3.4 线性方程组的解
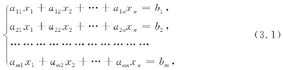
设有n个未知数m个方程的非齐次线性方程组
方程组(3.1)可写成以向量x为未知元的向量方程
Ax=b,
(3.2)
第2章中已说明,线性方程组(3.1)与向量方程(3.2)将混同使用不加区分,解与解向量的名称亦不加区分.
若线性方程组(3.1)有解,就称它是相容的,若无解,就称它是不相容的.
3.4.1 消元法解线性方程组
消元法的基本思路是通过方程组的消元变形,将方程组化成容易求解的同解方程组,下面举例说明.
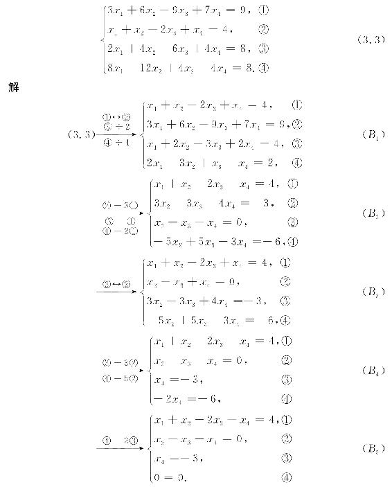
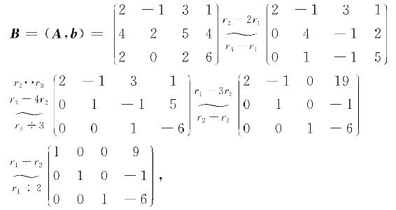
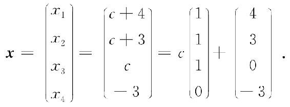
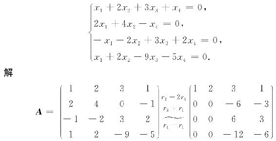
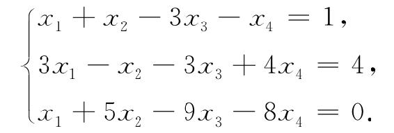
例3.9 求解线性方程组
这里,(3.3)→(B1)是为消去x1作准备(第一个方程中,x1的系数为1有利于计算);(B1)→(B2)是消去②,③,④中的x1;(B2)→(B3)是为消去③,④中的x2作准备(第二个方程中x2的系数为1有利于计算);(B3)→(B4)是消去③,④中的x2,与此同时,恰好把x3也消去了;(B4)→(B5)是消去④中的x4,与此同时,恰好把常数也消去了,得到恒等方程0=0(若此时常数项不能消去,会得到一个矛盾方程,说明方程组无解). 至此消元过程结束.
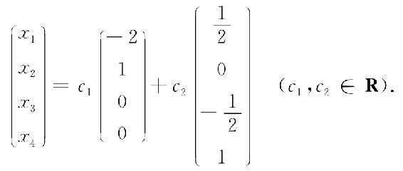
显然,方程组(3.3)与方程组(B5)是同解方程组,(B5)是4个未知数3个有效方程的方程组. 此时,应有一个未知数可以任意取值,称之为自由未知量. 由于方程组(B5)呈阶梯状,可把每个台阶的第一个未知数(即x1、x2、x4)作为非自由未知量,剩下的(即x3)作为自由未知量,由最后一个方程开始回代,最终可得到方程组的解,即:
其中,x3可以任意取值,令x3=c(c为任意常数),方程组的解可表示为
在上述消元过程中,始终把方程组作为一个整体进行变形,得到与其同解的方程组. 消元过程中用到3种变换:(i)交换两方程的次序(
);(ii)用不等于0的数乘某个方程
;(iii)某个方程乘以数k加到另一个方程上(
).
进一步观察发现,上述变换中,只对方程组中未知数的系数及常数项进行运算,未知数并没有参与运算. 消元法解线性方程组的3种变换,实际上相当于对线性方程组的增广矩阵施行相应的3种初等行变换,化增广矩阵为行阶梯形矩阵、行最简形矩阵. 因为初等变换是可逆变换,所以行阶梯形矩阵、行最简形矩阵对应的线性方程组与原线性方程组是同解的. 于是可用矩阵的初等变换来解例3.9中的方程组,其过程可与消元法的求解过程一一对应:
增广矩阵B经过初等行变换化成行阶梯形矩阵B5的过程,就是线性方程组的消元过程. 由方程组(B5)得到解(3.4)的回代过程,也可用矩阵的初等行变换来完成.
即通过初等行变换把行阶梯形矩阵B5化成行最简形矩阵B6,
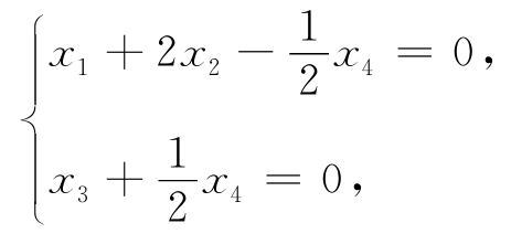
B6对应方程组
取x3为自由未知量,令x3=c(c为任意常数),得方程组的解为
观察此例可发现,R(A)=R(B)=3<4=n(n为方程组中未知数的个数).
