1.4.4 4.4 线性方程组的解的结构

4.4 线性方程组的解的结构

线性方程组的求解方法和解的理论,是线性代数的核心内容. 在第1章中我们介绍了克莱姆法则,但克莱姆法则只适用于讨论方程个数与未知数个数相同的线性方程组;在第3章中,我们介绍了用初等行变换求线性方程组的解的方法,并给出了齐次线性方程组有非零解的充分必要条件以及非齐次线性方程组有解的充分必要条件. 本节将利用向量组的线性相关性理论,讨论线性方程组的解.

4.4.1 齐次线性方程组解的结构

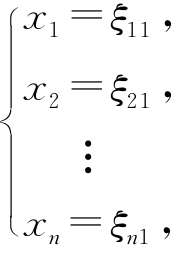
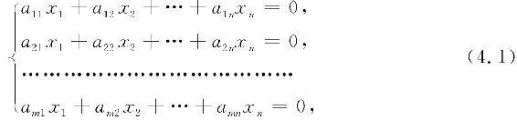
设有齐次线性方程组

0099-02

可以写成向量形式

Ax=0,

(4.2)

0099-03为方程组(4.1)的解,则称0099-04为方程组(4.1)的解向量,下面我们来讨论齐次线性方程组解向量的性质.

性质1 若x=ξ1,x=ξ2为Ax=0的解,则x=ξ12也是Ax=0的解.

 只需验证x=ξ12满足方程Ax=0:

A(ξ12)=Aξ1+Aξ2=0+0=0.

性质2 若X=ξ1,为Ax=0的解,k为实数,则x=kξ1,也是Ax=0的解.

A(kξ1)=k(Aξ1)=k0=0.

定义6 若向量ξ1,ξ2,…,ξt为齐次线性方程组Ax=0的解向量,且满足:

(i)ξ1,ξ2.…,ξt线性无关;

(ii)Ax=0的所有解均可由ξ1,ξ2,…,ξt线性表示,则称ξ1,ξ2,…,ξt为方程组Ax=0的一个基础解系,称

x=k1ξ1+k2ξ2+…+ktξt,(其中k1,k2,…,kt为任意实数)

为方程组Ax=0的通解.

若把方程组Ax=0的所有解组成一个向量组S,则基础解系ξ1,ξ2,…,ξt为向量组S的一个最大无关组.

由定义6可知,要求方程组Ax=0的通解,只需求出它的基础解系.

第3章中我们用初等行变换来求线性方程组的通解,下面将用同一方法来求齐次线性方程组的基础解系.

设方程组(4.1)的系数矩阵A的秩为r,并假设A的前r个列向量线性无关,于是A的行最简形矩阵为:

0100-01

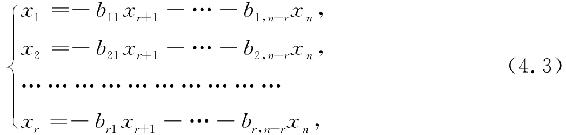
与B对应的方程组为

0100-02

取xr+1,…,xn作为自由未知量,并令它们依次等于c1,…,cn-r,可得方程(4.1)的通解

0101-01

把上式记为

x=c1ξ1+c2ξ2+…+cn-rξn-r

可知ξ1,ξ2,…,ξn-r均为方程组(4.1)的解向量,且解集S中的任一向量x均能由ξ1,ξ2,…,ξn-r,线性表示,又因为矩阵(ξ1,ξ2,…,ξn-r)中有一个n-r阶子式|En-r|≠0故R(ξ1,ξ2,…,ξn-r)=n-r,所以ξ1,ξ2,…,ξn-r,线性无关,从而由定义6可知ξ1,ξ2,…,ξn-r,为方程组(4.1)的基础解系.

在上面的讨论中,我们是先求出通解,再从通解中求得基础解系. 也可以先求出基础解系,再写出通解. 这只需在得到方程组(4.3)后,把自由未知量xr+1,xr+2,…,xn构成的向量令为如下n-r个无关向量:

0101-02

将上述n-r个无关向量依次代人方程组(4.3),可得

0101-03

合起来即得基础解系

0102-01

根据以上讨论,可以得到:

定理7 设A为m×n矩阵,若R(A)=r,则n元齐次线性方程组Ax=0的解集S的秩RS=n-r.

由最大无关组的性质可知,方程组Ax=0的任何n-r个线性无关的解都可构成它的基础解系,由此可知齐次线性方程组的基础解系并不是唯一的,它的通解形式也不是唯一的.

