1.3.2 3.2 初等矩阵

3.2 初等矩阵

定义2 由单位矩阵E经过一次初等变换得到的方阵称为初等矩阵.

3种初等变换对应3种形式的初等矩阵.

(1)对调单位矩阵的两行或两列

把单位矩阵E中的第i行和第1行对调(或第i列和第j列对调),得到初等矩阵

0060-02

(2)用数k≠0乘单位矩阵的某行或某列

用数k≠0乘单位矩阵E中的第i行(或第i列),得到初等矩阵

0061-01

(3)把单位矩阵某行(列)的k倍加到另一行(列)上去

把单位矩阵E中的第7行的k倍加到第i行上(或第i列的k倍加到第j列上),得到初等矩阵

0061-02

定理1 设A是一个m×n矩阵,则对A施行一次初等行变换,相当于用相应的m阶初等矩阵左乘A;对A施行一次初等列变换,相当于用相应的n阶初等矩阵右乘A.(此定理请读者自行证明)

由于矩阵的初等变换可逆,而初等变换对应初等矩阵,且初等变换的逆变换仍然是同类型初等变换,容易验证初等矩阵可逆,且初等矩阵的逆矩阵是对应初等变换的逆变换所对应的初等矩阵,即

0061-03

定理2 方阵A可逆的充分必要条件是存在有限个初等矩阵P1,P2,…,Ps,使A=P1P2…Ps.

 先证充分性.

设A=P1P2…Ps,因为初等矩阵可逆,且有限个可逆矩阵的乘积仍可逆,故A可逆.

再证必要性.

设n阶方阵A可逆,A的标准形为F,由于A~F,所以F经过有限次初等变换可化为A,即存在有限个初等矩阵P1,P2,…,Ps使得

A=P1…PlFPl+1…Ps

因为A可逆,P1,P2,…,Ps也可逆,故F可逆. 假设

0062-01

则r=n,否则|F|=0,与F可逆矛盾,即F=E.从而

A=P1…PlFPl+1…Ps=P1…PlEPl+1…Ps=P1P2Ps.

从上述证明中可得到,可逆矩阵的标准形是单位矩阵. 把定理2的结果改写成

A=P1P2…PsE,或A=EP1P2…Ps

再结合定理1可得到以下推论.

推论1 方阵A可逆的充分必要条件是0062-04.

推论2 m×n矩阵A与B等价的充分必要条件是存在m阶可逆矩阵P及n阶可逆矩阵Q使得B-PAQ.

以上两推论请读者自行证明.

推论3 对于方阵A,若0062-03,则A可逆,且A-1=X.

 因为0062-03,由定理1可知,存在初等矩阵P1,P2,…,Ps,使得

Ps…P2P1A=E,Ps…P2P1E=X.

由于P1,P2,…,Ps可逆,所以A可逆. 在Ps…P2P1A=E两边右乘A-1得到

Ps…P2P1AA-1=EA-1=A-1

A-1=Ps…P2P1=X.

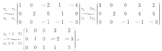
由推论3可知,3.1节例3.1中A可逆,且

0062-02

推论4 对于n阶矩阵A与n×s矩阵B,若0062-05,则A可逆,且X=A-1B.特别地,对于n个未知数n个方程的线性方程组Ax=b,若增广矩阵0063-06,则A可逆,且x=A-1b为方程组的唯一解.

推论4的证明与推论3类似,请读者自行证明.

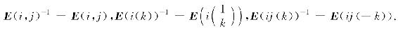
例3.2 设

0063-01

求A-1.

0063-02

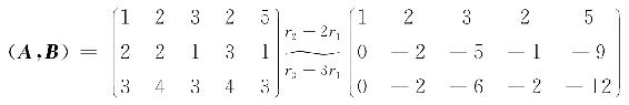
例3.3 求解矩阵方程AX=B,其中

0063-04

 若A可逆,则X=A-1B.

0063-05
0064-01

由推论4知,A可逆,且0064-02.

当然,也可先求出A-1,再通过矩阵的乘法求出X=A-1B.

例3.4 求解矩阵方程AX=X+A,其中

0064-03

 矩阵方程变形为(A-E)X=A,而|A-E|=1≠0,所以A-E可逆.

0064-04