例3.10 求解线性方程组
解 对线性方程组的增广矩阵B作初等行变换:
即得
则方程组的解为
此例中,R(A)=R(B)=3=n(n为方程组中未知数的个数).
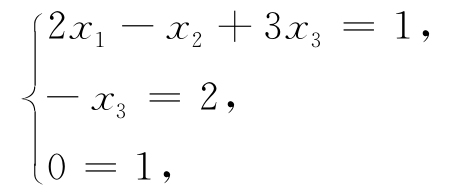
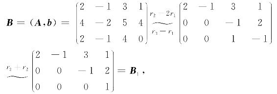
例3.11 求解线性方程组
解 对线性方程组的增广矩阵B作初等行变换:
矩阵B1对应的方程组为
其中,第3个方程为“0=1",这是一个矛盾方程,故原线性方程组无解.
此例中,R(A)≠R(B).
3.4.2 非齐次线性方程组有解的充分必要条件
由上面3个例子可以发现,利用系数矩阵和增广矩阵的秩之间的关系,可以方便地讨论线性方程组是否有解,以及有解时是唯一解还是无穷多解等问题. 有以下结论:
定理4 n元非齐次线性方程组Ax=b,
(i)无解的充分必要条件是R(A)<R(A,b);
(ii)有唯一解的充分必要条件是R(A)=R(A,b)=n;
(iii)有无穷多解的充分必要条件是R(A)=R(A,b)<n.
证 由于(i),(ii),(iii)的必要性依次是(ii)(iii),(i)(iii),(i)(ii)的充分性的逆否命题,所以只需证明(i),(ii),(iii)的充分性即可.
设R(A)=r,则r≤R(A,b)≤r+l.为方便讨论,不妨设B=(A,b)的行最简形矩阵为
(i)若R(A)<R(A,b),则R(A,b)=r+l,
从而中的dr+1=1,于是
的第r+l行对应矛盾方程0=1,故线性方程组Ax=b无解.
(ii)若R(A)=R(A,b)=r=n,则
中的dr+1=0或dr+1不出现,又矩阵A只有n列,从而bij都不出现,于是
对应的线性方程组为
故线性方程组Ax=b有唯一解.
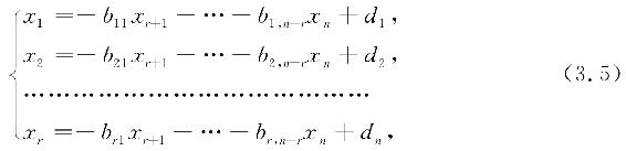
(iii)若R(A)=R(A,b)=r<n,则
中的dr+1=0或dr+1不出现,
对应的线性方程组为
方程组(3.5)中未知数的个数多于方程的个数,因此,存在自由未知量. xr+1,…,xn可作为自由未知量,令xr+l=c1,…,xn=cn-1,即得方程组Ax=b的解为
由于c1,…,cn-r为任意常数,故线性方程组Ax=b有无穷多解.
(3.6)式表示了线性方程组Ax=b所有的解,称(3.6)式为线性方程组Ax=b的通解.
由定理4,可知解线性方程组Ax=b时,只需对增广矩阵B=(A,b)施行初等行变换化为行阶梯形矩阵,判别线性方程组是否有解;在有解时,继续对增广矩阵施行初等行变换化为行最简形矩阵,而后求出线性方程组的解.
例3.12 求解线性方程组
解 对线性方程组的增广矩阵B作初等行变换:
可见R(A)=2,R(B)=3,故方程组无解.
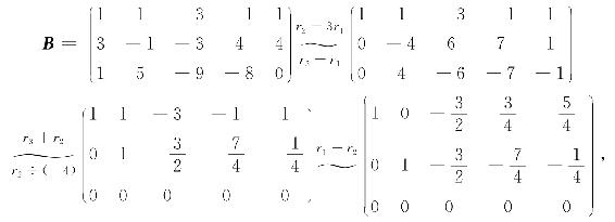
例3.13 求解线性方程组
解 对线性方程组的增广矩阵B作初等行变换:
因R(A)=R(B)=2<3,所以方程组有无穷多解. 与原方程组同解的方程组为
取x3,x4为自由未知量,令x3=c1,x4=c2,得方程组的通解为
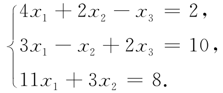
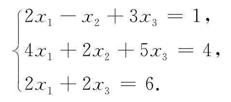
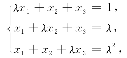
例3.14 设有非齐次线性方程组
问A取何值时,此方程组(1)有唯一解:(2)无解;(3)有无穷多解?并在有无穷多解时求其通解.
