1.4.5 4.5 向量空间

4.5 向量空间

4.5.1 向量空间的概念

定义7 设V是非空的n维向量的集合,若集合V对向量的加法及向量的数乘这两种运算封闭,则称集合V是一个向量空间.

所谓对运算“封闭”是指,对任何a∈V,b∈V,有a+b∈V;对任何a∈V,λ∈R,有λa∈V.

例4.11 所有n维向量的全体所组成的集合Rn是一个向量空间,它是R2和R3的推广.

例4.12 集合V1={(0,x2,…,xn)|x2,…,xn∈R}是一个向量空间. 因为对任意a=(0,x2,…,xn),b=(0,y2,…,yn)∈V1,有a+b=(0,x2+y2,…,xn+yn)∈V1;对数λ∈R,有λa=(0,λx2,…,λxn)∈V1.

例4.13 集合V2={(1,x2,…,xn)|x2,…,xn∈R}不是向量空间. 因为对任意a=(1,x2,…,xn)∈V2,而0106-06.

例4.14 齐次线性方程组的解集S={x|Ax=0}是一个向量空间(称为齐次线性方程组的解空间). 因为由齐次线性方程组的解的性质可知其解集S对向量的线性运算封闭.

例4.15 非齐次线性方程组的解集S={x|Ax=b}不是向量空间. 因为当S为空集时,S不是向量空间:当S非空时,若η∈S,则A(2η)=2b≠b,知0107-01S.

定义8 设a.b是两个已知的n维向量,则它们的一切线性组合构成的集合

V={x=λa+μb|λ,μ∈R}

是一个向量空间,称为向量a,b的生成空间,记作L(a,b).

事实上,对任意的x1∈V及x2∈V,存在λ1,λ2,μ1,μ2∈R,使得

X1la+μ1b,

x22a+μ2b,

于是

x1+x2=(λl2)a+(λ12)b∈V,

并对任意λ∈R有

λx1=λ(λ1a+μ1b)=(λλ1)a+(λμ1)b∈V,

这表明集合V对线性运算封闭,因此V是一个向量空间.

一般地,向量组a1,a2,…,am的生成空间为

V={(x=λ1a12a2+…+λmam1,λ2,…,λm∈R),

记作L(a1,a2,…,am).

例4.16 证明等价向量组生成的向量空间相等.

 设向量组a1,a2,…,am与向量组b1,b2,…,bl等价,记

L1=L(a1,a2,…,am)={x=λ1a12a2+…+λmam|λ12,…,λm∈R},

L2=L(b1,b2,…,bl)={x=μ1b12b2+…+μlb1l,μ2,…,μl∈R},

要证明L1=L2.

设x∈L1,则x可由a1,a2,…,am线性表示,又因a1,a2,…,am可由b1,b2,…,bl线性表示,故x可由b1,b2,….bl线性表示,所以0107-02.

同理可证:0107-03.

因为0107-04,所以L1=L2.

定义9 设有向量空间V1、V2,若0107-05,则称V1是V2的子空间.

例如任何由n维向量所组成的向量空间V,总有0108-02,所以这样的向量空间总是Rn的子空间.

4.5.2 向量空间的基与维数

定义10 设向量a1,a2,…,ar是向量空间V中的r个向量,且满足:

(i)a1,a2,…,ar线性无关;

(ii)V中的任一向量都可由a1,a2,…,ar线性表示:则称a1,a2,…,ar为向量空间V的一个基,r称为向量空间V的维数,并称V是r维向量空间.

只含零向量的集合也是一个向量空间,它没有基,它的维数规定为0.

若把向量空间V看成向量组,则V的基就是向量组的最大无关组,V的维数就是向量组的秩.

任何n个线性无关的n维向量都可以是Rn的一个基,由此可知Rn的维数为n.

定义11 设向量a1,a2,…,ar是向量空间V的一个基,a∈V,若

a=x1a1+x2a2+…+xrar

则称有序数组x1,x2,…,xr为向量a在基al,a2,…,ar下的坐标,记作(x1,x2,…,xrT.

特别地,在n维向量空间Rn中取单位坐标向量组e1,e2,…,en为基,则以x1,x2,…,xn,为分量的向量x,可以表示为

x=x1e1+x2e2+…+xnen

可见向量在基e1,e2,…,en中的坐标就是该向量的分量.e1,e2,…,en。称为Rn的自然基.

例4.17 设

0108-01

验证a1,a2,a3是R3的一个基,并求b1,b2在这个基中的坐标.

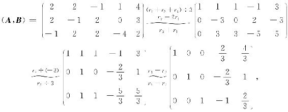
 要证a1,a2,a3是R3的一个基,只要证a1,a2,a3。线性无关,即证A~E.

设b1=x11a1+x21a2+x31a3,b2=x12a1+x22a2+x32a3,即

0109-01

记为B=AX,对矩阵(A,B)进行初等行变换,若A能变为E,则a1,a2,a3。就是R3的一个基,且当A变为E时,B变为X=A-1B.

0109-02

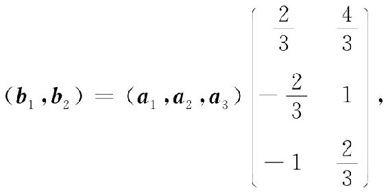
可见A~E,故a1,a2,a3是R3的一个基,且

0109-03

即b1,b2在基a1,a2,a3中的坐标依次为

0109-04