1
过时的智慧:科学通史十五讲
1.17.6 6. 量子力学
6. 量子力学

与相对论相比,量子力学也许更具颠覆性。

量子力学的兴起与另一朵“乌云”有关,那就是黑体辐射问题。

图15.6.1 “黑体”示意

“黑体”是物理学家为了研究热辐射而设定的理想物体,它不反射任何外来的电磁波,当然它发出辐射,但它的辐射只和温度和波长有关。

科学家用一个开了一个小窗口的空心装置(图15.6.1) 模拟理想黑体,因为外来的电磁波进入窗口后很难再反射出来,所以这个窗口的热辐射可以近似地作为黑体辐射来研究。

关于黑体辐射的规律,物理学家们分别从经典热力学和麦克斯韦理论出发得到了两个公式,前一个公式在短波范围内符合得很好,而在长波的范围内失效了;后一个公式在长波范围内符合得很好,但在短波范围内失效了,甚至得出了无穷大的值。

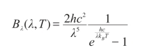
随后普朗克(公元1858年—1947年) 把两个公式综合起来,凑出了一个新公式(图15.6.2),人们发现这个新公式完美地符合了从短波到长波的所有实验结果。

图15.6.2 普朗克凑出的新公式

但问题是,这个新公式的物理意义是什么呢?第一个公式是从经典热力学出发的,第二个公式是从麦克斯韦理论出发的,而普朗克的公式是运用数学技巧凑出来的,它并没有什么理论依托。

但普朗克相信,既然这个公式与数据如此吻合,一定不是一个巧合,他开始思考这个公式背后的意义。

最后他想到,要理解这个公式,需要增加一项假定,那就是能量在发射和吸收的时候,不能是连续不断的,而必须是一份一份的,那么这个公式就说得通了。这最小的一份能量就被称作“能量子”。

普朗克因此被视为量子力学的先驱者,后来人们发现,这种不连续性不止在黑体辐射问题中体现,量子也不止限于能量,任何一种物理量都不是连续的,而是一小份一小份的。

爱因斯坦也是量子理论的先驱者之一。他在1905年用光量子理论解释了光电效应。但当量子理论进一步发展出许多奇异的结论后,普朗克和爱因斯坦都退缩了。

奠定量子力学体系的理论基础的核心人物是尼耳斯·玻尔,他的探索是从原子结构模型(图15.6.3) 出发的。

汤姆孙在1897年发现了电子,这是一种比原子轻几千倍的带电粒子,汤姆孙本人随后提出了一种原子模型,也就是葡萄干布丁模型:电子像葡萄干那样镶嵌在原子之内。

然而到1911年,卢瑟福根据α粒子散射实验提出原子核式结构模型。他认为原子内的大部分位置都是空的,就像太阳系那样,主要的质量都集中在中心,而电子像行星那样在外围围绕着原子核旋转,这个模型很好地解释了卢瑟福所做的α粒子散射实验。

但卢瑟福的模型面临一个严重的问题,这个问题还是与麦克斯韦理论有关。

如果说电子围绕原子核旋转的话,根据电动力学,它应该向外发出电磁波,而根据能量守恒定律,发出电磁波后电子的能量势必要减少,那么电子就不再能够维持原先的轨道,失去能量的电子最终势必会向原子核坠落。但这件事情显然没有发生,那么电子何以可能维持它的旋转轨道呢?

玻尔引入了量子的概念,提出了对卢瑟福原子模型的改进。玻尔认为既然能量是一份一份的,那么轨道也应该是一阶一阶的,电子的轨道不能在任意的高度,而只能取一些特定的能级。电子不会发生连续的坠落,只会发生跃迁,即从一个轨道跳到另一个轨道上,在最低能级的轨道上则无法进一步跌落。

玻尔的模型能够解释一些实验现象,但也并不完善,他仍然没有解释旋转的电子为何没有发出电磁波的问题,以及不能解释为什么每个电子层只能容纳特定数目的电子。随后德布罗意、泡利、海森堡、薛定谔、波恩、狄拉克等人分别为量子力学添砖加瓦。

在最终的量子力学解释中,电子并没有一个确定的轨道,只能以“电子云”的形式,给出电子可能出现在哪里的几率。电子的运动不能用宏观的小球或行星来类比,微观粒子具有“波粒二象性”,它们既是波,又是粒子。如果要观测它们的位置,我们总能发现它们像一个粒子那样出现在某个地方,但在不观测时,它们则像波那样无处不在,没有确定的轨道或位置,而且能自己与自己相干涉。

图15.6.3 原子核模型的发展:汤姆孙→卢瑟福→玻尔→海森堡/薛定谔

要理解波粒二象性的奇异之处,我们不妨回到双缝干涉实验。如果说电子也是波的话,那么通过双缝的电子流也应该和通过双缝的光线一样,发生干涉现象,呈现干涉条纹。实验的确证明了这一点。

但同时,电子是粒子,我们可以一粒一粒地打出电子,这样每打出一粒电子后,屏幕上呈现的当然不是一大片光斑,而是一个有确定位置的点(因为光也是粒子,所以我们也可以用一粒一粒打出光子的方式来做下面的实验)。

如果我们一粒接一粒地打出电子,最终在屏幕上积累了无数光点之后,我们将发现,干涉条纹又回来了。一粒一粒打出电子和同时打出所有电子的效果是一样的(图15.6.4)。

图15.6.4 电子干涉图样

这意味着什么呢?意味着发生了干涉现象。但究竟是谁和谁发生干涉呢?后一个电子发射的时候前一个电子早已打到屏幕上了,所以不可能是前后两个电子发生干涉。结论只能是,每一粒电子自己与自己发生干涉。

但发生干涉就意味着电子同时通过了两条缝,如果电子只通过其中一条缝,沿着一条确定的轨迹打到屏幕上,那么干涉现象是不会发生的。那么问题来了,既然电子是一个不可分的量子,那么它是如何“同时通过”两条缝的呢?

我们想看看电子究竟是怎样通过双缝的,比如我们可以设想在双缝处设置一个感应器,有电子通过时就会有所记录。那么结果我们将不会记录到分成两半的电子,我们会发现每粒电子要么通过A缝,要么通过B缝。

但一旦我们选择在中间进行观测,我们最终将发现干涉条纹又消失了。最终呈现在屏幕上的图像又变成分别从两条缝射出的电子流的简单叠加。

通过精心设计的实验装置,我们甚至可以做到“延迟选择”,也就是说,我们可以在电子实际已经通过了双缝之后,再决定是否观测电子通过了哪条缝。结果仍然是,如果我们观测,干涉条纹就不出现,如果我们不观测,干涉条纹就出现。类似的实验现在已经做到了。