1.3.1 3.1 矩阵的初等变换

3.1 矩阵的初等变换

矩阵的初等变换是矩阵的一种非常重要的运算,它在解线性方程组、求逆矩阵及矩阵理论的探讨中,都起着重要作用.

定义1 下面3种变换称为矩阵的初等行变换:

(i)对调矩阵的两行(对调i,j两行,记作ri↔rj);

(ii)将某一行所有元素乘以数k≠0(第i行乘k,记作ri×k);

(iii)把某一行所有元素的k倍加到另一行对应元素上去(第j行的k倍加到第i行上,记作ri+krj).

把定义中的“行”换成“列”,即得矩阵初等列变换的定义(所用记号是把“r”换成“c”).

矩阵的初等行变换与初等列变换统称为矩阵的初等变换.

显然,利用可将经过0058-01可将经过ri↔rj,ri×k,ri+krj变换后的矩阵变回原矩阵. 故矩阵的3种初等变换均是可逆的,且其逆变换与原变换是同一类型的初等变换.

若矩阵A经有限次初等行变换变成矩阵B,则称矩阵A与矩阵B行等价,记作0058-04;若A经有限次初等列变换变成矩阵B,则称矩阵A与矩阵B列等价,记作0058-05;若A经有限次初等变换变成矩阵B,则称矩阵A与矩阵B等价,记作A~B.

矩阵之间的等价关系具有下列性质:

(i)反身性 A~A;

(ii)对称性 若A~B,则B~A;

(iii)传递性 若A~B,B~C,则A~C.

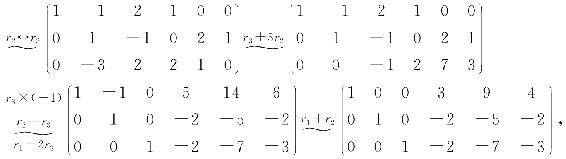
利用矩阵的初等行变换可以将一个矩阵化简,例如

0058-02

对B1进一步施行初等行变换可得

0058-03

这里,矩阵B1与B2都称为行阶梯形矩阵,其特点是:可画一条一行为一个台阶的阶梯线,线的下方元素全为0,台阶数就是非零行的行数,阶梯线的竖线(每段竖线的长度为一行)后面的第一个元素为非零元,也就是非零行的第一个非零元.

行阶梯形矩阵B2还称为行最简形矩阵,其特点是:每个非零行的第一个非零元为1,且这些非零元所在的列的其他元素都为0.

事实上,对于任何矩阵Am×n,总可经过有限次初等行变换把它化为行阶梯形矩阵和行最简形矩阵.

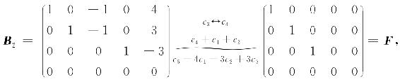
对行最简形矩阵再施行初等列变换,可变成一种形式更简单的矩阵,称为标准形. 例如

0059-01

矩阵F称为矩阵B的标准形,其特点是:F的左上角是一个单位矩阵,其余元素全为0.

对于任何矩阵Am×n,总可经过初等变换(行变换和列变换)把它化为标准形

0059-02

此标准形由m,n,r三个数完全确定,其中r是一个不变量,它为行阶梯形矩阵中非零行的行数.

任何矩阵A都有唯一的标准形. 等价矩阵有相同的标准形. 即有相同标准形的矩阵是等价的. 因此所有与A等价的矩阵组成一个集合,称为一个等价类,标准形F是这个等价类中形式最简单的矩阵.

例3.1 设0059-03,把(A,E)化成行最简形.

0059-04
0060-01

即得到(A,E)的行最简形.

通过例3.1可知,若把(A,E)的行最简形记作(E,X),则A的行最简形为E,即0060-03,并可验证AX=E,即X-1=A.这也是求方阵逆矩阵的一种有效方法,我们将在3.2节中给出证明.