1.5.1 5.1 向量的内积及正交性

5.1 向量的内积及正交性

5.1.1 向量的内积

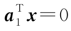
定义1 设有n维向量

0115-01

称xlyl+x2y2+…+xnyn为向量x与y的内积,记作[x,y],即

[x,y]=xlyl+x2y2+…+xnyn.

内积是两个向量之间的一种运算,其结果是一个实数,将向量看成列矩阵,由矩阵乘法内积还可表示为

[x,y]=xTy,

内积的运算规律(其中x,y,z为n维向量,λ为实数):

(i)[x,y]=[y,x];

(ii)[λx,y]=λ[x,y];

(iii)[x+y,z]=[x,z]+[y,z];

(iv)[x,x]≥0,当且仅当x=0时,[x,x]=0;

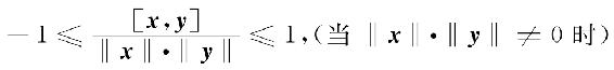
(v)柯西一施瓦茨(Cauchy-Schwarz)不等式:[x,y]2≤[x,x][y,y],当且仅当x与y线性相关时等号成立.

5.1.2 向量的长度

定义2 设x是n维向量,称0116-01为向量x的长度(或范数),记作‖x‖. 即若x=(x1,x2,…,xnT,则有

0116-02

向量的长度具有以下性质:

(i)非负性 ‖x‖≥0,当且仅当x=0时等号成立;

(ii)齐次性 ‖λx‖=|λ|‖x‖,λ为任意实数;

(iii)三角不等式 ‖x+y‖≤‖x‖+‖y‖.

 (i)与(ii)是显然的,下面证明(iii).

‖x+y‖2=[x+y,x+y]=[x,x]+2[x,y]+[y,y],

由柯西一施瓦茨不等式,有

0116-03

若‖x‖=1,则称x为单位向量.

设a为任意非零向量,则向量0116-04为单位向量,因为

0116-05

对于一个非零向量,用a的长度‖a‖去除a,即得到一个单位向量,这个过程称为将a单位化.

5.1.3 向量的夹角与正交向量组

由柯西一施瓦茨不等式,有

0117-01

于是对Rn中的向量引入夹角的概念.

定义3 设向量x与y均是n维非零向量,称

0117-02

为向量x与y的夹角.

当[x,y]=0时,称向量x与y正交. 显然,零向量与任何向量都正交.

两两正交的非零向量组,称为正交向量组.

定理1 若向量组a1,a2,…,am是正交向量组,则a1,a2,…,am线性无关.

 设有k1,k2,…,km使

k1a1+k2a2+…+kmam=0,

用ai(i=1,2,…,m)与上式两端作内积,得

0117-06

因为ai≠0,所以0117-07,从而必有

ki=0,(i=1,2,…,m)

故向量组a1,a2,…,am线性无关.

例5.1 已知三维向量空间R3中两个向量正交,

0117-03

试求一个非零向量a3,使a1,a2,a3两两正交.

 记

0117-04

a3应满足齐次线性方程组Ax=0,即

0117-05
0118-01

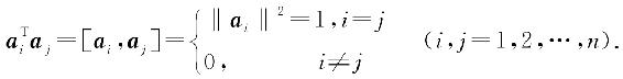
定义4 设n维向量组e1,e2,…,er是向量空间0118-02的一个基,若e1,e2,…,er两两正交,且都是单位向量,则称el,e2,…,er是V的一个规范正交基.

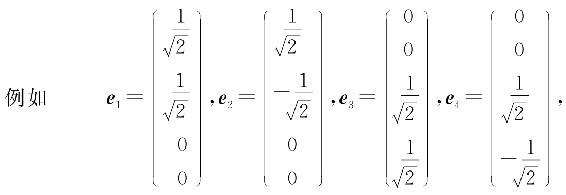
0118-03

就是R4的一个规范正交基.

设向量组a1,a2,…,ar是向量空间V的一个基,求V的一个规范正交基. 这也就是要找一组两两正交的单位向量组el,e2,…,er,使e1,e2,…,er与a1,a2,…,ar等价. 这样的问题,称为将a1,a2,…,ar,这个基规范正交化.

