5.3 相似矩阵
5.3.1 相似矩阵定义
定义8 设A,B都是n阶方阵,若存在一个n阶可逆矩阵P,使
P-1AP=B,
则称A与B是相似的,或称B是A的相似矩阵. 称P-1AP为对A作相似变换,可逆矩阵P称为把A变成B的相似变换矩阵.
矩阵的相似关系是一种等价关系,即有
(i)反身性 A与A相似;
(ii)对称性 若A与B相似,则B与A相似;
(iii)传递性 若A与B相似,B与C相似,则A与C相似.
相似矩阵还具有如下性质:
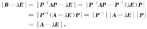
性质1 若A与B相似,则R(A)=R(B),且|A|=|B|.
证 若A与B相似,则存在可逆矩阵P,使P-1AP=B,则A与B等价,因而R(A)=R(B),且
|B|=|P-1AP|=|P-1||A||P|=|A|.
性质2 若A可逆,且A与B相似,则B可逆,且A-1与B-1也相似.
证 若A与B相似,则A与B等价,又A可逆,故B可逆. 由
P-1AP=B,
得
(P-1Ap)-1=B-1,
即P-1A-1P=B-1,所以A-1与B-1相似.
性质3 若A与B相似,则Ak与Bk(k为整数)相似.
证 若A与B相似,则由P-1AP=B,
得
(P-1AP)k=Bk,
而
(P-1AP)k=(P-1AP)(P-1AP)…(P-1AP)=P-1AkP,
所以Ak与Bk相似.
定理3 若n阶方阵A与B相似,则A与B的特征多项式相同,从而A与B的特征值也相同.
证 设A与B相似,所以存在可逆矩阵P,使得P-1AP=B,则
即A与B具有相同的特征多项式,从而也具有相同的特征值.
说明:定理3的逆命题并不成立,即特征多项式相同的矩阵不一定相似. 例如
A与E的特征多项式相同,但A与E不相似,因为单位矩阵只能与自身相似.
推论 若n阶方阵A与对角矩阵
相似,则λ1,λ2,…,λn是A的n个特征值.
证 易知λ1,λ2,…,λn是A的n个特征值,由定理3知λ1,λ2,…,λn也是A的n个特征值.
5.3.2 矩阵的对角化
在矩阵中,对角矩阵是一种比较简单的矩阵,它的许多性质及运算相对来说都比较明显和简便. 如果一个矩阵能够相似于一个对角矩阵,那么就说它可以对角化. 利用矩阵的对角化可以把复杂矩阵转化为简单的对角矩阵进行研究.
下面讨论的主要问题是:对n阶方阵A,在什么条件下能与一个对角矩阵相似?其相似变换矩阵P具有什么样的结构?
定理4 n阶方阵A与对角矩阵相似的充分必要条件是A有n个线性无关的特征向量.
证 先证必要性. 设n阶方阵A与对角矩阵A相似,记
由P-1AP=A,得AP=PA,
将P按列分块,记P=(p1,p2,…,pn),则上式写为
A(p1,p2,…,pn)=(λ1p1,λ2p2,…,λnpn),
于是,
Ap1=λ1p1,Ap2=λ2p2,...,Apn=λnpn,
则λ1,λ2,…,λn为A的特征值,p1,p2,…,pn为A的分别属于特征值λ1,λ2,…λn的特征向量,由于P可逆,所以p1,p2,…,pn线性无关.
再证充分性. 若A有n个线性无关的特征向量p1,p2,…,pn,假设它们对应的特征值分别为λ1,λ2,…,λn,则
Api=λipi(i=1,2,…,n),
即有
A(p1,p2,…,pn)=(Ap1,Ap2,…,Apn)=(λ1p1,λ2p2,…,λnpn)
因为p1,p2,…,pn线性无关,则p=(p1,p2,…,pn)为可逆矩阵,从而
在5.2节例5.4、例5.5、例5.6中,我们发现例5.4、例5.5中的矩阵可以对角化,而例5.6中三阶方阵A最多只能找到两个线性无关的特征向量,所以不能对角化.
由5.2节的性质5,可得如下推论:
推论 若n阶方阵A有n个互不相同的特征值,则A与对角矩阵相似.
