1.6.3 6.3 正定二次型

6.3 正定二次型

二次型的标准形显然是不唯一的,但标准形中所含平方项的项数(即二次型的秩)是不变的. 不仅如此,在限定变换为实变换时,标准形中正系数个数也是不变的(从而负系数个数不变),也就是有下述结果存在:

定理2 (惯性定理)设有二次型f=XTAx,它的秩为r,有两个可逆线性变换

x=Cy及x=Pz,

使

0147-05

0148-01

则k1,k2,…,kr中正数的个数与λ1,λ2,…,λr中正数的个数相等.(证明略)

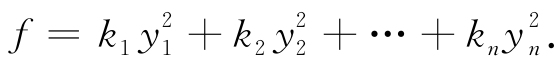
在二次型f的标准形中,正系数个数称为二次型f的正惯性指数,负系数个数称为二次型f的负惯性指数.

在n元二次型中,比较常用的是二次型的标准形的n个系数全为正或全为负的情形.

定义3 设二次型f=xTAx,若对任何非零向量x,都有

(i)若f>0,则称f为正定二次型,并称对称矩阵A为正定矩阵;若f<0,则称f为负定二次型,并称对称矩阵A为负定矩阵;

(ii)若f≥0,则称f为半正定二次型,并称对称矩阵A为半正定矩阵;若f≤0,则称f为半负定二次型,并称对称矩阵A为半负定矩阵.

既不是正定二次型、半正定二次型也不是负定二次型、半负定二次型的二次型称为不定二次型,二次型的正定、半正定、负定、半负定或不定统称为二次型的正定性.

定理3 二次型f=xTAx为正定二次型的充分必要条件是:它的标准形中n个平方项的系数全为正,即它的正惯性指数等于n.

 设可逆线性变换x=Cy使

0148-02

先证充分性. 设ki>0(i=1,2,…n),任取x≠0,则y=C-1x≠0,故

0148-03

再证必要性. 用反证法,设有kt≤0,则取y=et(单位坐标向量),它的第t个坐标分量为1,有f(x)=f(Cet)=kt≤0,这与f正定矛盾,故ki>0(i=1,2,…,n).

推论 对称矩阵A为正定矩阵的充分必要条件是:A的特征值全为正.

定义4 设A=(aijn×n,称

0148-04

为A的k阶顺序主子式.

定理4 对称矩阵A=(aij)为正定矩阵的充分必要条件是:A的各阶顺序主子式都为正,即

0149-01

对称矩阵A=(aij)为负定矩阵的充分必要条件是:A的奇数阶顺序主子式都为负,而偶数阶顺序主子式都为正,即

0149-02

这个定理称为霍尔维茨(Hurwitz)定理,这里不予证明.

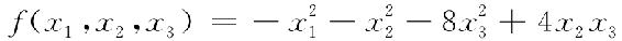
例6.4 判别二次型

0149-03

的正定性.

 f的矩阵为

0149-04

A的各阶主子式为:

0149-05

根据定理4可知二次型为负定的.

例6.5 λ为何值时,二次型

0149-06

为负定的.

 f的矩阵

0149-07

要f是负足的,则A的奇数阶顺序主子式小于零,偶数阶顺序主子式大于零,即

0150-01

则λ<-1时,f是负定的.