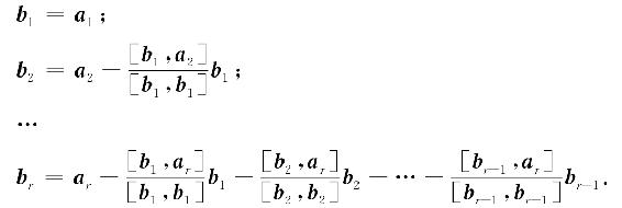
我们可以用以下步骤将a1,a2.…ar规范正交化,取

0118-04

验证可知b1,b2,…,br两两正交,且b1,b2,…,br与a1,a2,…,ar等价,

然后再对b1,b2,…,br单位化,得

0118-05

即为V的一个规范正交基.

上述从线性无关向量组a1,a2,…,ar导出正交向量组b1,b2,…,br的过程称为施密特(Schimidt)正交化过程.

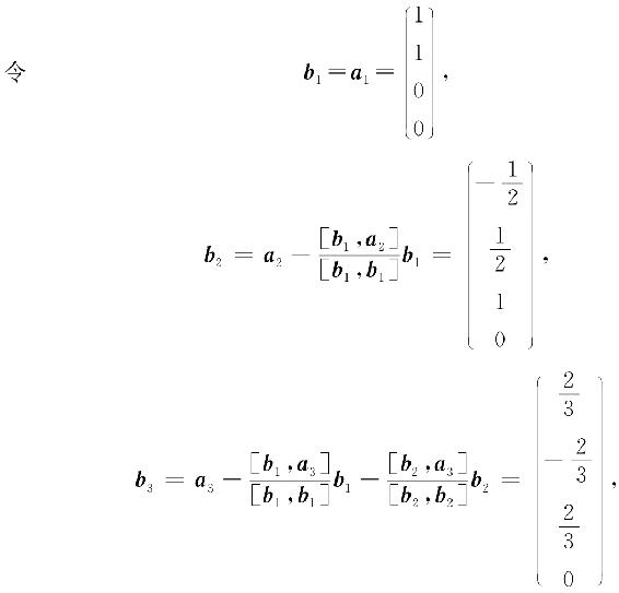
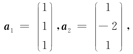
例5.2 设向量a1=(1,1,0,0)T,a2=(0,1,1,0)T,a3=(1,0,1,0)T,试把这组向量规范正交化.

 先正交化:

0119-01

再单位化:取

0119-02

则e1,e2,e3即为所求.

例5.3 已知a1=(1,1,1)T,求一组非零向量a2,a3使a1,a2,a3两两正交.

 依题意a2,a3满足120-04,即有

x1+x2+x3=0,

它的基础解系为

0120-01

把ξ1,ξ2,正交化,取

0120-02

则a1,a2,a3两两正交.

5.1.4 正交矩阵与正交变换

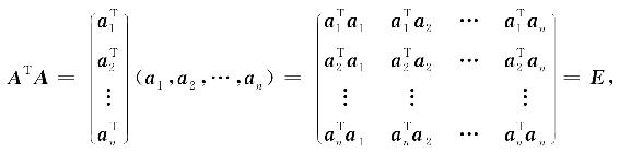
定义5 若n阶方阵A满足

ATA=E(或AAT=E),

则称A为正交矩阵,简称正交阵.

定理2 n阶方阵A为正交阵的充分必要条件是A的n个列(行)向量都是单位向量,且两两正交.

 设n阶方阵A的n个列向量为a1,a2,...,an. 即A=(a1,a2,…an),由于ATA=E,即有

0120-03

亦即

0121-01

所以A的n个列向量都是单位向量,且两两正交.

又因为AAT=E,所以同理可证,A的n个行向量都是单位向量,且两两正交.

正交矩阵的性质:

(i)若A为正交矩阵,则A可逆,且A-1=AT

(ii)若A为正交矩阵,则|A|=±1;

(iii)若A与B均为正交矩阵,则AB也是正交矩阵:

(iv)若A为正交矩阵,则AT,A-1,Ak(k为整数)也是正交矩阵.

定义6 若P为正交矩阵,则称线性变换y=Px为正交变换.

正交变换的性质:

(i)正交变换保持任意两个向量的内积不变;

(ii)正交变换保持向量的长度不变;

(iii)正交变换保持两个向量之间的距离不变;

(iv)正交变换保持两个向量的夹角不变.