再比较例5.5和例5.6,发现例5.6不能对角化的原因是其特征值中二重根1对应的齐次线性方程组(A-E)x=0的基础解系中只有一个线性无关的解向量,而例5.5的特征值中的二重根2对应的齐次线性方程组(A-2E)x=0的基础解系中,却有两个线性无关的解向量. 由此,可得如下定理:
定理5 若对于n阶方阵A的任一k重特征值λ,有R(A-λE)=n-k,则A可对角化.
证 对A的任一k重特征值,R(A-λE)=n-k,则齐次线性方程组(A-λE)x=0的基础解系中解向量的个数为k,则必对应k个线性无关的特征向量,则A必有n个线性无关的特征向量,故A可对角化.
例5.9 设矩阵A与B相似,其中
求x与y的值.
解 A的特征多项式为
显然,B的特征值为-1,-2,y,由于A与B相似,所以-1,-2,y也A的特征值,将λ=-1代入A的特征方程得x=0,则A的特征多项式为
(-λ-2)(λ2-λ-2),
则A的特征值为-1,-2,2,所以y=2.
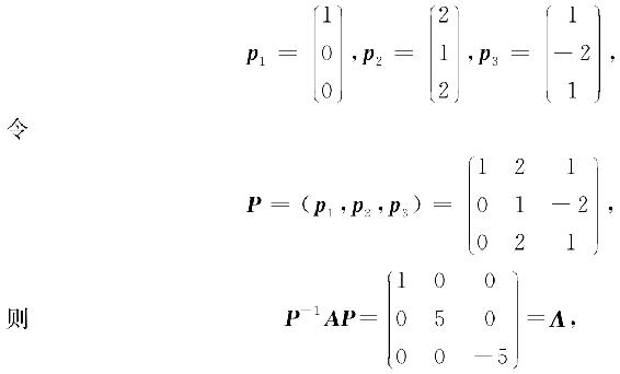
例5.10 设方阵
问A是否可对角化?若能对角化,找一可逆矩阵P,使P-1AP为对角矩阵.
解 A的特征多项式为
所以A的特征值为λ1=-1,λ2=λ3=2.
当λ1=-1时,解齐次线性方程组(A+E)x=0,由
得基础解系为
当λ2=λ3=2时,解齐次线性方程组(A-2E)x=0,由
得基础解系为
因为p1,p2,p3线性无关,即A有3个线性无关的特征向量,故A可对角化.
令
,则P为可逆矩阵,且有
例5.11 设方阵
问x为何值时,A可对角化.
解 A的特征多项式为
所以A的特征值为λ1=-1,λ2=λ3=1.
对应单根λ1=-1,可求得线性无关的特征向量恰有1个,现要使A可对角化,则二重根,λ2=λ3=1要有两个线性无关的特征向量,即线性方程组(A-E)x=0的基础解系中有两个解向量,亦即R(A-E)=1.

要使R(A-E)=1,则x=-1.
所以,当x=-1时,A可对角化.
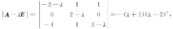
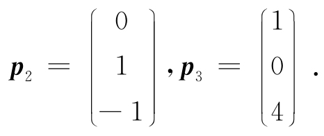
例5.12 设方阵
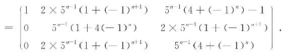
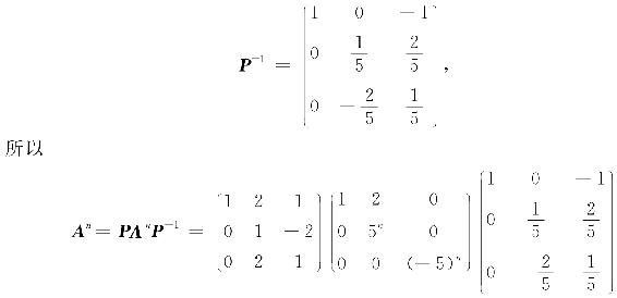
求An(n∈N).
解 A的特征多项式为
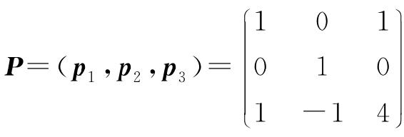
所以A的特征值为λ1=1,λ2=5,λ3=-5,它们对应的特征向量分别为
所以A=PAP-1,
可求得