1.5.2 5.2 方阵的特征值与特征向量

5.2 方阵的特征值与特征向量

在数学及物理中的一些问题,如解微分方程组、方阵的对角化、动力学系统和结构系统中的振动及稳定性等问题,常常可归结为求一个矩阵的特征值与特征向量的问题.

5.2.1 特征值与特征向量的概念

定义7 设A为n阶方阵,若存在数λ和非零n维列向量x,使得

Ax=λx

(5.1)

成立,则称数λ为方阵A的特征值,非零向量x称为A的对应于特征值λ的特征向量.

式(5.1)也可写成

(A-λE)x=0,

(5.2)

这是n个未知数n个方程的齐次线性方程组,它有非零解的充分必要条件是系数行列式

|A-λE|=0,

(5.3)

0122-01

上式是以λ为未知数的一元n次方程,称为方阵A的特征方程. 其左端|A-λE|是λ的n次多项式,称为方阵A的特征多项式,记作f(λ). 显然,A的特征值就是特征方程的解. 特征方程在复数范围内恒有解,其个数为方程的次数(重根按重数计算),因此,n阶方阵A在复数范围内有n个特征值. 在本教材中,我们只考虑特征值为实数时的情形.

求n阶方阵A的特征值和特征向量的步骤:

第一步:求出A的特征多项式|A-λE|;

第二步:求解特征方程|A-λE|=0,得到A的n个特征值λ1,λ2,…λn

第三步:对于A的每一个特征值λi,求出齐次线性方程组

(A-λiE)x=0

的一个基础解系ξ1,ξ2,…ξs,则A的对应于特征值λi的全部特征向量为

pi=c1ξ1+c2ξ2+…+csξs

其中,c1,c2,…,cs为不全为零的任意实数.

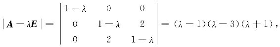
例5.4 求方阵

0122-02

的特征值与特征向量.

 A的特征多项式为

0122-03

所以A的特征值为λ1=-1,λ2=1,λ3=3.

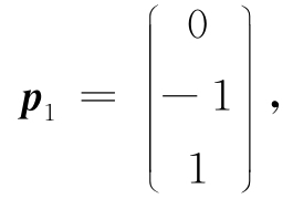
当λ1=-1时,解齐次线性方程组(A+E)x=0,由

0123-01

得基础解系为

0123-02

所以c1p1(c1≠0)是对应于λ1=-1的全部特征向量.

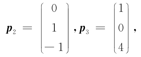
当λ2=1时,解齐次线性方程组(A-E)x=0,由

0123-03

得基础解系为

0123-04

所以c2p2(c2≠0)是对应于,λ2=1的全部特征向量.

当λ3=3时,解齐次线性方程组(A-3E)x=0,由

0123-05

得基础解系为

0123-06

所以c3p3(c3≠0)是对应于,λ3=3的全部特征向量.

例5.5 求方阵

0123-07

的特征值与特征向量.

 A的特征多项式为

0124-01

所以A的特征值为λ1=-1,λ23=2.

当λ1=-1时,解齐次线性方程组(A+E)x=0,由

0124-02

得基础解系为

0124-03

所以c1p1(c1≠0)是对应于λ1=-1的全部特征向量.

当λ23=2时,解齐次线性方程组(A-2E)x=0,由

0124-04

得基础解系为

0124-05

所以c2p2+c3p3(c2,c3不同时为零)是对应于λ23=2的全部特征向量.

例5.6 求方阵

0124-06

的特征值与特征向量.

 A的特征多项式为

0125-01

所以A的特征值为λ1=-1,λ23=1.

当λ1=-1时,解齐次线性方程组(A+E)x=0,由

0125-02

得基础解系为

0125-03

所以c1p1(c1≠0)是对应于λ1=-1的全部特征向量.

当λ23=1时,解齐次线性方程组(A-E)x=0,由

0125-04

得基础解系为

0125-05

所以c2p2(c2≠0)是对应于λ23=1的全部特征向量.

5.2.2 方阵的特征值和特征向量的性质

性质1 一个特征向量只能属于一个特征值(相同的看成一个).

 假设x是A的不同特征值λ1和λ2(λ1≠λ2)的特征向量,则

Ax=λ1x和Ax=λ2x,

即有

λ1x=λ2x即(λ12)x=0,

因为λ12≠0,则x=0,与特征向量为非零向量矛盾,故原假设不成立.

