984年开始,为初步发展阶段。在这一阶段,一些企业已经开始自发地进行内部筹资或者对外发行债券。沈阳市信托投资公司于1986年建立了第一个柜台交易市场,办理债券买卖和转让业务,标志着我国企业债券交易市场的出现。据统计资料显示,截至1986年年底,企业债券累计发行规模达到100亿元左右,但大多数企业债是内部发行的。第二个阶段为清理整顿阶段,由于“乱集资”等问题频发,国务院在1987年相继颁布《企业债券管理暂行条例》和《关于加强股票、债券管理的通知》,加强对企业债券的统一管理,并进一步对债券的发行主体、发行数量、发行筹资用途、发行利率等方面进行了规定,并且在这一阶段,只有国有企业可以发行企业债券。随着上海证券交易所和深圳证券交易所的相继建立,交易所债券市场逐渐开始运行。1993年,《企业债券管理条例》颁布实施,取消了大部分企业债券,只允许中央企业债和地方债发行,且这些债券的发行主体多为大型国有企业集团,资金投向也主要集中在道路、水电等基础设施和公用事业上。由于企业债发行的数量和种类都大幅减少,企业债作为企业重要的融资手段却受到限制,其发展一度陷入低迷。第三个阶段为持续发展阶段。上海证券交易所和深圳证券交易所在1996年和1997年分别允许面值1亿元以上的债券在交易所挂牌交易,并出台《企业债券上市规则》《企业债券发行与转让管理办法》等规定,使企业债券的发行和流通有规可循。为防止信贷资金违规进入股票市场,1997年中国人民银行下发《关于各商业银行停止在证券交易所证券回购及现券交易的通知》,要求商业银行全部退出交易所市场,同时建立全国银行间债券市场,从此我国债券市场分割的局面形成。第四个阶段为规范发展阶段。2000年以后,企业债券的发行管理由国家发展计划委员会(现国家发展和改革委员会)统一负责,中国人民银行不再直接参与。在这一阶段,企业债券的市场化程度有所提高,发行规模逐年增大、长期债券逐步增多,募集资金的用途也出现多样化,机构投资者成为企业债券市场的主要投资者,银行开始为企业债券发行提供担保,并成为担保的主要形式,券商积极参与企业债券的承销发行工作,市场创新增多,出现了浮动利率债券、含权债券等。第五个阶段为企业债券和公司债券分开发展阶段,2007年《公司债券发行试点办法》的颁布实施标志着企业债券和公司债券正式分开发展。经过多年发展,目前债券市场品种日益增多、规模稳步增长,公司信用类债券市场发行主体不断丰富,既有普通大型企业,也有中小企业;既涵盖国有企业,也涵盖非公有经济主体。公司信用类债券等产品创新力度也不断加大。运行机制不断健全,俨然已经成为股票市场之外,支撑起企业直接融资市场的“半壁江山”,这对于完善我国直接融资体系发挥了重要作用。
3.资本市场发展促成金融脱媒
第一,直接融资工具丰富了企业的选择,使其对银行的依赖程度有所降低,增强了自身的生存能力。银行业经营具有顺周期性的特点,当经济形势高涨时,企业的融资渠道也较多,因而对银行信贷的依赖不是特别严重,各家银行却纷纷表现出为企业融资“锦上添花”的信贷趋同行为。而当经济形势下滑时,特别是经济不景气或某一行业萧条时谁也不愿“雪中送炭”,因而呈现出银行信贷大幅缩减之势。由于受银行信贷的周期影响,企业往往呈现出渡过难关时的资金得不到保障。另外,由于所有制的因素,我国银行系统的主要特征是国有商业银行占据垄断地位,导致国有企业在货币紧缩期能相对容易地获得正常的银行贷款,而非国有企业却可能难以得到银行信贷的支持,即货币紧缩时期存在针对非国有企业的“所有制歧视”。因此,企业力争通过债券融资的方式,灵活运用调整票面发行利率来扩大投资者的债券需求,从而在较大程度上满足企业的融资需求。
第二,直接融资市场的发展有利于降低企业的整体融资成本。由于我国银行业的长期信贷管制,使得企业从银行获得资金的成本较高;直接融资市场的发展,在一定程度上能够为实体企业提供资金支持,缓解流动性压力,降低融资成本。中国人民银行调查统计司司长盛松成认为,债券发行的利率一般低于银行贷款利率,股票融资不需要支付利息,因此直接融资比例的提升有利于降低社会整体的融资成本。2015年,债券和股票等直接融资占社会融资规模的比例为24%,比2014年提高了6个百分点,比2008年增加了11.3个百分点,所占比例也达到历史的最高水平。
第三,直接融资有利于企业资本结构的优化、提高资金配置效率。根据西方的融资理论,直接融资有利于改善企业的融资结构,不论是股权融资还是债券融资都是完善资本结构的重要组成部分。合理的融资结构能够较大幅度地提高企业资金的利用效率。从融资期限上看,银行贷款的特点是不仅融资额度可能受到限制,而且贷款期限也要受到货币政策调控的影响。当企业处在生长周期的上升阶段时,所需要的资金通常期限较长,但银行贷款的期限可能受到限制,而且贷款的审核条件不容易满足。与此相比,企业通过发行债券可以较好地缓解这种矛盾。因为债券或股票融资能够弥补银行信贷的不足,甚至两者相互配合能够在更大程度上发挥作用。直接融资不仅能为产业结构调整增加更多的资金来源渠道,还能实现金融资源的优化配置,在满足企业多元化的融资需求方面具有独特的优势。
总之,直接融资工具相对于传统银行信贷的上述优势,是推动金融脱媒的内在动因。
[1]宋旺.中国金融脱媒研究[M].北京:中国人民大学出版社,2011.
[2]数据来源于《中国证券市场(1991)》。
[3]数据来源于中国人民银行《中国金融稳定报告(2016)》。