习题4
1. 设向量
,求2α1+α2+3α3-4α4.
2. 已知向量
,
(1)设(α-ξ)+2(β-ξ)=3(α-β),求向量ξ;
(2)设2ξ-η=α,ξ+n=β,求向量ξ,η.
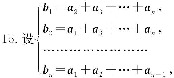
3. 设向量
,问a,b取何值时,β可由α1,α2,α3线性表示?并求此表达式.
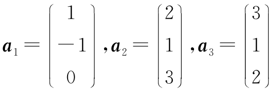
4. 已知向量组
证明向量组B能由A线性表示,但向量组A不能由B线性表示.
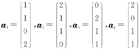
5. 已知向量组
证明向量组A与B等价.
6. 判定下列向量组的线性相关性:
7. 举例说明下列各命题是错误的:
(1)若向量组a1,a2,…,am是线性相关的,则a1可由a2,…,am线性表示.
(2)若有不全为0的数λ1,λ2,…,λm,使
λ1a1+…+λmam+λ1b1+…+λmbm=0
成立,则a1,a2,…,am线性相关,b1,b2,…,bm亦线性相关.
(3)若只有λ1,λ2…,λm全为0时,等式
λ1a1+…+λmam+λ1b1+…+λmbm=0
才能成立,则a1,a2,…,am线性无关,b1,b2,…,bm亦线性无关.
(4)若a1,…,am线性相关,b1,…,bm亦线性相关,则有不全为0的数λ1.…,λm,使
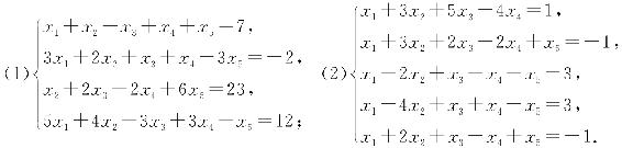
λla1+…+λmam=0,A1b1+…+λmbm=0
同时成立.
8. 如果向量组a1,a2,…,am线性无关,试证明a1,a1+a2,….a1+a2+…+am也线性无关.
9. 如果向量组a1,a2,…,am线性无关,且
b1=a1+a2,b2=a2+a3,…,bm=am+a1,
试证明:(1)m为奇数时,b1,b2,…,bm线性无关;
(2)m为偶数时,b1,b2,…,bm线性相关.
10. 求下列向量组的秩和一个最大无关组,并将剩余向量用最大无关组线性表示:
11. 设向量组
的秩为2,求a,b.
12. 设a1,a2,…,an是一组n维向量,已知n维单位坐标向量。e1,e2,…,en能由它们线性表示,证明a1,a2,…,an线性无关.
13. 设a1,a2,…,an是一组n维向量,证明它们线性无关的充分必要条件是:任一n维向量都可由它们线性表示.
14. 设向量组a1,a2,…,am线性相关,且a1≠0,证明存在某个向量ak(2≤k≤m),使ak能由a1,…,ak-1线性表示.
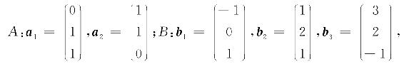
15. 设
证明向量组a1,a2,…,an与向量组b1,b2,…,bn等价.
16. 已知3阶矩阵A与3维列向量x满足A3x=3Ax-A2x,且向量组x,Ax,A2x线性无关,
(1)记P=(x,Ax,A2x),求3阶矩阵B,使AP=PB;(2)求|A|.
17. 求解下列齐次线性方程组的基础解系:
18. 设四元齐次线性方程组
已知另一个四元齐次线性方程组(Ⅱ)的基础解系为
η1=(2,-1,a+2,1)T,η2=(-1,2,4.a+8)T
(1)求方程组(Ⅰ)的一个基础解系;
(2)当a为何值时,方程组(Ⅰ)与方程组(Ⅱ)有非零公共解?
19. 设
,求一个4×2矩阵B,使AB=O,且R(B)=2.
20. 求一个齐次线性方程组,使它的基础解系为
ξ1=(0,1,2,3)T,ξ2,=(3,2,1,0)T.
21. 设n阶矩阵A满足A2=A,E为n阶单位矩阵,证明
R(A)+R(A-E)=n.
22. 设A为n阶矩阵(n≥2),A*为A的伴随矩阵,证明
23. 求下列非齐次线性方程组的通解:
24. 设α1=(1,2,0)T,α2=(1,a+2,一3a)T,α3=(-1,-b-2,a+2b)T,β=(1,3,-3)T,试讨论当a,b为何值时:
(1)β不能由α1,α2,α3线性表示:
(2)β可由α1,α2,α3唯一地线性表示,并求出表示式;
(3)β可由α1,α2,α3线性表示,但表示不唯一,并求出表示式.
25. 设矩阵A=(a1,a2,a3,a4),其中,a2,a3,a4线性无关.a1=2a2-a3.向量 b=a1+a2+a3+a4,求方程组Ax=b的通解.
26. 设η*是非齐次线性方程组Ax=b的一个解,ξ1,…,ξn-r是对应的齐次线性方程组的一个基础解系,证明:
(1)η*,ξ1,…,ξn-r线性无关;
(2)η*,η*+ξ1,…,η*+ξn-r线性无关.
27. 设η1,…ηs是非齐次线性方程组Ax=b的s个解,k1,…,ks为实数,满足k1+k2…+ks=1,证明
x=k1η1+k2η2+…+ksηs
也是它的解.
28. 设非齐次线性方程组Ax=b的系数矩阵的秩为r,η1,…,ηn-r+1是它的n-r+1个线性无关的解(由26题知,它确有n-r+l个线性无关的解). 试证明它的任一解可表示为
x=k1η1+k2η2+…+kn-r+1ηn-r+1(其中k1+k2+…+kn-r+1=1).
29. 由a1=(1,1,0,0)T,a2=(1,0,1,1)T所生成的向量空间记为L1,由 b1=(2,-1,3,3)T,b2=(0,1,-1,-1)T所生成的向量空间记为L2,试证明L1=L2.
30. 验证
为R3的一个基,并把
,b2=
用这个基线性表示.