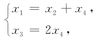
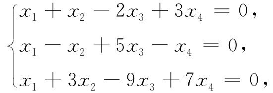
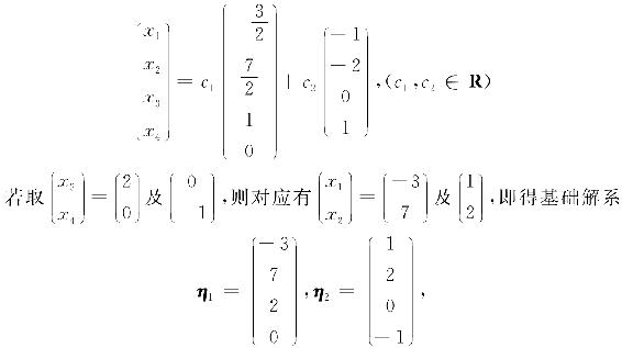
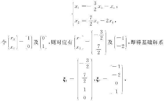
例4.7 求齐次线性方程组

0102-02

的基础解系,并写出其通解.

 对系数矩阵A作初等行变换,变为行最简形矩阵,有

0102-03

可得,

0103-01

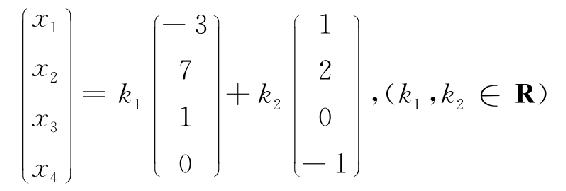
则通解为

0103-02

则通解为

0103-03

例4.8 设Am×nBn×l=0,证明R(A)+R(B)≤n.

 记B=(b1,b2,…,bl),则

AB=A(b1,b2,…,bl)=(0,0,…,0),

即Abi=0(i=1,2,…l),

该式表明,矩阵B的l个列向量都是齐次线性方程组Ax=0的解. 记方程组Ax=0的解集为S,由bi∈S(i=1,2,…,l)知,R(b1,b2,…,bl)≤Rs,即R(B)≤Rs.由定理7可知R(A)=n-Rs,故R(A)+R(B)≤(n-Rs)+Rs=n.

例4.9 证明R(ATA)=R(A).

 设A为m×n矩阵,x为n维列向量,若x满足Ax=0,则有AT(Ax)=0,即(ATA)x=0;若x满足(ATA)x=0,则xT(ATA)x=0,即(Ax)T(Ax)=0,从而推知Ax=0.

综上可知,方程组Ax=0与(ATA)x=0同解,设解集为S,根据定理7,有R(A)=n-Rs,R(ATA)=n-Rs,因此R(ATA)=R(A).

4.4.2 非齐次线性方程组解的结构

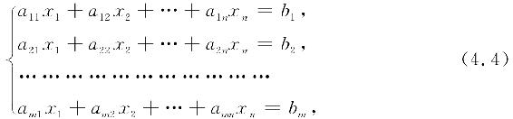
设有非齐次线性方程组

0104-01

可以写成向量形式

Ax=b,

(4.5)

它的解向量有如下性质:

性质3 若x=η1,x=η2为Ax=b的解,则x=η12为对应齐次线性方程组Ax=0的解.

A(ηl2)=Aη1-Aη2=b-b=0,

即x=η12满足方程Ax=0.

性质4 设x=η是方程Ax=b的解,x=ξ是方程Ax=0的解,则x=ξ+η仍是方程Ax=b的解.

A(ξ+η)=Aξ+Aη=0+b=b,

即x=ξ+η满足方程Ax=b.

由性质3可知,若求得方程Ax=b的一个特解η*,则方程Ax=b的任一解都可表示为

x=ξ+η*.(其中ξ为方程Ax=0的解)

若方程Ax=0的通解为

x=k1ξ1+k2ξ2+…+kn-rξn-r

则方程Ax=b的任一解都可表示为

x=k1ξ1+k2ξ2+…+kn-rξn-r*.

由性质4可知,方程Ax=b的通解为

x=k1ξ1+k2ξ2+…+kn-rξn-r*

其中,k1,k2,…,kn-r为任意实数,ξ1,ξ2,…,ξn-r是方程Ax=0的基础解系.

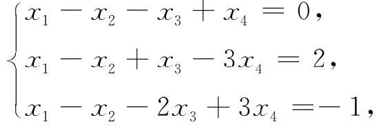
例4.10 求非齐次线性方程组

0105-01

的通解.

 对增广矩阵B施行初等行变换:

0105-02

取x2=x4=0,则x1=x3=1,即得方程组的一个特解为

0105-03

对应的齐次方程组为

0106-01

0106-02,则对应有0106-03,即得基础解系

0106-04

于是所求通解为

0106-05