解一 对线性方程组的增广矩阵B作初等行变换,将其化为行阶梯形矩阵:
(1)当λ≠1且λ≠-2时,R(A)=R(B)=3,方程组有唯一解;
(2)当A=-2时,R(A)=2<R(B)=3,方程组无解;
(3)当λ=1时,R(A)=R(B)=1<3,方程组有无穷多解,此时
与之对应的方程组为
x1+x2+x3=1,
取x2,x3为自由未知量,令x2=c1,x3=c2,得方程组的通解为
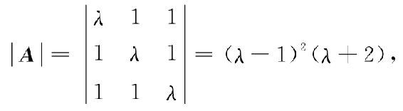
解二 因为系数矩阵A为方阵,由克莱姆法则,方程组有唯一解的充分必要条件是系数行列式|A|≠0,而
因此,当λ≠l且A≠-2时,方程组有唯一解:
当λ=-2时,
R(A)=2<R(B)=3,方程组无解;
当λ=1时,
R(A)=R(B)=1<3,方程组有无穷多解,且通解为
比较解一与解二,显然解二比较简单,但解二只适用于系数矩阵为方阵的情形.
对含参数的矩阵作初等行变换时,例如本例中对B作初等行变换时,由于λ-1可以等于0,故不宜作诸如
这样的变换,如果作了这种变换,则需对λ-1=0的情形另作讨论.
为了第4章研究的需要,把定理4推广到矩阵方程.
定理5 矩阵方程AX=B有解的充分必要条件是R(A)=R(A,B).
证 设A为m×n矩阵,B为m×l矩阵,X为n×l矩阵. 把X和B按列分块,记作
X=(x1,x2,…,xl),B=(b1,b2,…,bl),
则矩阵方程AX=B等价于l个向量方程
Axi=bi(i=1,2,…,l).
先证充分性.
设R(A)=R(A,B),由于R(A)≤R(A,bi)≤R(A,B),故有R(A)=R(A,bi).
由定理4知l个向量方程Axi=bi(i=1,2,…,l)都有解,故矩阵方程AX=B有解.
再证必要性.
设矩阵方程AX=B有解,从而l个向量方程Axi=bi(i=1,2,…,l)都有解,设解为
记A=(a1,a2,…,an),即有
λ1ia1+λ2ia2+…+λnian=bi,
对矩阵(A,B)=(a1,a2,…,an,b1,…,bl)作初等列变换
Cn+i-λliC1-…-λniCn=1,2,…,l),
便把(A,B)的第n+l列,…,第n+l列都变为0,即
因此
R(A)=R(A,B).
定理6 设AB=C,则R(C)≤min{R(A),R(B)}.
证 因为AB=C,知矩阵方程AX=C有解X=B.
由定理5知R(A,C)=R(A). 而R(C)≤R(A,C),因此R(C)≤R(A).
又(AB)T=BTAT=CT,由上段证明知R(CT)≤R(BT),即R(C)≤R(B)
综上便得R(C)≤min{R(A),R(B)},
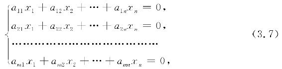
3.4.3 齐次线性方程组有非零解的充分必要条件
n元齐次线性方程组
方程组(3.7)可写成以向量x为未知元的向量方程
Ax=0,
(3.8)
其中系数矩阵
齐次线性方程组Ax=0总是有解的,x=0(即零解)总是它的一个解. 因此齐次线性方程组的解只有两种情况:①有唯一解(即只有零解);②有无穷多解(即有非零解).
定理7 n元齐次线性方程组Ax=0有非零解的充分必要条件是系数矩阵A的秩R(A)<n;而只有零解得充分必要条件是R(A)=n.
定理7请读者自行证明.
解齐次线性方程组Ax=0时,只需要对系数矩阵A施行初等行变换,化为行阶梯形矩阵,判断齐次线性方程组是否有非零解,在有非零解时,继续对系数矩阵施行初等行变换,化为行最简形矩阵,而后求出方程组的解.
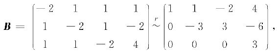
例3.15 求解方程组
因R(A)=2<4,所以齐次线性方程组有非零解. 可得与原方程组同解的方程组
取x2,x4为自由未知量,令x2=C1,x4=C2,得方程组的通解为
由定理7可得下面两个推论:
推论1 若齐次线性方程组Ax=0中方程的个数小于未知数的个数,则它必有非零解.
推论2 n个方程n个未知数的齐次线性方程组Ax=0有非零解的充分必要条件是系数行列式|A|=0;而它只有零解的充分必要条件是系数行列式|A|≠0.
定理7还可以推广到矩阵方程情形中.
定理8 矩阵方程Am×nXn×l=Om×l只有零解的充分必要条件是R(A)=n.
以上两个推论及定理8请读者自行证明.