5.4 实对称矩阵的对角化
由5.3节可知,不是所有的方阵都可对角化. 那么一个n阶方阵要具备什么条件才能对角化?这是一个比较复杂的问题,对此不进行一般性的讨论,而仅讨论n阶方阵A为实对称矩阵的情形.
定理6 实对称矩阵的特征值为实数.
证 假设复数λ为实对称矩阵A的特征值,复向量x为对应的特征向量,即Ax=λx,x≠0.
用
表示λ的共轭复数,
表示x的共轭复向量,而A为实矩阵,有
,则
显然,当特征值λi为实数时,齐次线性方程组
(A-λiE)x=0
是实系数方程组,则必有实的基础解系,所以对应的特征向量可以取实向量.
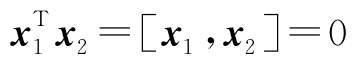
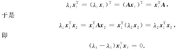
定理7 实对称矩阵不同特征值对应的特征向量正交.
证 设λ1,λ2是实对称矩阵A的两个不同特征值,x1,x2是对应的特征向量,则
Ax1=λ1x1,Ax2=λ2x2
因A是对称矩阵,故
由于λ1≠λ2,故
,即x1与x2正交.
定理8 A为n阶实对称矩阵,则必存在正交矩阵P,使得P-1AP=PTAP=A,其中A是以A的n个特征值为对角线元素的对角矩阵.(证明略)
推论 设A为n阶实对称矩阵,λ是A的k重特征值,则R(A-λE)=n-k,从而对应特征值λ恰有k个线性无关的特征向量.
证 由定理8可知对称矩阵A与对角矩阵A=diag(λ1,λ2,…,λn)相似,即存在正交矩阵P,使得
P-1AP=A,
于是
P-1(A-λE)P=P-1AP-λE=A-λE,
因此
R(A-λE)=R(A-λE).
当k是A的k重特征值时,λ1,k2,…,λn这n个特征值中有k个等于λ,有n-k个不等于λ,从而对角矩阵A-λE的对角线上恰有k个元素等于0,n-k个不等于0,所以R(A-λE)=R(A-λE)=n-k.因此齐次线性方程组(A-λE)x=0的基础解系中含有k个解向量,故对应特征值λ恰有k个线性无关的特征向量.
根据定理8及其推论,现将实对称矩阵A对角化的步骤归纳如下:
(i)求出A的全部互不相等的特征值λ1,λ2,…,λs,它们的重数依次为k1,k2,…,ks(k1+k2+…+ks=n);
(ii)对每个ki重特征值λi,求出线性方程组(A-λiE)x=0的基础解系,得ki个线性无关的特征向量;
(iii)将每个λi对应的ki个线性无关的特征向量正交化、单位化,得ki个两两正交的单位特征向量(若对应λi只有一个线性无关的特征向量,则只需要单位化即可. 由于k1+k2+…+ks=n,故总共可得n个两两正交的单位特征向量);
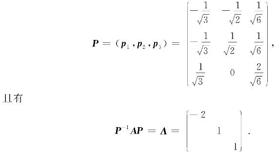
(iv)以这n个两两正交的单位特征向量为列向量构成的矩阵,即为要求的正交矩阵P,且有P-1AP=Λ为对角矩阵. 注意对角矩阵Λ中对角线上元素的排列顺序应与矩阵P中列向量的排列顺序保持一致.
例5.13 设
,求一个正交矩阵P,使P-1AP=Λ为对角阵.
解 A的特征多项式为
所以A的特征值为λ1=-2,λ2=λ3=1.
当λ1=-2时,解齐次线性方程组(A+2E)x=0,由
得基础解系为
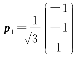
将ξ1单位化,得
.
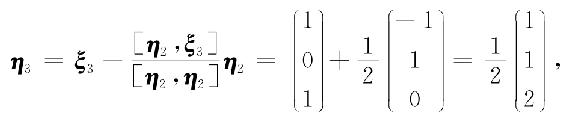
当λ2=λ3=1时,解齐次线性方程组(A-E)x=0,由
得基础解系为
将ξ2,ξ3正交化:取η2=ξ2,
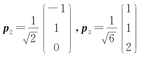
再将η2,η3单位化,得
于是得正交矩阵