1.4.2 4.2 向量组的线性相关性

4.2 向量组的线性相关性

定义4 给定向量组A:a1,a2,…,am,若存在不全为零的一组数k1,k2,…,km,使

k1a1+k2a2+…+kmam=0,

则称向量组A是线性相关的,否则称向量组A线性无关.

根据相关性的定义,易得如下结论:

(i)对于只有一个向量a的向量组,当a=0时线性相关,当a≠0时线性无关:

(ii)含两个向量a1,a2的向量组线性相关0092-02a1,a2的分量对应成比例;

(iii)含有零向量的向量组一定线性相关.

向量组线性相关概念也可移用于线性方程组,当方程组中某个方程是其余方程的线性组合时,这个方程就是多余的,这时称方程组是线性相关的;当方程组中没有多余方程时,就称方程组是线性无关的.

设A=(a1,a2,…,am),则向量组A:al,a2,…,am线性相关,就是齐次线性方程组

x1a1+x2a2+…+xmam=0,即Ax=0

有非零解. 由第3章定理7,可得

定理4 向量组A:a1,a2,…,am线性相关的充分必要条件是矩阵A=(a1,a2,…,am)的秩R(A)<m;线性无关的充分必要条件是R(A)=m(m为向量组A中向量的个数).

推论 m个n维列向量构成的向量组A:al,a2,….am,当m>n时,一定线性相关.

 记A=(a1,a2,…,am),则A为n×m矩阵,于是有

R(A)≤min{n,m}=n<m,

故由定理4可知结论成立.

例4.3 讨论n维单位坐标向量组0093-01的线性相关性.

 n维单位坐标向量组构成的矩阵

E=(e1,e2,…,en

是n阶单位矩阵. 由于|E|=1≠0,所以R(E)=n,由定理4可知该向量组线性无关.

例4.4 已知

0093-02

讨论向量组a1,a2,a3及向量组a1,a2的线性相关性.

 由

0094-01

可知R(a1,a2,a3)=2,故a1,a2,a3线性相关,而R(a1,a2)=2,故a1,a2线性无 关.

例4.5 已知向量组a1,a2,a3线性无关,而

b1=a1+a2b2=a2+a3,b3=a3+a1

试证向量组b1,b2,b3线性无关.

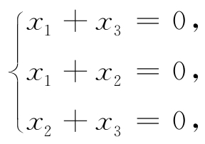
证一 设有x1,x2,x3使

x1b1+x2b2+x3b3=0,

x1(a1+a2)+x2(a2+a3)+x3(a3+a1)=0,

亦即

(x1+x3)a1+(x1+x2)a2+(x2+x3)a3=0,

又因a1,a2,a3线性无关,故有

0094-02

此齐次线性方程组的系数行列式

0094-03

故方程组只有零解,即x1=x2=x3=0,所以向量组b1,b2,b3线性无关.

证二 可把已知条件合写成

0094-04

记为B=AK.因为|K|=2≠0,所以K可逆,根据第3章定理3知R(B)=R(A).

因为A的列向量组线性无关,根据定理4知R(A)=3,从而R(B)=3,再由定理4知B的3个列向量线性无关,即b1,b2,b3线性无关.

本例给出了两种方法,证一的基本思想:按定义4把证明向量组线性相关性转化为讨论齐次线性方程组有无非零解. 证二的基本思想:采用矩阵形式,并用了矩阵的秩的相关知识及定理4,从而可以不涉及线性方程组而直接证得结论.

下面再给出几个向量组线性相关性方面的重要结论.

定理5 (1)向量组A:a1,a2.…,am(m≥2)线性相关的充分必要条件是向量组中至少有一个向量可由其余m-1个向量线性表示.

(2)若向量组A:a1.a2,…,am线性相关,则向量组B:a1,a2,…,am,am+1也线性相关;反之,若向量组B:a1,a2,…,am,am+1,线性无关,则向量组A:a1,a2,…,am也线性无关.

(3)设向量组A:a1,a2,…am线性无关,而向量组B:a1,a2,…,am,b线性相关,则向量b必能由向量组A线性表示,且表示唯一.

 (1)先证必要性.

若A:a1,a2,…,am线性相关,则有不全为零的数k1,k2,…,km使

k1a1+k2a2+…+kmam=0,

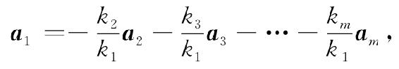
不妨设k1≠0,则有

0095-01

所以a1可由其余m-1个向量a2,…,am线性表示.

再证充分性.

已知a1,a2,…,am中至少有一向量可由其余m-1个向量线性表示. 不妨设a1可由a2,…,am线性表示,即

a1=k2a2+k3a3+…+kmam.

所以

-a1+k2a2+k3a3+…+kmam=0,

因为-1,k2,k3,…,km不全为零,故a1,a2,…,am线性相关.

(2)记A=(a1,a2,….am),B=(a1,a2,…,am,am+1),则有R(B)≤R(A)+ 1. 若向量组A线性相关,根据定理4,有R(A)<m,从而R(B)≤R(A)+1<m+1,因此根据定理4可知向量组B线性相关.

结论(2)是对向量组增加一个向量而言的,对增加多个向量结论仍然成立. 即设向量组A是向量组B的一部分(这时称A是B的部分组),结论(2)可叙述为:一个向量组若有线性相关的部分组,则该向量组线性相关;一个向量组若线性无关,则它的任一部分组都线性无关.

(3)记A=(a1,a2,…,am),B=(a1.a2,…,am,b),有R(A)≤R(B). 因为向量组A线性无关,所以R(A)=m,而向量组B线性相关,所以R(B)<m+1,即有m≤R(B)<m+l,故R(B)=m.

由于R(A)=R(B)=m,根据第3章定理4,可知方程组

x1a1+x2a2+…+xman=b

有唯一解,即向量b能由向量组A线性表示,且表示唯一.