1.4.1 4.1 向量组及其线性组合

4.1 向量组及其线性组合

对二维和三维向量的概念进一步推广,我们现给出n维向量的定义.

定义1 n个有序的数a1,a2,…,an所组成的数组称为n维向量. 这n个数称为该向量的n个分量,第i个数ai称为第i个分量.

分量全为实数的向量称为实向量,分量为复数的向量称为复向量. 本书中若无特别说明,一般都指实向量. 分量全为0的向量称为零向量,记作0.

我们把n个分量写成一列

0087-01

的形式,称为n维列向量. 同理,称

aT=(a1,a2,…an

为n维行向量. 以后将n维行向量和n维列向量看成是两个不同的向量.

常用小写黑体字母。a,b,α,β等表示列向量,而用aT,bT,αT,βT等表示行向 量. 所讨论的向量在没有指明是行向量还是列向量时,就当成列向量. 由于行向量和列向量分别就是行矩阵和列矩阵,于是可利用矩阵的运算来进行向量间的运算.

若干个同维数的列向量(或同维数的行向量)所组成的集合称为向量组,常用大写字母表示. 例如一个m×n矩阵的全体列向量构成一个含n个m维列向量的向量组,它的全体行向量构成一个含m个n维行向量的向量组;又如线性方程组Am×nx=0(当R(A)<n时)的全体解向量构成一个含无穷多个n维列向量的向量组.(本章我们只讨论含有限个向量的向量组)

矩阵的列向量组和行向量组都是只含有限个向量的向量组;反之,一个含有限个向量的向量组总可以构成一个矩阵. 例如:

m个n维列向量所组成的向量组A:a1,a2,…,am构成一个n×m矩阵

A=(a1,a2,…,am);

m个n维行向量所组成的向量组0088-01构成一个m×n矩阵

0088-02

总之,含有限个向量的向量组可以与矩阵一一对应.

定义2 设有向量组A:a1,a2,…,am及任意给定的m个实数k1,k2,…,km,表达式

k1a1+k2a2+…+kmam

称为向量组A的一个线性组合,k1,k2,…,km,称为这个线性组合的系数.

若向量b等于向量组A的某一线性组合,即存在数λ1,λ2,…,λm,使

b=λ1a12a2+…+λmam

则称向量b可由向量组A线性表示.

进一步可知,向量b可由向量组A线性表示,也就是方程组

x1a1+x2a2+…+xmam=b

有解. 由第3章定理4可得:

定理1 向量b可由向量组A:a1,a2,…,am线性表示的充分必要条件是矩阵A=(a1,a2,…,am)的秩等于矩阵B=(a1,a2,…,am,b)的秩.

定义3 若向量组B:b1,b2,…,bl的每个向量都可由向量组A:a1,a2,…,am线性表示,则称向量组B可由向量组A线性表示;若向量组A与向量组B可相互线性表示,则称向量组A与B等价.

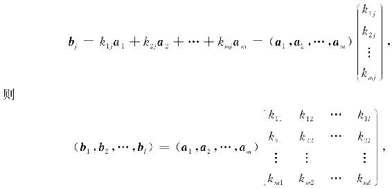
把向量组A与B所构成的矩阵分别记为A=(a1,a2,…,am)和B=(b1,b2,…,bl),向量组B可由向量组A线性表示,即对每个向量bj(1,2,…,l)存在数k1j,k2j,…,kmj,使

0089-01

这里,矩阵Km×1=(kij)称为这一线性表示的系数矩阵.

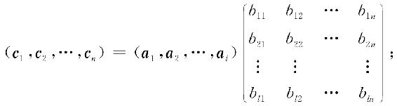
由此可知,若Cm×n=Am×lBl×n,则矩阵C的列向量组可由A的列向量组线性表示,B为这一线性表示的系数矩阵,即

0089-02

同理,C的行向量组0089-03可由B的行向量组0089-04线性表示,A为这一线性表示的系数矩阵,即

0089-05

设矩阵A与B行等价,即矩阵A经初等行变换变成矩阵B,则B的每个行向量都是A的行向量的线性组合,即B的行向量组可由A的行向量组线性表示. 由于初等变换是可逆的,则矩阵B也可经初等行变换变成矩阵A,从而A的行向量组也可由B的行向量组线性表示. 于是A的行向量组与B的行向量组等价.

同理,若矩阵A与B列等价,则A的列向量组与B的列向量组等价.

向量组的线性组合、线性表示及等价的概念,可移用于线性方程组. 若方程组1与方程组2能相互线性表示,则称这两个方程组可以互推,可互推的方程组一定同解.

向量组B:b1,b2,…,bl可由向量组A:a1,a2.…,am线性表示,即存在系数矩阵Km×t,使

(b1,b2,…,bl)=(a1.a2,…am)K.

也就是矩阵方程

AX=B

有解,由第3章的定理5,即有

定理2 向量组B:b1,b2,…,bl可由向量组A:a1,a2,…am线性表示的充分必要条件是矩阵A=(a1,a2,…,am)的秩等于矩阵(A,B)=(a1,…,am,b1,…bl)的秩,即

R(A)=R(A,B).

推论 向量组A:a1,a2,…,am与向量组B:b1,b2,…,bl等价的充分必要条件是

R(A)=R(B)=R(A,B),

其中,A和B分别是向量组A和向量组B构成的矩阵.

 由向量组A和向量组B可相互线性表示,根据定理2,它们等价的充要条件是

R(A)=R(A,B),且R(B)=R(B,A),

又因为R(A,B)=R(B,A),故充要条件是R(A)=R(B)=R(A,B).

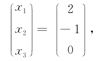
例4.1 设0090-01,证明:向量b可由向量组a1,a2,a3线性表示,并写出其中一个线性表示式.

 根据定理1,要证矩阵A=(a1,a2,a3)与矩阵B=(A,b)=(a1,a2,a3,b)的秩相等. 对B施行初等行变换:

0091-01

可见,R(A)=R(B),所以向量b可由向量组a1,a2,a3线性表示.

由上述行最简形矩阵,可得方程组Ax=b的同解方程组为

0091-02

x3为自由未知量,令x3=0,可得方程组的一个特解为

0091-03

所以有

b=2a1-a2.

0091-04

证明:向量组a1,a2与向量组b1,b2,b3等价.

 记A=(a1,a2),B=(b1,b2,b3). 根据定理2的推论,只需证

R(A)=R(B)=R(A,B).

对矩阵(A,B)施行初等行变换:

0092-01

可见,R(A)=2,R(B)=2,R(A,B)=2,

因此

R(A)=R(B)=R(A,B),

故向量组a1,a2与向量组b1,b2,b3等价.

定理3 设A=(a1,a2,…,am),B=(b1,b2,…,bl),若向量组B:b1,b2,…,bl可由向量组A:a1,a2,….am线性表示,则R(B)≤R(A).

 依题意,由定理2有R(A)=R(A,B),而R(B)≤R(A,B),故

R(B)≤R(A).