性质2 若λ是方阵A的特征值,x是属于λ的特征向量,则

(i)μλ是μA的特征值,x是属于μλ的特征向量(μ是常数):

(ii)λk是Ak的特征值,x是属于λk的特征向量(k是正整数);

(iii)当|A|≠0时λ-1是A-1的特征值,λ-1|A|为A*的特征值,且x为对应的特征向量.

(iv)φ(λ)是φ(A)的特征值(其中φ(λ)=a0+a1λ+…+amλm是λ的多项式,φ(A)=a0E+a1A+…+amAm是方阵A的多项式).

 由Ax=λx可得

(i)(μA)x=μ(Ax)=μ(λx)=(μλ)x;

(ii)A2x=A(Ax)=A(λx)=λ(Ax)=λ2x,由归纳法即得

Akx=λkx,(k是正整数);

(iii)|A|≠0,则λ≠0,于是

A-1(Ax)=A-1(λx),即x=λA-1x,则A-1x=λ-1x,

A*x=(|A|A-1)x=|A|A-1X=λ-1|A|x.

(iv)根据性质2(ii),可知λm是Am的特征值(m是正整数),故存在非零向量x,使

Amx=λmx,

因此

126-01

故φ(λ)是φ(A)的特征值.

性质3 A与AT有相同的特征值.

 因为

(A-λE)T=AT-(λE)T=AT-λE,

所以

|A-λE|=|(A-λE)T|=|AT-λE|,

即A与AT有相同的特征多项式,从而特征值相同.

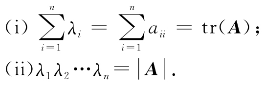
性质4 设n阶方阵A=(aij)的n个特征值为λ1,λ2,…,λn,则

0126-02

其中,tr(A)称为A的迹,为A的主对角线元素之和.(证明略)

由性质4可知,A可逆当且仅当A的特征值不为零.

性质5 设λ1,λ2,…,λm是方阵A的m个特征值,p1,p2,…,pm是依次与之对应的特征向量. 若λ1,λ2,…,λm互不相等,则p1,p2,…,pm线性无关.

 设有常数x1,x2,…,xm,使

x1p1+x2p2+…+xmpm=0,

A(x1p1+x2p2+…+xmpm)=0,

λ1x1p12x2p2+…+λmxmpm=0,

以此类推,有

0127-01

把上列各式合写成矩阵形式,得

0127-02

上式等号左边第2个矩阵的行列式为范德蒙行列式,当λi各不相等时,该行列式不为0,从而该矩阵可逆,于是有

(x1p1,x2p2,…,xmpm)=(0,0,…,0),

即有xjpj=0(j=1,2,…,m),由pj≠0,则xj=0(j=1,2,…,m),所以p1,p2,…,pm线性无关.

例5.7 设三阶方阵A的特征值为1,2,-3,求:

(1)|A2-2A-E|;

(2)|A*+3A+2E|.

 设λ是A的特征值,则λ=1,2,-3.

(1)设φ1(A)=A2-2A-E,则第φ1(λ)=λ2-2λ-1为φ1(A)的特征值,即φ1(1),φ1(2),φ1(-3)为φ1(A)的特征值,故

|A2-2A-E|=|φ1(A)|=φ1(1)φ1(2)φ1(-3)=(-2)×(-1)×14=28.

(2)由|A|=1×2×(-3)=-6≠0可知A可逆,故得A*=|A|A-1=-6A-1,所以

A*+3A+2E=-6A-1+3A+2E,

记φ2(A)=-6A-1+3A+2E,则φ2(λ)=-6λ-1+3λ+2为φ2(A)的特征值,故

|A*+3A+2E|=φ2(1)φ2(2)φ2(-3)=-1×5×(-5)=25.

例5.8 设x1是方阵A的属于特征值λ1的特征向量,x2是属于特征值λ的特征向量,若λ1≠λ2,则x1+x2不是A的特征向量.

 假设x1+x2是A的属于特征值λ的特征向量,则

A(x1+x2)=λ(x1+x2),

A(x1+x2)=Ax1+Ax21x12x2

所以

(λ-λ1)x1+(λ-λ2)x2=0,

因为x1和x2是属于不同特征值的特征向量,所以x1和x2线性无关,则

λ-λ1=0,λ-λ2=0,

即λ=λ12,与题设矛盾,故x1+x2不是A的特征向量.