1.4.3 4.3 向量组的秩

4.3 向量组的秩

从4.2节定理4可以看出,向量组的线性相关性与矩阵的秩有密切的联系. 为使讨论进一步深入,我们引入向量组的秩的概念,并给出向量组的秩和矩阵的秩之间的关系.

定义5 给定向量组A,若在A中能选出一个含r个向量的部分组A0:a1,a2,…,ar,满足:

(i)向量组A0线性无关;

(ii)向量组A中任意r+l个向量(如果A中有r+l个向量的话)都线性相关,则称向量组A0为向量组A的一个最大线性无关组,简称为最大无关组. 最大无关组A0中所含向量个数:称为向量组A的秩. 向量组A:a1,a2,…,am的秩,记作RA或R(a1,a2,…,am).

只含有零向量的向量组没有最大无关组,规定它的秩为0.

由定义可知:

(1)若向量组A线性无关,则A的最大无关组就是A本身,它的秩就等于它所含向量的个数;

(2)向量组A线性相关的充分必要条件是向量组A的秩小于所含向量的个数;

(3)向量组A与它的最大无关组A0等价. 因为A0是A的一个部分组,故A0总能由A线性表示;在A中任取一向量a,则有al,a2,…,ar,a这r+1个向量线性相关,而a1.a2,…,ar,线性无关,由4.2节定理5可知a能由a1,a2,…,ar线性表示,即A能由A0线性表示.

对于只含有限个向量的向量组A:al,a2,…,am,它可以构成矩阵A=(a1,a2,…,am),把定义5与第3章矩阵的秩的定义作比较,容易想到向量组A的秩就等于矩阵A的秩,即有

定理6 矩阵的秩等于它的列向量组的秩,也等于它的行向量组的秩.

 设A=(a1,a2,…,am),R(A)=r,并设某个r阶子式Dr≠0.根据定理4,由Dr≠0。可知Dr所在的r列线性无关:而A中所有r+l阶子式均为零,知A中任意r+l个列向量都线性相关. 因此Dr所在的r列是A的列向量组的一个最大无关组,所以A的列向量组的秩等于r.

同理可证矩阵A的行向量组的秩也等于R(A).

定理6表明,含有限个向量的向量组的秩就等于该向量组所构成矩阵的秩. 据此,向量组A:a1,a2,…,am的秩也可记作R(A).

由上述证明可知,A中最高阶非零子式Dr所在的r列,即为A的列向量组的一个最大无关组,Dr所在的r行,即为A的行向量组的一个最大无关组.

向量组的最大无关组一般不是唯一的. 如例4

0097-01

由R(a1,a2)=2知a1,a2线性无关,由R(a1,a2,a3)=2知a1,a2,a3线性相关,因此a1,a2是向量组a1,a2,a3的一个最大无关组. 此外,由R(a1,a3)=2及R(a2,a3)=2可知al,a3和a2,a3。都是向量组a1,a2,a3的最大无关组.

根据4.2节定理5的第三个结论,定义5有如下等价定义:

最大无关组的等价定义 设向量组A0》:a1,a2,…,ar是向量组A的一个部分组,且满足

(i)向量组A0线性无关;

(ii)向量组A中任一向量都能由向量组A0线性表示,则向量组A0为向量组A的一个最大无关组.

由于向量组的秩与其构成矩阵的秩相等,故本章介绍的定理1,2,3,4中出现的矩阵的秩都可以改成向量组的秩来表示. 且以上有关向量组的定理都是建立在有限个向量基础上,利用最大无关组作过渡,可将这些定理推广到无限个向量的情形.

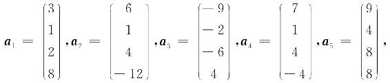
例4.6 已知向量组A:

0098-01

求向量组A的一个最大无关组,并将其余向量用最大无关组线性表示.

 设A=(a1,a2,a3,a4,a5),对矩阵A施行初等行变换,化成行最简形矩阵(参看第3章3.4节例3.9):

0098-02

可知R(A)=3,故向量组A的最大无关组中含3个向量. 而3个非零行的第一个非零元在第1,2,4三列,且因为

0098-03

所以R(a1,a2,a4)=3,故a1,a2,a4为向量组A的一个最大无关组.

由于方程组Ax=0与Bx=0同解,即方程组

x1a1+x2a2+x3a3+x4a4+x5a5=0

x1b1+x2b2+x3b3+x4b4+x5b5=0(令B=(b1,b2,b3,b4,b5))

同解,因此向量组a1,a2,a3,a4,a5,与向量组bl,b2,b3,b4,b5,之间有相同的线性关系,

由于

0098-04
0099-01

因此

a3=-a1-a2

a5=4a1+3a1-3a4.