1.6.1 6.1 二次型及其标准形

6.1 二次型及其标准形

6.1.1 二次型的概念及其矩阵表示

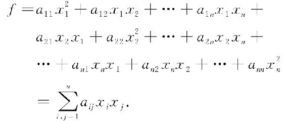
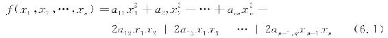
定义1 含有n个变量x1,x2,…,xn的二次齐次函数

0141-01

称为二次型.

当aij都为实数时,称f为实二次型;当aij为复数时,称f为复二次型. 这里,我们只讨论实二次型.

取aij=aji,则2aijxixj=aijxixj+ajixjxi,于是二次型式((6.1)可以写成

0142-01

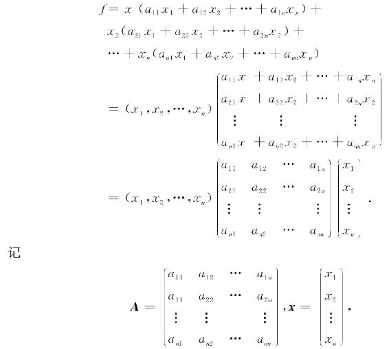
利用矩阵,二次型又可表示为

0142-02

则二次型可记作

f=xTAx.

(6.2)

因为aij=aji(i,j=1,2,…,n),即AT=A,所以A为对称矩阵,且A的主对角线上的元素恰好是二次型中平方项的系数,而aij(i≠j)恰好是二次型中xixj的系数的一半.

由此可知,任给一个二次型,就唯一地确定一个对称矩阵;反之,任给一个对称矩阵,也可唯一地确定一个二次型. 这样,二次型与对称矩阵之间存在一一对应关系. 因此,可以用对称矩阵讨论二次型,称对称阵A为二次型f的矩阵,也称f为对称阵A的二次型. 矩阵A的秩就称为二次型f的秩.

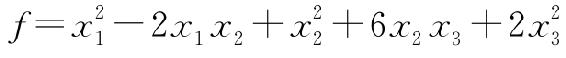
例如,二次型0143-01的矩阵为

0143-02

而对称阵

0143-03

对应的二次型为0143-04.

定义2 设A,B为n阶方阵,如果存在n阶可逆矩阵C,使

CTAC=B,

则称A与B合同.

显然,C可逆一定有CT可逆,因此,合同矩阵一定是等价矩阵. 于是合同矩阵具有以下性质:

(i)反身性 A与A合同:

(ii)对称性 若A与B合同,则B与A合同;

(iii)传递性 若A与B合同,B与C合同,则A与C相合同;

(iv)若A与B合同,则R(A)=R(B).

6.1.2 二次型的标准形

对于二次型,我们讨论的主要问题是:寻求可逆的线性变换

0143-05

使二次型只含平方项,也就是用(6.3)代入(6.1),可得

0143-06

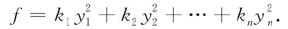
这种只含平方项的二次型,称为二次型的标准形.

记C=(cij),可逆变换(6.3)记作

x=Cy,

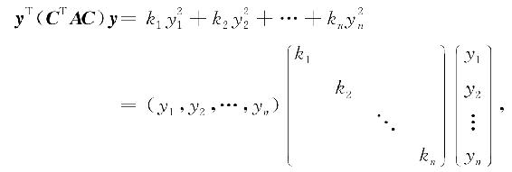
代入(6.2)式,有f=xTAx=(Cy)TACy=yT(CTAC)y.

由此可知,要使二次型f经可逆变换x=Cy变成标准形,就是要使

0144-01

也就是要使CTAC成为对角矩阵. 因此,我们的主要问题就是:对于对称矩阵A,寻找可逆矩阵C,使CTAC为对角矩阵.

由第5章定理8知,任给对称矩阵A,总有正交矩阵P,使P-1AP=PTAP=Λ.把此结论用于二次型,即有

定理1 任给二次型f=xTAx,总有正交变换x=Py,使f化为标准形

0144-02

其中λ1,λ2,…λn为f的矩阵A的特征值.

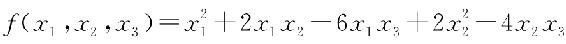
例6.1 求一个正交变换x=Py,将二次型

0144-03

化为标准形.

 二次型的矩阵为

0144-04

它的特征多项式为

0144-05

得A的特征值为,λ12=1,λ3=10.

当λ12=1时,解齐次线性方程组(A-E)x=0,由

0145-01

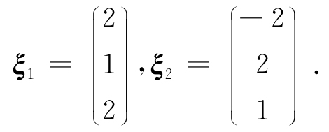
得正交基础解系

0145-02

当λ3=10时,解齐次线性方程组(A-10E)x=0,由

0145-03

得基础解系

0145-04

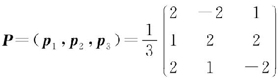
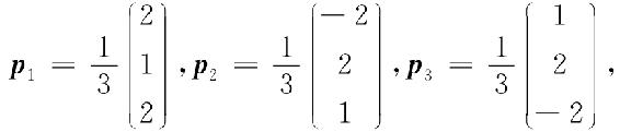
将ξ1,ξ2,ξ3单位化,得

0145-05

令,0145-06,则P为正交矩阵,且在正交变换x=Py下,可将二次型f化为标准形

0145-07